La aplicación práctica de la legislación en materia de contaminación acústica es mayoritariamente competencia de los ayuntamientos (artículo 6 de la Ley 37/2003, de 17 de noviembre, del ruido), y debe ser desarrollada a nivel local, para adecuarla a sus propias circunstancias mediante ordenanzas municipales. Algunos ayuntamientos no tienen capacidad para elaborar dichas ordenanzas, por lo que el Decreto 106/2015, de 9 de julio, sobre contaminación acústica de Galicia, previó que la consellería competente en medio ambiente aprobara, mediante orden, una propuesta de ordenanza de protección contra la contaminación acústica que será de aplicación para los ayuntamientos que así lo decidan y en los términos que esos ayuntamientos consideren.
En cumplimiento de lo establecido en el Decreto 106/2015, de 9 de julio, sobre contaminación acústica de Galicia, la Consellería de Medio Ambiente, Territorio y Vivienda elabora una propuesta de ordenanza, con el objeto de facilitar a los ayuntamientos gallegos que así lo dispongan y de conformidad con la tramitación correspondiente en el ámbito de la normativa local, la elaboración de su propia ordenanza contra la contaminación acústica.
Esta propuesta de ordenanza está compuesta por 26 artículos divididos en tres capítulos: capítulo I Disposiciones generales (artículos 1 a 5); capítulo II Calidad acústica (artículos 6 a 19); capítulo III Prevención y corrección de la contaminación acústica (artículos 20 a 26); cuatro disposiciones adicionales, una disposición transitoria, una disposición derogatoria y dos disposiciones finales; y cuatro anexos (Índices acústicos y métodos de evaluación, Objetivos de calidad y valores límite de inmisión, Clasificación de actividades a desarrollar en edificaciones y valores de aislamiento para el desarrollo de actividades, y Estudios acústicos).
Es necesario señalar que la propuesta de ordenanza es un documento de carácter orientativo y, por lo tanto, no vinculante, que se desarrolla siguiendo una estructura normativa que permite su adopción por los ayuntamientos gallegos, tanto de forma íntegra como parcial, debiendo considerarse en cada caso las modificaciones necesarias para adaptarlo a las características y necesidades concretas del municipio en cuestión, y siempre teniendo presente la autonomía local y la propia normativa procedimental, sin perjuicio de la tramitación administrativa correspondiente, de conformidad con la normativa de régimen local.
En consecuencia, de conformidad con el artículo 34 de la Ley 1/1983, de 22 de febrero, de normas reguladoras de la Xunta y de su Presidencia,
RESUELVO:
Artículo único. Aprobación
1. En cumplimiento de lo dispuesto en el Decreto 106/2015, de 9 de julio, sobre contaminación acústica de Galicia, y a los efectos de dar cumplimiento a lo dispuesto por el artículo 6 y concordantes de la Ley 37/2003, de 17 de noviembre, del ruido, se aprueba la propuesta de Ordenanza de protección contra la contaminación acústica de Galicia, cuyo texto se incluye a continuación.
2. La ordenanza se aplicará, de forma total o parcial, en aquellos ayuntamientos que así lo acuerden, de conformidad con la normativa de régimen local, y previa tramitación que garantice la adecuación a los procedimientos establecidos en dicha normativa.
Disposición final única. Entrada en vigor
Esta orden entrará en vigor a los veinte días naturales de su publicación en el Diario Oficial de Galicia.
Santiago de Compostela, 26 de noviembre de 2018
Ángeles Vázquez Mejuto
Conselleira de Medio Ambiente, Territorio y Vivienda
Propuesta de Ordenanza de protección contra la contaminación acústica de Galicia
CAPÍTULO I
Disposiciones generales
Artículo 1. Objeto
1. La presente ordenanza tiene por objeto regular el ejercicio de las competencias que en materia de protección del medio ambiente corresponden en el término municipal del Ayuntamiento frente a la contaminación producida por ruido y vibraciones, con el fin de garantizar el derecho a la intimidad personal y familiar, a la protección de la salud, así como a la calidad de vida y a un medio ambiente adecuado.
Artículo 2. Ámbito de aplicación
1. Con carácter general, quedan sometidas a las prescripciones establecidas en esta ordenanza:
a) Todas las actividades, comportamientos, infraestructuras locales, instalaciones, elementos constructivos, medios de transporte, máquinas, aparatos, obras, vehículos y, en general, todos los emisores acústicos, públicos o privados, individuales o colectivos, que en su funcionamiento, uso o ejercicio generen ruido y/o vibraciones susceptibles de causar molestias a las personas, daños a los bienes, generar riesgos para la salud o el bienestar, o deteriorar la calidad del medio ambiente.
b) Las áreas acústicas y las edificaciones, como receptores acústicos.
c) Actuaciones relativas al aislamiento acústico.
2. En particular, son de aplicación las prescripciones de esta ordenanza, entre otras, a:
a) Actividades domésticas y comportamientos vecinales, y comportamientos en la calle susceptibles de producir y transmitir ruido y/o vibraciones.
b) Sistemas de aviso acústico.
c) Actividades de carga y descarga de mercancías.
d) Trabajos en la vía pública, especialmente los relativos a la reparación de calzadas y aceras, o cortacéspedes, y cualquier otro análogo.
e) Trabajos de limpieza de la vía pública y de recogida de residuos municipales.
f) Medios de transporte público y privado, como la circulación de vehículos a motor, ciclomotores y motocicletas.
g) Actividades sujetas a la legislación vigente en materia de espectáculos públicos, actividades recreativas y establecimientos públicos.
3. Se excluyen de las prescripciones de la ordenanza:
a) Las actividades domésticas y comportamientos vecinales dentro de límites tolerables, de conformidad con lo establecido en esta ordenanza y usos locales.
b) Las actividades militares, que se regirán por su legislación específica.
c) La actividad laboral que, en lo relativo a la contaminación acústica producida en el lugar de trabajo, se regirá por lo dispuesto en la legislación laboral.
Artículo 3. Definiciones
A los efectos de lo establecido en esta ordenanza, se entenderá por:
a) Actividad: cualquier instalación, establecimiento o local, público o privado, de naturaleza industrial, comercial, de servicios o de almacenamiento.
b) Área acústica: ámbito territorial, delimitado por el Ayuntamiento, que presenta el mismo objetivo de calidad acústica.
c) Área urbanizada: superficie del territorio que reúna los requisitos establecidos en la legislación urbanística aplicable, de suelo urbano o urbanizado, que se encuentre integrada, de manera legal y efectiva, en la red de dotaciones y servicios propios de los núcleos de población. Se entenderá que así ocurre para las parcelas, estén o no edificadas, que cuenten con las dotaciones y los servicios requeridos por la legislación urbanística o puedan llegar a contar con ellos sin otras obras que las de conexión a las instalaciones en funcionamiento.
d) Área urbanizada existente: la superficie del territorio que fuera área urbanizada antes de la entrada en vigor del Real decreto 1367/2007, de 19 de octubre, por el que se desarrolla la Ley 37/2003, de 17 de noviembre, del ruido.
e) Evaluación acústica: resultado de aplicar cualquier método que permita calcular, predecir, estimar o medir la calidad acústica y los efectos de la contaminación acústica.
f) Calidad acústica: grado de adecuación de las características acústicas de un espacio a las actividades que se realizan en su ámbito.
g) Contaminación acústica: presencia en el ambiente de ruido o vibraciones, cualquiera que sea el emisor acústico que los origine, que impliquen molestia, riesgo o daño para las personas, para el desarrollo de sus actividades o para los bienes de cualquier naturaleza, o que causen efectos significativos sobre el medio ambiente.
h) Efectos nocivos: los efectos negativos sobre la salud humana o sobre el medio ambiente.
i) Emisor acústico: cualquier actividad, infraestructura, equipamiento, maquinaria o comportamiento que genere contaminación acústica.
j) Índice acústico: magnitud física para describir la contaminación acústica, que tiene relación con los efectos producidos por ésta. Puede ser de ruido o de vibraciones, según el origen causante de los efectos nocivos producidos e, igualmente, puede ser de inmisión o de emisión, según el objeto de evaluación. El índice de inmisión de ruido es el índice relativo a la contaminación acústica producida por ruido existente en un lugar un tiempo determinado.
k) Mapa de ruido: presentación de datos sobre una situación acústica existente o pronosticada en función de un índice de ruido, en la que se indicará la superación de cualquier valor límite pertinente vigente, el número de personas afectadas en una zona específica o el número de viviendas expuestas a determinados valores de un índice de ruido en una zona específica.
l) Mapa estratégico de ruido: un mapa de ruido diseñado para poder evaluar globalmente la exposición del ruido en una zona determinada, debido a la existencia de distintas fuentes de ruido, o para poder realizar predicciones globales para dicha zona.
m) Molestia: el grado de perturbación que provocan el ruido o las vibraciones a la población, determinado mediante encuestas sobre el terreno.
n) Locales colindantes: dos locales cuando en ningún momento se produce la transmisión de ruido entre el emisor y el receptor a través del medio ambiente exterior.
ñ) Objetivo de calidad acústica: conjunto de requisitos que, en relación con la contaminación acústica, deben cumplirse en un momento dado en un espacio determinado.
o) Plan de acción: plan encaminado a afrontar cuestiones relativas al ruido y sus efectos, incluida la reducción del ruido, si fuera necesario.
p) Ruido ambiental: el sonido exterior no deseado o nocivo generado por las actividades humanas, incluido el ruido emitido por los medios de transporte, por el tráfico rodado, ferroviario y aéreo, y por emplazamientos de actividades industriales.
q) Tiempo de reverberación: intervalo temporal que transcurre desde que la emisión sonora cesa hasta que decrece 60 dB.
r) Valor límite: valor de un índice acústico, medido conforme a unas condiciones establecidas, que no debe ser superado y que, de superarse, obliga a las autoridades competentes a prever o a aplicar medidas tendentes a evitar tal superación.
s) Zona común: zona o zonas de un edificio que pertenecen o dan servicio a varias unidades de uso (parte de un edificio que se destina a un uso específico).
t) Zonas de protección acústica especial: áreas acústicas donde se incumplan los objetivos de calidad acústica aplicables, aun observando los emisores acústicos los valores límite aplicables.
u) Zonas de servidumbre acústica: sectores del territorio, delimitados en los mapas de ruido, en que los valores de inmisión podrán superar los objetivos de calidad acústica aplicables a las correspondientes áreas acústicas y donde se podrán establecer restricciones para determinados usos del suelo, actividades, instalaciones o edificaciones, con la finalidad de, por lo menos, cumplir los valores límites de inmisión establecidos para aquéllos.
v) Zonas de situación acústica especial: zona de protección acústica especial en la que las medidas correctoras incluidas en los planes zonales específicos que se desarrollen no puedan evitar el incumplimiento de los objetivos de calidad acústica.
w) Zonas tranquilas en campo abierto: espacios no perturbados por ruido procedente del tráfico, actividades industriales o actividades deportivo-recreativas.
