El artículo 149.1.23 de la Constitución española atribuye la competencia exclusiva del Estado para aprobar la legislación básica sobre protección del medio ambiente, sin perjuicio de las facultades de las comunidades autónomas para establecer normas adicionales de protección. Asimismo, su artículo 148.1.9ª dispone que las comunidades autónomas podrán asumir competencias en la gestión en materia de protección del medio ambiente.
De conformidad con lo dispuesto en la Constitución, el Estatuto de autonomía de Galicia, en su artículo 27.30, atribuye a nuestra comunidad autónoma la competencia para aprobar normas adicionales para la protección del medio ambiente y del paisaje.
La actual legislación estatal en materia de protección del medio ambiente que establece el marco jurídico básico de su conservación, uso sostenible, mejora y restauración es la Ley 42/2007, de 13 de diciembre, del patrimonio natural y de la biodiversidad. Su artículo 34 define los monumentos naturales como los espacios o elementos de la naturaleza constituidos básicamente por formaciones de notoria singularidad, rareza o belleza, que merecen ser objeto de una protección especial.
Mediante el Decreto 76/2000, de 25 de febrero, se declaró monumento natural la Fraga de Catasós.
En el momento del inicio de los trámites para la aprobación del Plan de conservación, en la Comunidad Autónoma de Galicia estaba en vigor la Ley 9/2001, de 21 de agosto, de conservación de la naturaleza, que tiene entre sus objetivos la protección, restauración y mejora de los recursos naturales y la adecuada gestión de los espacios naturales y de la flora y fauna silvestres. En esta ley también se recoge la figura de monumento natural entre las categorías de espacios protegidos.
Esta ley fue derogada por la Ley 5/2019, de 2 de agosto, del patrimonio natural y de la biodiversidad de Galicia, que mantiene, entre los principios enumerados en su artículo 2, la conservación y restauración de la biodiversidad y de la geodiversidad mediante