Artículo 4. Competencia administrativa y control del cumplimiento
1. Corresponde al Ayuntamiento ejercer el control del cumplimiento de la ordenanza y, entre otras competencias:
a) Delimitar las áreas acústicas, señalar limitaciones, declarar zonas tranquilas o zonas de protección y/o de situación acústica especial, la suspensión de los objetivos de calidad acústica, la declaración de servidumbres acústicas para infraestructuras de su competencia.
b) Ordenar las inspecciones que sean necesarias, aplicar las sanciones correspondientes en caso de incumplirse lo ordenado y exigir la adopción de las medidas correctoras necesarias.
2. Para aquellas figuras competencia del Ayuntamiento, el procedimiento administrativo será iniciado por acuerdo del órgano competente y será sometido a información pública y audiencia de las personas interesadas por un período no inferior a un mes. El procedimiento administrativo para las competencias definidas en el apartado a) del punto anterior será conforme a lo indicado en la Ley 39/2015, de 1 de octubre, del procedimiento administrativo común de las administraciones públicas, y para las competencias indicadas en el apartado b) será conforme a lo indicado en la Ley 7/1985, de 2 de abril, reguladora de las bases de régimen local.
Las alegaciones a los procedimientos indicados en el punto 1 de este artículo se resolverán motivadamente y se procederá a la aprobación definitiva en el Boletín Oficial de la provincia, para lo cual se dará cumplida información, además, mediante los medios de publicación indicados en el artículo 22.
Las modificaciones y ceses que afecten a estas zonas seguirán el mismo procedimiento que su aprobación.
En aquellos casos en los que se proceda a la suspensión de los objetivos de calidad acústica o se recurra a medidas correctoras, la autorización que se conceda expresará los aspectos determinados en un estudio acreditativo de su impacto acústico, conforme al anexo IV de la ordenanza, entre otros: el plazo, ámbito y niveles sonoros que se prevén conseguir.
3. El personal funcionario encargado de funciones de inspección, previa identificación, tendrá, entre otras, las siguientes facultades:
a) Acceder a las actividades, instalaciones o ámbitos generadores o receptores sonoros (de ruido o de vibraciones) en los términos previstos en la ley.
b) Requerir la información y la documentación administrativa que autorice las actividades e instalaciones o cualquier emisor objeto de inspección.
c) Proceder a la medición, evaluación y control necesarios en orden a comprobar el cumplimiento de las disposiciones vigentes en la materia y de las condiciones de la autorización con que cuente la actividad.
Artículo 5. Derechos y deberes de la ciudadanía en relación con esta ordenanza
1. Toda la ciudadanía tiene derecho a la información pública sobre la contaminación acústica en el ayuntamiento, y a denunciar cualquier actuación pública o privada que, incumpliendo las prescripciones establecidas en la presente ordenanza, implique molestia, riesgo o daño para las personas, bienes de cualquier naturaleza o al medio ambiente, de acuerdo con lo dispuesto en la normativa reguladora de protección contra la contaminación acústica y según lo establecido en la Ley 27/2006, de 18 de julio, por la que se regulan los derechos de acceso a la información, de participación pública y de acceso a la justicia en materia de medio ambiente; así como el deber de observar las normas sobre conducta que en relación con la contaminación acústica se determinan en la ordenanza.
2. Las personas titulares y/o responsables de las instalaciones, actividades o equipos generadores de ruido y/o vibraciones, tanto al aire libre como en establecimientos o locales, facilitarán al personal inspector el acceso a las instalaciones o focos de emisión de ruido y dispondrán su funcionamiento en la forma que le indique dicho personal inspector, pudiendo presenciar el proceso operativo, siempre que no comprometan la medida.
Asimismo, las posibles personas afectadas deberán facilitar el acceso a sus viviendas o locales al objeto de poder realizar las inspecciones y mediciones que se establecen como requisito preceptivo en la ordenanza para la solicitud de licencia o autorización previa de cualquier clase. El Ayuntamiento, si fuera necesario, realizará las citaciones oportunas para la práctica de dichas inspecciones y mediciones.
CAPÍTULO II
Calidad acústica
Sección 1ª. Zonificación acústica
Artículo 6. Áreas acústicas
La clasificación y zonificación de áreas acústicas se ajustará a los tipos y criterios establecidos por la Ley 37/2003, de 17 de noviembre, del ruido, y por el Real decreto 1367/2007, de 19 de octubre, que la desarrolla, así como al Decreto 106/2015, de 9 de julio, sobre contaminación acústica de Galicia.
Los tipos serán: residencial; industrial; recreativa y de espectáculos; de uso terciario distinto al contemplado en el caso anterior; sanitario, docente y cultural; con sistemas generales de infraestructuras de transporte u otros equipamientos públicos que los reclamen; y espacios naturales.
Artículo 7. Servidumbre acústica
1. A los efectos de la aplicación de esta ordenanza, se consideran servidumbres acústicas las destinadas a conseguir la compatibilidad del funcionamiento o desarrollo de las infraestructuras de competencia municipal con los usos del suelo, actividades, instalaciones o edificaciones implantadas, o que puedan implantarse, en la zona de afección por el ruido originado en dichas infraestructuras.
Podrán quedar gravados por servidumbres acústicas los sectores del territorio afectados por el funcionamiento o desarrollo de las mencionadas infraestructuras, así como los sectores de territorio situados en el entorno de tales infraestructuras, existentes o proyectadas.
Las zonas de servidumbre acústica se establecen y se incluyen en los instrumentos de planeamento urbanístico y en los mapas de ruido correspondientes, conforme a lo establecido en los artículos 5.2 y 5.3 del Decreto 106/2015, de 9 de julio, sobre contaminación acústica de Galicia.
2. Las zonas de servidumbre acústica se delimitarán mediante la aplicación de los criterios técnicos indicados en la normativa vigente. Estas zonas comprenderán el territorio delimitado por la curva de nivel del índice acústico (isófona) correspondiente al valor límite del área acústica del tipo a), «Residencial», que figura en la tabla II.B.1.
En los sectores del territorio gravados por servidumbres acústicas se establecerán limitaciones para determinados usos del suelo, actividades, instalaciones o edificaciones, con la finalidad de, por lo menos, cumplir los valores límite de inmisión establecidos para aquéllos. Se revisará la delimitación de las servidumbres acústicas cuando se produzcan modificaciones sustanciales en las infraestructuras, que originen variaciones significativas de los niveles sonoros en el entorno de las mismas.
3. Cuando se delimite una zona de servidumbre acústica en un área urbanizada, se elaborará simultáneamente el correspondiente mapa de ruido y plan de acción en materia de contaminación acústica, que contendrá las medidas correctoras que deban aplicarse a los emisores acústicos vinculados al funcionamiento de la infraestructura, las personas responsables de su adopción, la cuantificación económica y un proyecto de financiación.
Artículo 8. Zonas de protección acústica especial y de situación acústica especial
1. Las áreas acústicas en las que se incumplan los objetivos de calidad acústica serán declaradas por el Ayuntamiento como zonas de protección acústica especial, con la finalidad de reducir esos niveles hasta conseguir los objetivos de calidad acústica propios de la zona en cuestión.
2. Una vez declarada la zona de protección acústica especial, se elaborará un plan zonal específico que recoja las medidas correctoras a aplicar para la mejora acústica de la zona, hasta conseguir los objetivos de calidad acústica que le sean de aplicación, las personas responsables de su aplicación, cuantificación económica y proyecto de financiación.
Entre las medidas correctoras que podrán contener los planes zonales específicos están: instalación de barreras acústicas, aislamientos de fachadas, aplicar restricciones horarias y/o de emisiones para obras en la vía pública o en edificaciones, para vehículos a motor, para actividades u otros emisores acústicos concretos, actuaciones sobre las vías de propagación (como el firme de carreteras), acceso de la ciudadanía a la información ambiental o cualquier otra medida similar que favorezca una reducción de los niveles de ruido.
3. Dado el caso de que las medidas correctoras aplicadas no fueran eficaces para el cumplimiento de los mencionados objetivos de calidad acústica, después de 3 años se declarará el área como zona de situación acústica especial. En este caso se aplicarán nuevas medidas correctoras con la finalidad particular del cumplimiento de los objetivos de calidad acústica en el espacio interior.
4. El plan de acción derivado del mapa de ruido correspondiente a las zonas indicadas en este artículo y conforme al artículo 23 incluirá, en estos casos, los planes zonales específicos que se determinen.
5. El procedimiento que se seguirá para la declaración y actuaciones derivadas de estas zonas será el indicado en el artículo 4.2.
Artículo 9. Suspensión de los objetivos de calidad acústica
1. Los objetivos de calidad podrán ser suspendidos por el Ayuntamiento conforme a lo indicado en el artículo 7 del Decreto 106/2015, de 9 de julio, y en el artículo 9 de la Ley 37/2003, de 17 de noviembre.
2. La suspensión de los objetivos de calidad acústica deberá ser acordada con carácter previo a la celebración de espectáculos públicos y actividades recreativas que se celebren al aire libre o en recintos que no dispongan de medidas de aislamiento aptas para garantizar el cumplimiento de dichos objetivos de calidad, incluso si la actividad en cuestión es promovida o auspiciada por el Ayuntamiento.
La resolución municipal que acuerde la suspensión deberá incluir la referencia de la normativa sobre contaminación acústica aplicable; la delimitación del espacio o recinto donde tendrá lugar el acto, que tendrá la consideración de foco sonoro; la determinación de las personas responsables de la actividad; los límites horarios para su celebración; los niveles de ruido equivalente ponderado A (LAeq) permitidos, así como cualquier otra limitación, medida de protección necesaria o característica relevante, incluyendo la instalación de aparatos de control permanente de ruido (limitadores de sonido) cuando se prevea la utilización de equipos de reproducción de sonido o audiovisuales, en el caso en que así se determine.
3. El procedimiento que se seguirá en este caso será el indicado en el artículo 4.2.
4. No se acordará la suspensión de los objetivos de calidad acústica en aquellas áreas que requieran de especial protección contra la contaminación acústica según la legislación vigente, como son las clasificadas como tipo sanitario, docente y cultural y los espacios naturales.
Sección 2ª. Índices acústicos
Artículo 10. Índices acústicos y aplicación
1. Los índices acústicos se establecen en el anexo I. Estos índices se utilizarán para la evaluación del ruido y de las vibraciones, en la verificación del cumplimiento de los objetivos de calidad acústica aplicables a las áreas acústicas y al espacio interior de los edificios, así como para la evaluación de los niveles sonoros producidos y transmitidos por las infraestructuras, actividades, instalaciones y comportamientos, en la delimitación de las servidumbres acústicas y en la verificación del cumplimiento de los valores límite para los emisores acústicos. Los objetivos de calidad acústica y los valores límite de inmisión se muestran en el anexo II de la ordenanza.
2. La producción y transmisión de ruido y vibraciones en la vía pública, en las zonas de pública concurrencia o en el interior de los edificios, no podrá superar los límites establecidos en esta ordenanza en ninguno de los períodos temporales de evaluación (día, tarde y noche) definidos en el anexo I de esta norma.
Artículo 11. Evaluación acústica
1. La evaluación acústica se llevará a cabo según los procedimientos de cálculo y medición de los índices acústicos, tal y como se refleja en el anexo I, en consonancia con la normativa estatal de referencia o norma que la modifique o sustituya en materia de contaminación acústica.
2. Las tareas de evaluación acústica necesarias para el cumplimiento de la ordenanza requieren de la capacitación técnica exigida por los artículos 10 o 12 del Decreto 106/2015, de 9 de julio, según corresponda.
3. El Ayuntamiento, a efectos informativos o de observación, podrá dotarse de una red de ruido, consistente en equipos de medición localizados en varios puntos de las diferentes áreas acústicas o zonas singulares con las que zonifique su territorio.
Sección 3ª. Objetivos de calidad acústica
Artículo 12. Objetivos de calidad acústica aplicables a áreas acústicas
1. Los objetivos de calidad acústica para ruido en espacio exterior son los establecidos en la tabla II.A.1 del anexo II de la ordenanza para áreas urbanizadas existentes, y disminuido en 5 dB para el resto.
2. A efectos de cumplimiento de los objetivos de calidad, se considerará que se respetan los objetivos de calidad acústica para ruido cuando, para cada uno de los índices de inmisión de ruido, Ld, Le, o Ln, evaluados conforme a los procedimientos establecidos en el anexo I, se cumple, en el período de un año, que:
a) Ningún valor supera los valores fijados en la tabla II.A.1.
b) El 97 % de todos los valores diarios no superan en 3 dB los valores fijados en la tabla II.A.1.
Artículo 13. Objetivos de calidad acústica aplicables al espacio interior
1. Los objetivos de calidad acústica para ruido y para vibraciones en espacio interior son los establecidos en las tablas II.A.2 y II.A.3 del anexo II de la ordenanza.
2. A efectos de cumplimiento de los objetivos de calidad se considerará que, para:
a) Ruido: se respetan los objetivos de calidad acústica cuando para cada uno de los índices de inmisión de ruido, Ld, Le, o Ln, evaluados conforme a los procedimientos establecidos en el anexo I, se cumple, en el período de un año, que:
i) Ningún valor medio anual supera los valores fijados en la tabla II.A.2.
ii) El 97 % de todos los valores diarios no superan en 3 dB los valores fijados en la tabla II.A.2.
b) Vibraciones: se respetan los objetivos de calidad acústica cuando, para el índice de vibraciones Law, evaluado conforme a los procedimientos establecidos en el anexo I, se cumple, en el período de un año, que:
i) En período nocturno ningún valor supera los valores fijados en la tabla II.A.3.
ii) En ningún caso se superan en 5 dB los valores mostrados en la tabla II.A.3.
iii) Para vibraciones estacionarias en ningún caso se superan los valores fijados en la tabla II.A.3.
iv) Para vibraciones transitorias el conjunto de superaciones permitidas no debe ser mayor de 9. A estos efectos, cada evento cuyo exceso no supere los 3 dB será contabilizado como 1 y, si los supera, como 3.
3. Los objetivos de calidad acústica en espacio interior cumplirán con las obligaciones fijadas para edificaciones en la legislación vigente: artículo 17.2 del Real decreto 1367/2007, de 19 de octubre, artículo 10 del Decreto 106/2015, de 9 de julio, y artículo 17 de la ordenanza.
Sección 4ª. Emisores acústicos y valores límite
Artículo 14. Valores límite de inmisión para todo tipo de emisor
1. Los valores límite de inmisión por transmisión al medio ambiente exterior de emisiones de ruido de nuevas infraestructuras son los establecidos en las tablas II.B.1 y II.B.2 del anexo II de la ordenanza.
Los valores límite de inmisión por transmisión al medio ambiente exterior de emisiones de ruido de nuevas instalaciones, establecimientos y actividades portuaria, industrial, comercial, de almacenamiento, deportiva, recreativa, de ocio o similares, son los establecidos en la tabla II.B.3.
2. Los valores mostrados en las tablas II.A.2 y II.A.3 tendrán la consideración de valores límite de inmisión para interior, sin perjuicio de otros casos particulares que se indican en este artículo.
Los valores límite de inmisión por transmisión a locales colindantes de emisiones de ruido de instalaciones, establecimientos, actividades industrial, comercial, de almacenamiento, deportiva, recreativa, de ocio o similar, son los establecidos en la tabla II.B.4.
En edificios de uso exclusivo comercial, oficinas o industrial, los límites exigibles de transmisión interior entre locales de diferente titularidad son los establecidos en función del uso del edificio.
3. Se considerará que se cumplen los valores límite de inmisión de ruido cuando, para cada uno de los índices de inmisión de ruido, evaluados conforme a los procedimientos establecidos en el anexo I, en el período de un año, para:
a) Infraestructuras:
i) Ningún valor medio anual supera los valores fijados en la tabla II.B.1.
ii) Ningún valor diario supera en 3 dB los valores fijados en la tabla II.B.1.
iii) El 97 % de todos los valores diarios no supera los valores fijados en la tabla II.B.1.
b) Actividades:
i) Ningún valor medio anual supera los valores fijados en las tablas II.B.3 y II.B.4.
ii) Ningún valor diario supera en 3 dB los valores fijados en las tablas II.B.3 y II.B.4.
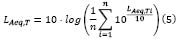
iii) Ningún valor LKeq,Ti supera en 5 dB los valores fijados en las tablas II.B.3 y II.B.4.
A efectos de cumplimiento de los valores límite de inmisión, para ruido transmitido a espacio interior no colindante, se procederá con lo establecido en el artículo 13 de la ordenanza.
4. A efectos de inspección de actividades en funcionamiento se considerará que se respetan los valores límite de inmisión de ruido cuando se cumplen los apartados b.ii) y b.iii) del punto anterior de este artículo.
5. Los valores límite de inmisión de vibraciones coincidirán, en todo caso, con los objetivos de calidad, según el artículo 13 de la ordenanza.
6. Lo dispuesto en este artículo se aplicará únicamente fuera de las zonas de servidumbre acústica.
Artículo 15. Emisores acústicos específicos
1. El valor límite de emisión sonora de los vehículos de motor y ciclomotores en circulación será el correspondiente a sumar 4 dB al nivel de emisión indicado en la homologación del mismo, evaluado con el vehículo parado según el procedimiento y conforme a la reglamentación. En caso de no aparecer entre las características del vehículo el nivel de emisión sonora, el valor límite será 91 dB para ciclomotores, y para el resto de vehículos será el valor de emisión obtenido siguiendo el procedimiento establecido en la legislación vigente incrementado en 4 dB, cuando la inspección técnica dictamine el correcto estado del vehículo.
Los vehículos de motor destinados a servicios de urgencias dispondrán de un mecanismo de regulación de la intensidad sonora de los dispositivos acústicos que la reduzca a unos niveles máximos de 90 dB medidos a tres metros de distancia y en la dirección de máxima emisión.
El Ayuntamiento promoverá la utilización y contratación de vehículos de transporte público que posean unos valores de emisión sonora bajos.
2. Las embarcaciones de recreo seguirán las indicaciones de la normativa específica vigente de requisitos de emisiones sonoras, conforme a lo indicado en el artículo 20 del Real decreto 1367/2007, de 19 de octubre.
3. La maquinaria utilizada en actividades al aire libre en general, y en las obras públicas y en la construcción en particular, debe ajustarse a las prescripciones establecidas en la legislación vigente propia referente a emisiones sonoras, conforme a lo indicado en el artículo 22 del Real decreto 1367/2007, de 19 de octubre. En todo caso, el Ayuntamiento fomentará la utilización de maquinaria, equipos y pavimento de baja emisión acústica en las contrataciones.
Para los trabajos realizados, tanto en la vía pública como en la edificación, con empleo de maquinaria que tenga un nivel de emisión superior a 90 dB, será necesaria una autorización municipal. Estos trabajos se realizarán únicamente en período diurno y/o de tarde, exceptuando las obras urgentes por necesidad inmediata o peligro, para lo cual es preceptivo la previa solicitud de la persona interesada y que en la autorización municipal se valore el impacto acústico, todo ello conforme a lo indicado en el anexo IV de la ordenanza. El personal dedicado a esas tareas estará obligado a llevar equipos de protección acústica.
4. Las actividades de carga y descarga de mercancías, cajas, contenedores, materiales de construcción y objetos similares en la vía pública se realizarán preferentemente en período diurno y/o de tarde.
Artículo 16. Comportamientos ciudadanos
1. La producción y transmisión de ruido y vibraciones que suponga una superación de los límites que exige la ordenanza no tendrán la consideración de comportamientos vecinales tolerables. Se incluyen como comportamientos vecinales que no tendrán la consideración de tolerables, en caso de superar los límites establecidos, los gritos, los golpes, las fiestas, cantos, trabajos, el ruido de los animales, la utilización de instrumentos sonoros o musicales, los aparatos electrodomésticos, la música en los vehículos que se propague al exterior y otros de similar naturaleza. Se consideran especialmente gravosos los citados comportamientos cuando tengan lugar en período nocturno.
Para la aplicación de este punto los valores límite de inmisión a considerar serán iguales a los indicados en el artículo 14 para actividades.
2. Se prohíbe, con carácter general, el empleo en espacios públicos de todo dispositivo sonoro con fines de propaganda, reclamo y análogos, cuyas condiciones de funcionamiento produzcan molestias. Cuando por razones de interés general o de especial significación ciudadana sea necesario su empleo, deberá contar con autorización municipal. Esta prohibición no regirá en los casos de urgencia.
En todo caso, las personas titulares de estos dispositivos pondrán, mediante comunicación previa, en conocimiento del Ayuntamiento la existencia de los mismos para su interrupción en caso necesario (las alarmas estarán conectadas a una central), lo que no les eximirá de la correspondiente sanción.
La actividad de los dispositivos solamente se acepta para los casos establecidos como avisos, tentativas de robo o similares, u otros casos justificados, como se indica en el párrafo anterior, en los instantes posteriores a la instalación y comprobaciones periódicas del funcionamiento de los mismos (con un máximo de una vez cada tres meses y en período diurno), y todo durante un tiempo total de funcionamiento (incluidas las paradas) no superior a 10 minutos, tras lo cual el sistema de aviso será luminoso. Los valores que se consigan no superarán los 85 dB medidos a 3 metros de distancia en dirección de máxima emisión. El tiempo de emisión continuado será de un máximo de 30 segundos y similar al de las paradas.
Sección 5ª. Edificaciones, industria y actividades públicas
Artículo 17. Edificaciones
1. A los efectos de aplicación de esta ordenanza, se consideran edificaciones las construcciones dentro del ámbito de aplicación que establece el documento básico «DB-HR Protección frente al ruido» del Código técnico de la edificación, aprobado mediante Real decreto 1371/2007, de 19 de octubre. A todos los efectos aplicará este real decreto a nuevas edificaciones, que son aquellas con licencia municipal solicitada posteriormente al 24 de abril de 2009. Igualmente aplicará sobre las modificaciones o reformas para las edificaciones con dicha solicitud anterior la esa fecha. En el resto de casos podrán optar por satisfacer las condiciones acústicas establecidas en la NBE CA-88 publicadas en la Orden de 29 de septiembre de 1988.
2. Una edificación es conforme a las exigencias acústicas derivadas de la aplicación de los objetivos de calidad acústica al espacio interior de las edificaciones y los valores límite de actividades cuando, al aplicar el sistema de verificación acústica, se cumplan las exigencias acústicas básicas y métodos impuestos por el Código técnico de la edificación «DB-HR Protección frente al ruido», aprobado mediante el Real decreto 1371/2007, de 19 de octubre, norma que lo modifique o sustituya, o por el NBE QE-88, según corresponda.
3. En cumplimiento de lo establecido por la legislación vigente, para la concesión de la licencia de primera ocupación, con la correspondiente certificación de fin de obra, se aportará certificación de las condiciones acústicas, mediante presentación de informe de ensayos in situ, acreditativo del cumplimiento de las prescripciones establecidas en este artículo y según las de los artículos 10 y 12 del Decreto 106/2015, de 9 de julio; para lo cual podrán establecerse ensayos representativos, sin perjuicio del cumplimiento de lo establecido en esta ordenanza en todo caso.
4. Las instalaciones de aire acondicionado, ventilación, climatización, ascensores y cualquier otro elemento constructivo en edificaciones cumplirán con los valores límite indicados en el artículo 14 de la ordenanza, para todo tipo de emisor, y con el Real decreto 1371/2007, de 19 de octubre, por el que se aprueba el documento básico «DB-HR Protección frente al ruido» del Código técnico de la edificación CTE.
Artículo 18. Industrias
La producción y transmisión de ruido y vibraciones originados en las actividades industriales se ajustarán a lo establecido en esta ordenanza quedando, además, sometidas a los condicionantes que regule la normativa estatal básica y autonómica de protección ambiental, para aquéllas que estén obligadas por un procedimiento de evaluación de impacto ambiental. Dicho procedimiento incluirá un estudio acreditativo de su impacto acústico conforme al anexo IV de la ordenanza y exigirá el cumplimiento de las medidas correctoras que se dicten.
Artículo 19. Actividades, recintos y establecimientos de ocio, públicos o de similar concurrencia y funcionalidad
1. A efectos de aplicación de este artículo, las actividades seguirán lo establecido en la disposición transitoria única de la ordenanza.
2. La producción y la transmisión de ruido y vibraciones originados en las actividades se ajustarán a lo establecido en la ordenanza y en el artículo 11 del Decreto 106/2015, de 9 de julio. Las personas titulares de esas actividades deberán adoptar las medidas de insonorización de las fuentes sonoras y de aislamiento acústico de los locales para cumplir con los valores límite de inmisión y transmisión de ruido y vibraciones marcados en esta ordenanza; quedando además, sometidas a los condicionantes que regule la normativa estatal básica y autonómica, de incidencia y protección ambiental, para aquéllas que estén obligadas por un procedimiento de evaluación de impacto ambiental o de evaluación de incidencia ambiental. Dicho procedimiento incluirá un estudio acreditativo de su impacto acústico conforme al anexo IV de la ordenanza y exigirá el cumplimiento de las medidas correctoras que se dicten.
3. Sin perjuicio de lo establecido en las ordenanzas municipales, para establecimientos abiertos al público con terraza, las personas titulares de las actividades cuidarán del mantenimiento del orden en las terrazas, debiendo solicitar la actuación del Ayuntamiento en caso de alteración o molestia para el vecindario. En ningún caso producirán y transmitirán ruido que supere, en espacios abiertos o interiores, los valores que figuran en el anexo II de la ordenanza.
CAPÍTULO III
Prevención y corrección de la contaminación acústica
Sección 1ª. Prevención de la contaminación acústica
Artículo 20. Aislamiento acústico
1. Cuando el local público o industria en el que se desarrollen actividades produzca unos niveles de ruido superiores a los permitidos, se considerará responsable de las molestias a la persona titular y/o responsable de la actividad, a lo que será de aplicación el régimen sancionador previsto en esta ordenanza.
2. Para garantizar la adecuada y eficaz defensa de la salud de las personas y del medio ambiente ante actividades que se desarrollen en edificaciones de zonas de tipo residencial y sanitario, docente y cultural, así como las zonas de protección, el Ayuntamiento exigirá a las personas titulares de las actividades indicadas en la disposición transitoria segunda del Decreto 106/2015, de 9 de julio, un informe de ensayo o certificado de aislamiento acústico, compuesto de los parámetros establecidos en dicho decreto, según el caso:
– Aislamiento entre la actividad y las viviendas colindantes con el local (DnT 100–5000 Hz y DnT125 Hz) y niveles de recepción interna en las viviendas colindantes derivadas del funcionamiento en el local emisor y el tiempo de reverberación.
– Aislamiento acústico de la fachada (D2m,nT 100–5000 Hz).
– Nivel de ruido de impactos (L’nT 100–5000 Hz).
La certificación la realizarán empresas o entidades según los criterios exigidos en la normativa autonómica. Las mediciones cumplirán con las especificaciones establecidas en la normativa vigente sobre edificaciones y en los anexos I y III de la ordenanza.
3. Una vez iniciada la actividad o puestas en funcionamiento las instalaciones, podrán realizarse inspecciones para comprobar que las actividades o instalaciones cumplen la normativa.
4. Los comportamientos ciudadanos referidos en el artículo 16, que no respeten lo allí dispuesto para cumplimiento de valores límite, sin perjuicio de las sanciones correspondientes, pueden suponer, en caso reiterado, la obligación de un acondicionamiento de aislamiento acústico como el indicado en esta ordenanza para actividades.
Artículo 21. Acondicionamiento de actividades, establecimientos y locales
1. Con el fin de evitar la transmisión sonora directamente al exterior, en las actividades englobadas en los grupos 2, 3, 5, y 6 del anexo III será obligatoria la instalación de una doble puerta. Las puertas que conforman el vestíbulo deberán permanecer constantemente cerradas, excepto una durante la entrada y salida de personas. Las ventanas del local también deben permanecer cerradas.
2. Aquellas actividades englobadas en los grupos 2, 3, 5 y 6 del anexo III que dispongan de equipos de reproducción de sonido o audiovisuales estarán obligadas a instalar aparatos de control permanente de ruido (limitadores de sonido), diseñados para garantizar el cumplimiento de los límites máximos permitidos de emisión e inmisión sonora en función de la actividad y de su aislamiento acústico. Las características de estos equipos seguirán lo indicado en el anexo I.B.7.
3. Las actividades de ocio no industriales englobadas en los grupos 2, 3, 5 y 6 del anexo III de la ordenanza, independientemente de otras limitaciones establecidas en esta disposición, están obligadas a colocar un aviso visible en dimensión e iluminación que indique lo siguiente: la normativa sobre contaminación acústica por la que se rigen (esta ordenanza), nombre legal de la actividad, titular y/o responsable de la actividad, dirección, fecha de concesión de la licencia o de la comunicación previa (declaración responsable), grupo de actividad en el que se engloban según lo indicado en el anexo III, horario de actividad, aforo máximo del local, los niveles de ruido LAeq máximos medidos en el centro del local en condiciones de funcionamiento, así como cualquier otra limitación, medida de protección necesaria o característica relevante, y el siguiente lema: «La exposición prolongada a los niveles sonoros del interior produce lesiones permanentes en el oído». El aviso será permanente desde el inicio de la actividad, en el formato que proporcione el Ayuntamiento.
Sección 2ª. Protección y corrección de la calidad acústica
Artículo 22. Actuaciones e información sobre protección de la calidad acústica
1. El Ayuntamiento, a los efectos del establecido en el artículo 5.1 de esta ordenanza, se servirá de los medios de publicación oportunos: tablón edictal del ayuntamiento y página electrónica del ayuntamiento.
2. Tendrá carácter de información pública:
– La zonificación acústica del ayuntamiento, incluidas las zonas acústicas singulares (reservas de sonidos de origen natural, zonas tranquilas en campo abierto, zonas de protección y/o situación acústica especial).
– Los mapas de ruido y los planes de acción, incluidas las medidas correctoras derivadas de su aplicación.
– Aquellos supuestos en los que, por razones excepcionales de interés público, el Ayuntamiento hubiera concedido la suspensión de los objetivos de calidad o licencia de construcción de edificaciones que, cumpliendo los objetivos de calidad acústica en espacio interior, no se cumplan en el área, incluida la previa motivación y las medidas correctivas correspondientes.
3. Igualmente, se indicará en el tablón edictal y en la página electrónica del Ayuntamiento:
– Los trabajos en vía pública (destacando especialmente aquellos que sean realizados en horario nocturno).
– La autorización municipal, así como la preceptiva justificación técnica sobre las actividades y horarios de aquellas actividades de carga y descarga aceptadas fuera de los supuestos recomendados en el artículo 15.
– Las rutas y horarios de los servicios de limpieza y de recogida de basura.
4. De conformidad con el artículo 4.2 del Decreto 106/2015, de 9 de julio, el Ayuntamiento deberá presentar ante la consellería competente en materia de medio ambiente la información allí señalada en los plazos que se estipulan.
Artículo 23. Medidas de protección: mapas de ruido, planes de acción y otras actuaciones
1. Corresponde al Ayuntamiento la elaboración y aprobación de los mapas de ruido del término municipal, tanto los estratégicos como los de las áreas acústicas en las que se compruebe el incumplimiento de los objetivos de calidad acústica, si procede, así como los planes de acción derivados. Dichos mapas y planes serán aprobados, previo trámite de información pública, por un período mínimo de un mes. El Ayuntamiento los revisará y, en su caso, modificará, por lo menos cada cinco años a partir de la fecha de su aprobación.
Los índices acústicos y los requisitos mínimos específicos para la elaboración de los mismos son los establecidos por la normativa vigente.
2. El Ayuntamiento limitará el tráfico rodado si se comprueba que los valores de ruido conseguidos por la densidad de tráfico o emisiones acústicas de los vehículos superan los marcados en esta normativa.
Sección 3ª. Potestad inspectora y sancionadora
Artículo 24. Inspección
1. El personal funcionario que realice labores de inspección en materia de contaminación acústica podrá acceder a cualquier lugar, instalación o dependencia, de titularidad pública o privada, de conformidad con lo establecido en el artículo 4 de esta ordenanza. En el supuesto de entradas domiciliarias se requerirá el previo consentimiento de la persona titular o resolución judicial.
2. Las personas titulares de los emisores acústicos regulados por esta ley están obligadas a prestar a las autoridades competentes toda la colaboración que sea necesaria, a fin de permitirles realizar los exámenes, controles, mediciones y labores de recogida de información que sean pertinentes para el desempeño de sus funciones.
3. Las inspecciones podrán llevarse a cabo de oficio o a instancia de parte; se harán preferentemente en el instante de la denuncia, dentro de las posibilidades del personal encargado de la evaluación y, en todo caso, el Ayuntamiento atenderá las denuncias presentadas por posible afección debida a contaminación acústica en un plazo no superior a un mes.
Los actas formalizadas por el personal inspector deberán recoger, observándose los requisitos legalmente establecidos, toda la información que consideren relevante, entre otras: persona denunciante, si es el caso; responsable del recinto receptor, si es el caso; responsable del foco emisor; otras personas testigos de la afección; fecha y hora de la inspección; personal inspector; hechos; actividades y niveles sonoros.
Artículo 25. Infracciones y sanciones
1. Atendiendo a la Ley 37/2003, de 17 de noviembre, del ruido, las posibles infracciones administrativas relacionadas con la contaminación acústica se clasifican en leves, graves y muy graves. Son:
a) Infracciones leves:
– El ruido procedente de usuarios en la vía pública, así como por comportamientos vecinales.
– No comunicar al Ayuntamiento los datos requeridos en los plazos indicados.
– La instalación o comercialización de emisores acústicos sin la debida información sobre los índices acústicos, conforme a lo exigible en la normativa aplicable.
– El incumplimiento de alguna prescripción recogida en esta normativa cuando no esté tipificada como grave o muy grave.
b) Infracciones graves:
– Superar los valores límite aplicables, sin producir daño o deterioro grave en el medio ambiente, ni peligro grave para la seguridad o salud de las personas.
– El incumplimiento de las condiciones establecidas en materia de contaminación acústica en las autorizaciones sectoriales, licencias, declaraciones responsables o comunicación previa, sin producir daño o deterioro grave en el medio ambiente, ni suponer peligro grave para la seguridad o salud de las personas.
– La ocultación o alteración de datos relativos a la contaminación acústica aportados a los expedientes administrativos encaminados a la obtención de autorizaciones o licencias relacionadas con el ejercicio de las actividades reguladas en esta ordenanza.
– El impedimento, retraso u obstrucción en la actividad inspectora o de control de la Administración.
– La no adopción de medidas correctoras requeridas por el Ayuntamiento ante un caso de incumplimiento de los objetivos de calidad.
c) Infracciones muy graves:
– La producción y transmisión de contaminación acústica por encima de los valores límite establecidos en las zonas de protección acústica especial o en las zonas de situación acústica especial.
– La superación de los valores límite aplicables, cuando se produjera un daño o deterioro para el medio ambiente, o se pusiera en peligro grave la seguridad o salud de las personas.
– El incumplimiento de las condiciones establecidas en materia de contaminación acústica en las autorizaciones sectoriales, licencias, declaraciones responsables o comunicación previa, cuando se haya producido daño o deterioro grave en el medio ambiente, o se haya puesto en peligro grave la seguridad o salud de las personas.
– El incumplimiento de los requisitos de relativos a la protección de edificaciones frente al ruido, cuando se haya puesto en peligro grave la seguridad o salud de las personas.
– El incumplimiento de las obligaciones derivadas de la adopción de medidas provisionales indicadas en el punto 3 de este artículo.
2. Las sanciones derivadas de la comisión de las infracciones anteriormente expuestas, atendiendo a las circunstancias particulares de cada caso, serán:
a) En el caso de infracciones leves: multas de hasta 600 euros.
b) En el caso de infracciones graves: multas desde 601 hasta 12.000 euros; suspensión de las licencias o autorizaciones preceptivas por un período de tiempo comprendido entre un mes y un día y un año; clausura temporal total o parcial de las instalaciones por un período no superior a dos años.
c) En el caso de infracciones muy graves: multas desde 12.001 hasta 300.000 euros; suspensión de las licencias o autorizaciones preceptivas por un período de tiempo comprendido entre un año y un día y cinco años, o su revocación; clausura definitiva, total o parcial, de las instalaciones; clausura temporal, total o parcial, de las instalaciones por un período no inferior a dos años ni superior a cinco; el precintado temporal o definitivo de equipos y máquinas; la prohibición temporal o definitiva del ejercicio de actividades; la publicación, a través de los medios que se consideren oportunos, de las sanciones impuestas, una vez que éstas adquieran firmeza en vía administrativa o, en su caso, jurisdiccional, así como los nombres, apellidos, denominación o razón social de las personas físicas o jurídicas responsables, y la índole y naturaleza de las infracciones.
3. Una vez iniciado el procedimiento sancionador, el órgano competente para imponer la sanción podrá adoptar, sin perjuicio de la obligación de cumplimiento de las órdenes e instrucciones impartidas por agentes de la autoridad para el cese inmediato de la conducta ruidosa en salvaguarda del orden, salud o seguridad públicas, entre otras medidas provisionales:
– Precintado de equipos o máquinas.
– Clausura temporal, parcial o total, de las instalaciones o del establecimiento.
– Suspensión temporal de las autorizaciones sectoriales, licencias de actividad, comunicación previa o declaración responsable en las que se hayan establecido condiciones relativas a la contaminación acústica.
– Medidas de corrección, seguridad o control que impidan la continuidad en la producción del riesgo o del daño.
Artículo 26. Procedimiento sancionador y proporcionalidad
1. El Ayuntamiento, según lo establecido en la Ley 39/2015, de 1 de octubre, del procedimiento administrativo común de las administraciones públicas, y en la Ley 40/2015, de 1 de octubre, de régimen jurídico del sector público, ejercerá la potestad sancionadora en el ámbito de la ordenanza, siendo la persona titular de la alcaldía la competente para iniciar y resolver los expedientes sancionadores derivados de la infracción de lo dispuesto en ella. Ante cualquier denuncia por infracción de lo dispuesto en la ordenanza se seguirá el correspondiente procedimiento administrativo de comprobación, si fuera el caso, a la mayor brevedad. El plazo máximo para resolver y notificar la resolución del procedimiento sancionador será de tres meses.
2. Las sanciones se impondrán atendiendo a las circunstancias de la persona responsable, a la importancia del daño o deterioro causado, o molestia a las personas, a los bienes o al medio ambiente, a la intencionalidad o descuido y a la reincidencia o participación.
Disposición adicional primera. Reserva de la competencia de otros organismos
El régimen que establece la ordenanza se entiende sin perjuicio de las intervenciones que correspondan a otros organismos de la Administración en la esfera de sus respectivas competencias.
Disposición adicional segunda. Régimen fiscal
De conformidad con lo previsto en el apartado 4 del artículo 20 del Real decreto legislativo 2/2004, de 5 de marzo, por el que se aprueba el texto refundido de la Ley reguladora de las haciendas locales, las entidades locales podrán establecer tasas por la prestación de servicios de inspección que realicen para verificar el cumplimiento de lo dispuesto en la ordenanza.
Disposición adicional tercera. Actividades e infraestructuras nuevas
1. Se consideran actividades nuevas aquellas que iniciaron la tramitación de las actuaciones de intervención administrativa contempladas en el artículo 18 de la Ley 37/2003, de 17 de noviembre, del ruido, con fecha posterior al 23 de octubre de 2007.
2. Tendrán consideración de infraestructuras locales nuevas aquellas otras que tengan fecha de tramitación de la declaración de impacto ambiental o de aprobación del proyecto de ejecución, posterior a la entrada en vigor del Decreto 106/2015, de 9 de julio. Igualmente, tendrán consideración de nuevas infraestructuras aquellas que ante un nuevo trazado requieran la declaración de impacto ambiental o impliquen la duplicación de su capacidad o intensidad media diaria de vehículos.
Disposición adicional cuarta. Calidad acústica en infraestructuras de competencia local
Las infraestructuras locales existentes tendrán como objetivo de calidad acústica conseguir los valores indicados en el artículo 12.1 de la ordenanza, y las infraestructuras nuevas deberán cumplir con los valores límite de inmisión según el artículo 14 de la ordenanza, todo ello conforme a los plazos y condicionantes indicados en el Decreto 106/2015, de 9 de julio, sobre contaminación acústica de Galicia.
Disposición transitoria única. Actividades e instalaciones con licencia de actividad
Las actividades e instalaciones con licencia de actividad otorgada con posterioridad a la entrada en vigor del Decreto 106/2015, de 9 de julio, sobre contaminación acústica de Galicia, y aquellas otras con licencia de actividad otorgada con anterioridad a dicho decreto que tras la entrada en vigor de la ordenanza la incumplan, conforme a lo establecido en el artículo 25 de esta ordenanza, o realicen modificaciones, reformas, ampliaciones o traslados, deberán adaptarse a esta normativa, con el fin de garantizar los niveles autorizados, para lo cual deberán encuadrarse y definirse necesariamente en alguno de los grupos que clasifica esta ordenanza en su anexo III con su correspondiente aislamiento acústico, con independencia de aquello para lo que las faculte su epígrafe fiscal.
Disposición derogatoria única. Derogación normativa
Quedan derogadas todas cuantas disposiciones del mismo o inferior rango regulen materias contenidas en esta ordenanza, en cuanto se opongan o contradigan su contenido.
Disposición final primera. Competencia municipal
La ordenanza sobre protección contra la contaminación acústica se aprueba en virtud de la competencia municipal en materia de protección del medio ambiente, de conformidad con lo dispuesto en el artículo 25.2.b) de la Ley 7/1985, de 2 de abril, reguladora de las bases de régimen local, en los términos de la legislación del Estado y de la Comunidad Autónoma, en virtud de lo dispuesto en la Ley 37/2003, de 17 de noviembre, del ruido, y su desarrollo reglamentario compuesto por el Real decreto 1513/2005, de 16 de diciembre, el Real decreto 1367/2007, de 19 de octubre, su modificación por el Real decreto 1038/2012, de 6 de julio, y el Decreto 106/2015, de 9 de julio, sobre contaminación acústica de Galicia.
Disposición final segunda. Entrada en vigor
Conforme a lo establecido en los artículos 70.2 y 65.2 de la Ley 7/1985, de 2 de abril, reguladora de las bases de régimen local, esta ordenanza entrará en vigor a los 15 días hábiles de su publicación en el Boletín Oficial de la provincia, una vez aprobada por el pleno de la corporación.
ANEXO I
Índices acústicos y métodos de evaluación
A. Índices acústicos.
El ruido y las vibraciones son sensaciones molestas relacionadas con interferencias o alteraciones en el sonido, que se miden con unos índices cuantificados en unidades de decibelios (dB), con una ponderación dada del sonido y en un rango determinado de frecuencias audibles.
En esta ordenanza la referida ponderación será siempre según el filtro de frecuencias tipo base A, salvo en los casos en que se indique lo contrario.
1. Los índices acústicos que aplican en la ordenanza son:
a) Para ruido:
LAeq,T para evaluar niveles sonoros en un intervalo temporal T.
El índice de ruido continuo equivalente LAeq,T, es el nivel de presión sonora continuo equivalente, en decibelios, determinado sobre un intervalo temporal de T segundos.
LAmax para evaluar niveles sonoros máximos durante el período temporal.
El índice de ruido máximo LAmax, es el más alto nivel de presión sonora, en decibelios, (con constante de integración de 0,125 s), LAFmax, registrado en el período temporal de evaluación.
LKeq,T para evaluar niveles sonoros en un intervalo temporal T, con correcciones de nivel por componentes tonales emergentes, por componentes de baja frecuencia o por ruido de carácter impulsivo.
El índice de ruido continuo equivalente corregido LKeq,T, es el nivel de presión sonora continuo equivalente, LAeq,T, corregido por la presencia de componentes tonales emergentes, componentes de baja frecuencia y ruido de carácter impulsivo, de conformidad con la siguiente expresión:

Donde: Kt, Kf, Ki son los parámetros de corrección para evaluar la molestia o los efectos nocivos por la presencia de componentes tonales emergentes, componentes de baja frecuencia y presencia de ruido de carácter impulsivo respectivamente, calculados por aplicación de la metodología descrita en el anexo I.B.4.
LK,x para evaluar la molestia y los niveles sonoros, con correcciones de nivel por componentes tonales emergentes, por componentes de baja frecuencia o por ruido de carácter impulsivo, en un período temporal «x».
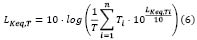
El índice de ruido continuo equivalente corregido mediado a largo plazo LK,x, es el nivel sonoro determinado a lo largo de todos los períodos temporales de evaluación «x» de un año, dado por la expresión que sigue:

Donde: n es el número de muestras del período temporal de evaluación «x» y (LKeq,x)i es el nivel sonoro corregido, determinado en el período temporal de evaluación «x» de la i-ésima muestra.
b) Para vibraciones:
Law, para evaluar la molestia y los niveles de vibración máximos, durante el período temporal considerado, en el espacio interior de edificios, se determina aplicando la fórmula siguiente:

Donde: aw el máximo del valor eficaz (RMS) de la señal de aceleración, con ponderación en frecuencia wm, en el tiempo t, en m/s2 y a0 la aceleración de referencia (a0 = 10-6 m/s2).
El valor eficaz aw(t) se obtiene mediante medio exponencial con constante de integración de 1 s.
2. Períodos temporales de evaluación.
a) Se establecen tres períodos temporales de evaluación diarios: período día, de 7.00 a 19.00 horas; período tarde, de 19.00 a 23.00 horas; período noche, de 23.00 a 7.00 horas; con unos índices para evaluar los niveles sonoros en esos períodos: LAeq,d, LAeq,e, LAeq,n (también denominados Ld, Le, Ln) respectivamente. Del mismo modo se da para los índices equivalentes corregidos LKeq,T: LKd, LKe, LKn.
Existe un índice Lden para evaluar la molestia global durante todos los períodos (día, tarde y noche):

b) A efectos de calcular las medias a largo plazo, un año corresponde al año natural en lo referente a emisión de sonido, y a un año y medio por lo que se refiere a las circunstancias meteorológicas.
B. Métodos y procedimientos de evaluación de los niveles acústicos.
Para la evaluación de los niveles acústicos según lo mencionado en los artículos 10 y 11, se podrán seguir dos métodos: de cálculo o de medición. En todo caso, se tomará siempre el valor más desfavorable.
A efectos de inspección de actividades o comportamientos, la valoración de los índices acústicos se determinará únicamente mediante mediciones.
El cumplimiento de las especificaciones de la ordenanza, especialmente en viviendas, en los casos de muestreo no es eximente para el resto.
1. Evaluación del ruido en el ambiente exterior.
En la evaluación de los niveles sonoros en el ambiente exterior mediante índices de ruido, el sonido que se tiene en cuenta es el sonido incidente (evitando o corrigiendo el sonido reflejado, si hubiera). La altura del punto de evaluación no será inferior a 1,5 m sobre el nivel del suelo.
2. Evaluación del ruido en el ambiente interior.
En el interior de edificios el punto de evaluación se situará a una altura de 1,5 m sobre el nivel del suelo, a por lo menos 1 m de las paredes u otras superficies u objetos, y aproximadamente a 1,5 m de las ventanas en, como mínimo, tres posiciones. Cuando estas posiciones no sean posibles, las mediciones se realizarán en el centro del recinto a una altura de entre 1,2 m y 1,5 m. Las mediciones se realizarán con puertas y ventanas cerradas.
3. Métodos de cálculo.
Los métodos de cálculo recomendados para la evaluación de los índices de ruido son los indicados en la Directiva 2002/49/CE del Parlamento Europeo y del Consejo, de 25 de junio de 2002, así como en el Real decreto 1513/2005, de 16 de diciembre, por el que se desarrolla la Ley 37/2003, de 17 de noviembre, del ruido, en lo referente a la evaluación y gestión del ruido ambiental, o aquellos que los sustituyan.
También se tendrá en cuenta la Recomendación de la Comisión, de 6 de agosto de 2003, relativa a las orientaciones sobre los métodos de cálculo provisionales revisados para el ruido industrial, el procedente de aeronaves, el del tráfico rodado y ferroviario, y los datos de emisiones correspondientes (2003/613/CE).
Para la determinación de los niveles sonoros estos cálculos serán convenientemente corregidos por otros factores que puedan influir en los niveles acústicos.
4. Métodos y procedimientos de medición para ruido.
Para las mediciones se tendrá en cuenta lo indicado en el artículo 12 del Decreto 106/2015, de 9 de julio.
Los instrumentos de medida para sonido y vibraciones y calibradores acústicos utilizados para la evaluación del ruido y vibraciones cumplirán las disposiciones de control metrológico establecidas en la Orden ITC/2845/2007, de 25 de septiembre, y serán tipo/clase 1, con filtros de banda de 1/3 de octava para análisis espectral. Y contarán con la verificación periódica anual emitida por un laboratorio acreditado a tales efectos.
Los procedimientos de medición in situ utilizados para la evaluación de los índices de ruido se adecuarán a lo expuesto en este apartado:
Las mediciones se pueden realizar en continuo durante el período temporal de evaluación completo o aplicando métodos de muestreo del nivel de presión sonora en intervalos temporales de medida Ti, un número de medidas n, seleccionados dentro del período temporal de evaluación (día, tarde y noche), y un número de puntos característicos de la zona atendiendo a las dimensiones del área acústica y a la variación espacial de los niveles sonoros, de forma que el resultado de la medida sea representativo de la valoración del índice que se está evaluando.
Los valores medidos se darán con una cifra decimal y el valor del nivel sonoro final, tras la realización de los procedimientos que se describen a continuación, se redondeará a la parte entera como valor resultante a efectos de cumplimiento con esta ordenanza.
4.1. Evaluación de los objetivos de calidad acústica:
a) De forma preliminar se valorará la fuente sonora que tenga mayor contribución ambiental en el área acústica, realizando una evaluación de los episodios más significativos, mediante mediciones en continuo durante por lo menos 24 horas.
b) El micrófono se situará a una altura no inferior a 1,5 m sobre el nivel del suelo, pero los resultados deberán corregirse en todo caso, de conformidad con una altura de 4 metros sobre el nivel del suelo, y separado por lo menos 1,2 metros de cualquier fachada u obstáculo que pueda introducir distorsiones por reflexiones en la medida. En estos casos se justificarán técnicamente los criterios de corrección aplicados.
4.2. Evaluación de los niveles sonoros producidos por los emisores acústicos:
a) Infraestructuras:
Se deberán realizar por lo menos 3 series de mediciones del LAeq,Ti, con tres mediciones en cada serie, de una duración mínima de 5 minutos (Ti = 300 segundos), con intervalos temporales mínimos de 5 minutos, entre cada una de las series.
La evaluación del nivel sonoro en el período temporal de evaluación se determinará a partir de los valores de los índices LAeq,Ti de cada una de las medidas realizadas, aplicando la siguiente expresión:

Donde: T es el tiempo correspondiente al período temporal de evaluación considerado; Ti el intervalo de tiempo de la medida i, tal que la suma de los Ti corresponde con T; n es el número de mediciones del conjunto de las series de mediciones realizadas en el período de tiempo de referencia T.
b) Actividades, comportamientos y resto de focos emisores:
La medición, tanto para el ruido emitido al exterior como transmitido hacia el interior por los emisores acústicos, se llevará a cabo en el lugar en el que su valor sea más alto.
Cuando, por las características del emisor acústico, se comprueben variaciones significativas de sus niveles de emisión sonora durante el período temporal de evaluación, se dividirá éste, en intervalos de tiempo, Ti, o fases de ruido (i), en los cuales el nivel de presión sonora en el punto de evaluación se perciba de manera uniforme.
En cada fase de ruido se realizarán, por lo menos, tres mediciones del LKeq,Ti, de una duración mínima de 5 segundos, y recomendada de 30 segundos, con intervalos de tiempo mínimos de 3 minutos entre cada una de las medidas.
Las medidas se considerarán válidas cuando la diferencia entre los valores extremos obtenidos sea menor o igual a 6 dB. Si la diferencia fuera mayor se deberá obtener una nueva serie de tres mediciones que, de reproducirse constantemente, se tomará ese valor como resultado, si se determina su origen.
Se tomará como resultado de la medición el valor más alto de los obtenidos.
Cuando se determinen fases de ruido, el nivel sonoro en el período temporal de evaluación se determinará a partir de los valores de los índices LKeq,Ti de cada fase de ruido medida, aplicando la siguiente expresión:

Donde: T es el tiempo correspondiente al período temporal de evaluación considerado; Ti el intervalo de tiempo asociado a la fase de ruido i, tal que la suma de los Ti corresponde con T; n es el número de fases de ruido en que se descompone el período temporal de referencia T.
4.3. Corrección de los niveles sonoros producidos por emisores acústicos:
Los niveles de ruido obtenidos en la medición frente a la fachada o elemento reflectante deberán corregirse para excluir el efecto reverberante.
En la determinación del LKeq,Ti se tendrá en cuenta la corrección por componentes tonales (Kt), impulsivas (Ki) y bajas frecuencias (Kf), y la corrección por ruido de fondo.
Se determinará la influencia del ruido de fondo para todas las medidas, y la presencia o la ausencia de componentes tonales emergentes, de componentes de baja frecuencia y/o componentes impulsivas, para la corrección del nivel sonoro, conforme a los siguientes procedimientos:
a) Corrección por ruido de fondo:
Para la determinación del ruido de fondo se procederá de forma análoga a lo descrito en el punto 4.2 del anexo I, con el emisor acústico que se está evaluando parado. La corrección se realizará cuando la diferencia entre el nivel de ruido y de fondo esté comprendida entre 3 dB y 10 dB, para lo que se toma:

Si la diferencia entre el nivel de ruido y el nivel de fondo es igual o inferior a 3 dB, se dará por nula la medición, al ser el nivel de fondo demasiado elevado y no permitir una determinación correcta; y, en caso de darse repetidamente, no se imputará al emisor la afección. Si la diferencia entre el nivel de ruido y el nivel de fondo es superior a 10 dB, el nivel de ruido no precisa esta corrección.
b) Correcciones por componentes tonales (Kt):
Se realizará el análisis espectral del ruido en 1/3 de octava sin filtro de ponderación (lineal) y se calculará la diferencia: Lt = Lf – Ls; donde: Lf, es el nivel de presión sonora de la banda f, que contiene el tono emergente y Ls es el promedio aritmético de los dos niveles de las bandas ubicadas inmediatamente por encima y por debajo de f, debidamente corregidos por ruido de fondo.
Se determinará el valor del parámetro de corrección Kt aplicando la tabla siguiente:
|
Banda de frecuencia |
Lt (dB) |
Kt (dB) |
|
De 20 a 125 Hz |
Lt < 8 |
0 |
|
8 ≤ Lt ≤ 12 |
3 |
|
|
Lt > 12 |
6 |
|
|
De 160 a 400 Hz |
Lt < 5 |
0 |
|
5 ≤ Lt ≤ 8 |
3 |
|
|
Lt > 8 |
6 |
|
|
De 500 a 10.000 Hz |
Lt < 3 |
0 |
|
3 ≤ Lt ≤ 5 |
3 |
|
|
Lt > 5 |
6 |
Tabla I.B.1
En el supuesto de la presencia de más de una componente tonal emergente se adoptará como valor del parámetro Kt, el mayor de los correspondientes a cada una de ellas.
c) Correcciones por componentes de baja frecuencia (Kf):
Se medirán, de forma simultánea, los niveles globales de presión sonora con las ponderaciones frecuenciales A y C, y se calculará la diferencia entre los valores obtenidos: Lf = LCeq,Ti – LAeq,Ti, debidamente corregidos por ruido de fondo.
Se determinará el valor del parámetro de corrección Kf conforme a lo indicado en el anexo IV del Real decreto 1367/2007, de 19 de octubre, por el que se desarrolla la Ley 37/2003, de 17 de noviembre, del ruido, o norma que lo sustituya o modifique.
d) Correcciones por componentes impulsivos (Ki):
Se medirán, de forma simultánea, los niveles de presión sonora continuo equivalente, en una determinada fase de ruido de duración Ti segundos, en la cual se perciba el ruido impulsivo, LAeq,Ti, y con la constante temporal impulso (I) del equipo de medida, LAIeq,Ti, y se calculará la diferencia entre los valores obtenidos Li = LAIeq,Ti – LAeq,Ti, debidamente corregidos por ruido de fondo.
Se determinará el valor del parámetro de corrección Ki conforme a lo indicado en el anexo IV del Real decreto 1367/2007, de 19 de octubre, por el que se desarrolla la Ley 37/2003, de 17 de noviembre, del ruido, o norma que lo sustituya o modifique.
El valor máximo de la corrección resultante de la suma Kt + Kf + Ki no será superior a 9 dB.
Según lo indicado el valor final del emisor será: LKeq,Ti = LAeq,Ti + Kt + Kf + Ki (8)
4.4. Condiciones de medición:
En la realización de las mediciones para la evaluación de los niveles sonoros, se deberán guardar las siguientes precauciones:
a) Las condiciones de humedad y temperatura deberán ser compatibles con las especificaciones del fabricante del equipo de medida.
b) En la evaluación del ruido transmitido por el emisor acústico no son válidas las mediciones realizadas en el exterior con lluvia, y para las mediciones en el interior se tendrá en cuenta la influencia de la misma a la hora de determinar su validez en función de la diferencia entre los niveles del emisor a medir y el ruido de fondo, incluido en este el generado por la lluvia.
c) Es preceptivo que antes y después de cada medición se realice una verificación acústica de la cadena de medición mediante calibrador sonoro, que garantice un margen de desviación no superior a 0,3 dB respecto del valor de referencia inicial.
d) Las mediciones en medio ambiente exterior se realizarán usando equipos de medida con pantalla antiviento. Asimismo, cuando en el punto de evaluación la velocidad del viento sea superior a 5 metros por segundo se desistirá de la medición.
5. Métodos y procedimientos de medición de vibraciones.
La evaluación del índice de vibración Law, se realizará con instrumentos que dispongan de ponderación frecuencial wm, y detector de promedio exponencial de constante de tiempo de 1s. Se obtendrá el valor eficaz máximo aw.
Los procedimientos de medición in situ utilizados para la evaluación del índice de vibración que establece esta ordenanza se adecuarán a las prescripciones siguientes:
a) Se identificarán los posibles focos de vibración, las direcciones dominantes y sus características temporales. Las mediciones se realizarán sobre el suelo, en el lugar y momento de mayor molestia; se medirá en tres direcciones ortogonales simultáneamente, obteniendo el valor eficaz aw,i(t) en cada una de ellas y el índice de evaluación como suma de cuadrados, en el tiempo t, aplicando la expresión:

En la medición de vibraciones, de tipo estacionario o transitorio, generadas por actividades o comportamientos, para las de tipo estacionario se deberá realizar la medición, por lo menos durante un minuto, en el período de tiempo en el que se establezca el régimen de funcionamiento más desfavorable; y si éste no es identificable, se medirá por lo menos un minuto para los distintos regímenes; del mismo modo se procederá para cada evento de funcionamiento para las vibraciones de tipo transitorio.
En la medición de vibraciones generadas por las infraestructuras, para las de tipo estacionario se deberá realizar la medición, por lo menos durante cinco minutos, en el período de tiempo de mayor intensidad de circulación; y en el caso de desconocerse datos del tráfico de la vía se realizarán mediciones del valor eficaz aw durante un día completo; del mismo modo se procederá para cada evento de funcionamiento para las vibraciones de tipo transitorio. A estos efectos, las vibraciones causadas por el tráfico rodado se considerarán estacionarias y la medición destacará el tráfico de vehículos pesados.
b) De tratarse de episodios reiterativos, se realizará la medición por lo menos tres veces, dándose como resultado el valor más alto de los obtenidos; si se repite la medición con seis o más eventos, se permite caracterizar la vibración por el valor medio más una desviación típica.
c) En la medición de la vibración producida por un emisor acústico, a efectos de comprobar el cumplimiento de lo estipulado en esta ordenanza, se procederá a la corrección de la medida por la vibración de fondo (vibración con el emisor parado), con los mismos criterios de corrección que los establecidos para ruido en el punto 4.3.a) del anexo I.B.
d) Es preceptivo que antes y después de cada medición se haga una verificación de la cadena de medición con un calibrador de vibraciones que garantice su buen funcionamiento. A efectos de inspección de actividades, para la verificación in situ de los instrumentos de medida son válidos los calibradores de vibraciones cuyo punto de calibración se sitúe a 159,2 Hz o inferior.
6. Métodos y procedimientos de medición de las condiciones acústicas de los locales.
Este apartado, a todos los efectos, será de referencia tanto para exigencias como para métodos de medición recomendados en la normativa de edificaciones, conforme a lo establecido en la legislación sectorial vigente, indicada en el artículo 17.
Las mediciones, tanto para aislamiento como para reverberación, serán primordialmente en bandas de tercio de octava y en el rango de frecuencias comprendido entre 100 y 5.000 Hz, salvo que en la normativa sectorial indicada se exijan otras especificaciones.
En todos los muestreos se evaluará el ruido de fondo.
Se indican las siguientes particularidades para el cumplimiento de la ordenanza:
– En la medición del aislamiento acústico a ruido aéreo, en el caso de inspección de actividades, las mediciones se realizarán respecto a los recintos más afectados por la actividad. Para la determinación del parámetro de aislamiento a bajas frecuencias, DnT 125Hz, se empleará la siguiente fórmula:

– En la medición del aislamiento acústico a ruido aéreo de fachadas, en los casos en los que la actividad se desarrolle dentro de una parcela y se determine la afección de la actividad al exterior, para la valoración del aislamiento de la fachada, los resultados obtenidos pueden corregirse por la distancia de las fachadas a las lindes de la siguiente forma:

Donde d es la distancia mínima de la fachada considerada a las lindes de la parcela disminuida en 2 metros.
– En la medición del aislamiento acústico a ruido de impactos, los niveles de ruido de impacto, de las actividades de pública concurrencia contemplados en esta ordenanza, se determinarán conforme a los niveles conseguidos en los recintos receptores más afectados.
– En la medición del tiempo de reverberación de recintos, los valores del tiempo de reverberación establecidos como límite se entenderán como el promedio de los valores en cada banda o, al menos, el promedio de 500, 1.000 y 2.000 Hz. Se especificarán redondeados a la primera cifra decimal.
7. Características de los limitadores/registradores acústicos.
Se exigirá a las actividades un certificado de limitación de los equipos, expedido por una entidad de evaluación acústica con un informe donde constará el equipo y el limitador/registrador; siendo obligatorio notificar al Ayuntamiento los cambios que se produzcan, y ajustar el limitador.
Entre las características de dichos equipos estarán las siguientes:
– Las limitaciones serán, como mínimo, en frecuencias de bandas de octava, para toda la cadena de sonido.
– Serán registradores y precintables, de manera que no exista posibilidad de manipulación o de que no memorice una posible manipulación.
– El almacenamiento de la información de los registradores se dará durante doce meses para posteriores inspecciones.
– Dispondrán de un sistema que permita trasladar la información a otros equipos electrónicos para su análisis.
Para realizar la calibración del limitador se colocará el micrófono a 2 m de los altavoces, en la dirección de máximo nivel de presión sonora, realizando el precintado del limitador al nivel de presión sonora correspondiente, en función del tipo de actividad y la curva de aislamiento acústico medido in situ. El elemento sensor del sonógrafo (micrófono) deberá ir instalado en un lugar visible a una distancia máxima de 2 m de alguno de los altavoces existentes, en la zona que caracterice en mayor medida el nivel sonoro existente en todo el local, fuera del alcance natural o protegido contra posibles acciones indebidas (como pueden ser, entre otras, golpes o sustracción).
ANEXO II
Objetivos de calidad y valores límite de inmisión
A. Objetivos de calidad.
Objetivos de calidad acústica aplicables a áreas urbanizadas existentes.
|
Tipo de área acústica |
Índices de ruido |
|||
|
Ld |
Le |
Ln |
||
|
a |
Residencial |
65 |
65 |
55 |
|
b |
Industrial |
75 |
75 |
65 |
|
c |
Recreativa y de espectáculos |
73 |
73 |
63 |
|
d |
De uso terciario distinto del contemplado en c) |
70 |
70 |
65 |
|
e |
Sanitario, docente y cultural |
60 |
60 |
50 |
|
f |
Con sistemas generales de infraestructuras de transporte u otros equipamientos públicos que los reclamen (1) |
(2) |
(2) |
(2) |
|
g |
Espacios naturales |
(3) |
(3) |
(3) |
Tabla II.A.1
(1) En estos sectores del territorio se adoptarán las medidas adecuadas de prevención de la contaminación acústica, en particular mediante la aplicación de las tecnologías de menor incidencia acústica de entre las mejores técnicas disponibles, de acuerdo con el apartado a) del artículo 18.2 de la Ley 37/2003, de 17 de noviembre.
(2) En el límite de estos sectores del territorio no se superarán los objetivos de calidad acústica para ruido aplicables al resto de áreas acústicas colindantes con ellos.
(3) Los objetivos de calidad acústica para ruido aplicables a los espacios naturales se establecerán para cada caso particular, atendiendo a aquellas necesidades específicas de los mismos.
Nota: los objetivos de calidad aplicables a las áreas acústicas están referidos a una altura de 4 m.
Las áreas urbanizadas posteriores a la entrada en vigor del Real decreto 1367/2007, de 19 de octubre, tienen como objetivo de calidad los valores que se muestran en la tabla II.A.1 del sector del territorio correspondiente, disminuido en 5 dB.
Las zonas tranquilas en campo abierto tendrán como objetivo de calidad acústica los niveles sonoros del área en cuestión en la que se encuentren disminuido en 5 dB, y permanecerán sujetos a planes zonales específicos encaminados a impedir el incremento de los niveles sonoros ambientales existentes en ellas.
Las zonas de protección acústica especial y las zonas de situación acústica especial tendrán por objetivos de calidad el cumplimiento de los valores de las áreas correspondientes, en el menor plazo de tiempo posible y con las medidas correctoras que se estimen según lo marcado por la Ley 37/2003, de 17 de noviembre.
En los sectores del territorio gravados por servidumbres acústicas los valores de inmisión de ruido podrán superar los objetivos de calidad acústica aplicables a las correspondientes áreas acústicas.
Objetivos de calidad acústica para ruido aplicables a espacio interior (4).
|
Uso del edificio |
Tipo de recinto |
Índices de ruido |
||
|
Ld |
Le |
Ln |
||
|
Vivienda o residencial |
Estancias |
45 |
45 |
35 |
|
Dormitorios |
40 |
40 |
30 |
|
|
Hospitalario |
Estancias |
45 |
45 |
35 |
|
Dormitorios |
40 |
40 |
30 |
|
|
Educativo o cultural |
Aulas |
40 |
40 |
40 |
|
Salas de lectura |
35 |
35 |
35 |
|
Tabla II.A.2
(4) Los valores mostrados se refieren al conjunto de emisores acústicos que inciden en el interior del recinto, tanto por transmisión de ruido ambiental exterior como por instalaciones, actividades o comportamientos, en el propio edificio o en colindantes.
Nota: los objetivos de calidad aplicables en espacio interior están referidos a una altura de entre 1,2 y 1,5 m.
Objetivos de calidad acústica para vibraciones aplicables a espacio interior (5).
|
Uso del edificio |
Índice de vibración Law |
|
Vivienda o uso residencial |
75 |
|
Hospitalario |
72 |
|
Educativo o cultural |
72 |
|
Hospedaje |
78 |
|
Oficinas |
78 |
|
Actividades |
84 |
Tabla II.A.3
(5) Los valores mostrados se refieren al conjunto de emisores acústicos que inciden en el interior del recinto, tanto por transmisión de ruido ambiental como por instalaciones, actividades o comportamientos, en el propio edificio o en colindantes.
B. Valores límite.
Valores límite de inmisión de ruido aplicables a nuevas infraestructuras.
|
Tipo de área acústica |
Índices de ruido |
|||
|
Ld |
Le |
Ln |
||
|
a |
Residencial |
60 |
60 |
50 |
|
b |
Industrial |
70 |
70 |
60 |
|
c |
Recreativa y de espectáculos |
68 |
68 |
58 |
|
d |
De uso terciario distinto del contemplado en c) |
65 |
65 |
55 |
|
e |
Sanitario, docente y cultural |
55 |
55 |
45 |
Tabla II.B.1
Valores límite de inmisión máximos de ruido aplicables a infraestructuras.
|
Tipo de área acústica |
Índice de ruido LAmax |
|
|
a |
Residencial |
85 |
|
b |
Industrial |
90 |
|
c |
Recreativa y de espectáculos |
90 |
|
d |
De uso terciario distinto del contemplado en c) |
88 |
|
e |
Sanitario, docente y cultural |
80 |
Tabla II.B.2
Valores límite de inmisión de ruido en exterior, aplicables a actividades, instalaciones o comportamientos.
|
Tipo de área acústica |
Índices de ruido |
|||
|
LK,d |
LK,e |
LK,n |
||
|
a |
Residencial |
55 |
55 |
45 |
|
b |
Industrial |
65 |
65 |
55 |
|
c |
Recreativa y de espectáculos |
63 |
63 |
53 |
|
d |
De uso terciario distinto del contemplado en c) |
60 |
60 |
50 |
|
e |
Sanitario, docente y cultural |
50 |
50 |
40 |
Tabla II.B.3
Valores límite de inmisión de ruido en interior, transmitido por actividades, instalaciones o comportamientos, a locales colindantes.
|
Uso del local colindante |
Tipo de recinto |
Índices de ruido |
||
|
LK,d |
LK,e |
LK,n |
||
|
Residencial |
Estancias |
40 |
40 |
30 |
|
Dormitorios |
35 |
35 |
25 |
|
|
Administrativo y de oficinas |
Despachos profesionales |
35 |
35 |
35 |
|
Oficinas |
40 |
40 |
40 |
|
|
Sanitario |
Zonas de estancia |
40 |
40 |
30 |
|
Dormitorios |
35 |
35 |
25 |
|
|
Educativo o cultural |
Aulas |
35 |
35 |
35 |
|
Salas de lectura |
30 |
30 |
30 |
|
|
Comercial |
50 |
50 |
50 |
|
|
Actividades |
55 |
55 |
50 |
|
Tabla II.B.4
ANEXO III
Clasificación de actividades a desarrollar en edificaciones y valores
de aislamiento para el desarrollo de actividades
A. Clasificación de actividades a desarrollar en edificaciones.
Para la consideración de los valores de aislamiento que se indican en el apartado B de este anexo, las actividades que se llevan a cabo se clasifican, en función de su grado de molestia, en los siguientes grupos, atendiendo a sus características de funcionamiento:
|
Grupo |
Características de funcionamiento |
|
|
Horario |
Nivel sonoro, L (dB) |
|
|
0 |
Cualquiera |
≤ 75 |
|
1 |
De 7.01 a 23.00 horas |
Entre 76 y 80 |
|
2 |
Entre 81 y 90 |
|
|
3 |
> 90 |
|
|
4 |
De 23.01 a 7.00 horas, parcial o totalmente |
Entre 76 y 80 |
|
5 |
Entre 81 y 90 |
|
|
6 |
> 90 |
|
Tabla III.A.1
El nivel sonoro L indicado en la tabla III.A.1 corresponderá con el nivel LAeq, calculado según las directrices marcadas en esta ordenanza, en el caso más desfavorable, durante el desarrollo de su actividad.
B. Valores de aislamiento acústico para el desarrollo de actividades.
El aislamiento acústico de edificaciones y actividades cumplirá con lo establecido en la legislación vigente, según se indica en los artículos 17, 19 y disposición transitoria única de la ordenanza, tanto en lo referente a obtención de licencias de ocupación como a realización de actividades; conforme a lo exigido por el Decreto 106/2015, de 9 de julio, en sus artículos 10, 11 y disposición transitoria segunda.
Actividades.
Los valores indicados en la tabla III.B.1 son de aplicación a las actividades indicadas en la disposición transitoria única, conforme a los grupos de la tabla III.A.1; rigiéndose el resto de actividades por los valores aplicables en el momento de apertura o concesión de autorización.
|
Grupo |
Aislamiento a ruido aéreo respecto a viviendas colindantes (dB) |
Aislamiento a ruido aéreo de fachada (dB) |
Aislamiento a ruido de impactos (dB) |
|
|
DnT 100–5.000 Hz |
DnT 125 Hz |
D2m,nT 100–5.000 Hz |
L’nT 100–5.000 Hz |
|
|
0 |
≥ 55 |
≥ 40 |
≥ 35 |
≤ 60 |
|
1 |
≥ 55 |
≥ 45 |
≥ 35 |
≤ 50 |
|
2 |
≥ 60 |
≥ 50 |
≥ 40 |
≤ 45 |
|
3 |
≥ 65 |
≥ 55 |
≥ 45 |
≤ 40 |
|
4 |
≥ 60 |
≥ 45 |
≥ 40 |
≤ 40 |
|
5 |
≥ 70 |
≥ 55 |
≥ 50 |
≤ 35 |
|
6 |
≥ 75 |
≥ 60 |
≥ 55 |
≤ 35 |
Tabla III.B.1
Para aquellas actividades que se desarrollen en áreas acústicas clasificadas como tipo sanitario, docente y cultural que requieran de especial protección contra la contaminación acústica según la legislación vigente, se aplicará un incremento de 5 dB sobre los valores de «aislamiento a ruido aéreo respecto a viviendas colindantes» y «aislamiento a ruido aéreo de fachada», así como una disminución de 5 dB sobre los valores indicados para «aislamiento a ruido de impactos» en la tabla III.B.1.
Los niveles de aislamiento indicados en la tabla III.B.1 serán en ponderación A (o como W+C) y con filtro de tercios de octava, con la excepción del valor DnT 125Hz, que se indicará sin ponderación y según la fórmula (10) del anexo I, y con la excepción del valor L’nT que se indicará sin ponderación con factor de corrección.
Sin perjuicio de lo indicado en la normativa específica de edificaciones: Real decreto 1371/2007, de 19 de octubre, por el que se aprueba el documento básico «DB-HR Protección frente al ruido» del Código técnico de la edificación y se modifica el Real decreto 314/2006, de 17 de marzo, por el que se aprueba el Código técnico de la edificación, o en la norma que lo modifique o sustituya, los valores del tiempo de reverberación establecidos como límite no serán en ningún caso superiores a 0,9 segundos para recintos y zonas comunes inferiores a 350 m3.
Las actividades englobadas en los grupos 3 a 6 (ambos incluidos) en ningún caso tendrán las ventanas y puertas abiertas salvo para el tránsito de personas.
Las viviendas con niveles sonoros interiores superiores a 70 dB serán consideradas como actividades a los efectos de la ordenanza y en ningún caso podrán superar los 80 dB.
Todos los aparatos elevadores, instalaciones de ventilación, pasos de tuberías, conductos de calefacción, agua, gas y similares estarán correctamente sellados y aislados acústicamente para evitar la transmisión de ruido aéreo y/o vibraciones, conforme a la normativa aplicable.
Los valores indicados en este anexo se entienden sin perjuicio del cumplimiento de los valores límite de inmisión de la ordenanza, tanto en interior como exterior; por lo que los valores mostrados se utilizarán por defecto, siendo los necesarios para aislamiento, en todo caso, aquellos que garanticen el cumplimiento de los mencionados valores límite.
ANEXO IV
Estudios acústicos
El contenido de todo estudio acústico, conforme a lo indicado en el artículo 4.2, especialmente en las figuras indicadas en los artículos 9, 15, 18 y 19, será el siguiente:
Para los ayuntamientos, en la aplicación de sus competencias:
a) Plazo de actuación en el que estará vigente el estudio.
b) Descripción de las características de la zona o actividad evaluada: tipo de zona acústica, tipo de actividad y titular de la misma; en todo caso relacionando el grado del impacto acústico en función del horario.
c) Recintos afectados en la zona o colindantes con la actividad en evaluación, identificando los puntos más desfavorables y los valores límite de inmisión.
d) Mapa de ruido de la zona o entorno de la actividad antes y después de la realización de cualquier cambio: plano 1/5000 (o de mayor precisión), identificando los principales focos emisores e indicando los valores previsibles de los índices acústicos, las personas y viviendas afectadas, así como el plan de acción y medidas correctoras correspondientes.
Para las solicitudes de actividades e industrias:
a) Justificación motivada de la solicitud, indicando la aplicación de mejores técnicas disponibles y su eficacia en el cumplimiento de los valores establecidos en esta ordenanza.
b) Plazo de actuación para el que se solicita vigencia del estudio.
c) Descripción de las características de la zona o actividad evaluada: tipo de zona acústica, tipo de actividad y titular de la misma; en todo caso relacionando el grado del impacto acústico en función del horario.
d) Descripción de las características técnicas y el aislamiento acústico antes y después de la realización de cualquier cambio, y justificación técnica de cumplimiento de los valores mínimos establecidos, que garanticen la no superación de los valores límite de inmisión.
e) Recintos afectados en la zona o colindantes con la actividad en evaluación, identificando los puntos más desfavorables y los valores límite de inmisión.
f) En casos recurrentes o que supongan algún tipo de afección en los objetivos de calidad acústica, el Ayuntamiento podrá solicitar a los titulares un mapa de ruido de la zona o entorno de la actividad antes y después de la realización de cualquier cambio: plano 1/5000 (o de mayor precisión), identificando los principales focos emisores e indicando los valores previsibles de los índices acústicos, las personas y viviendas afectadas; así como el plan de acción y medidas correctoras correspondientes.


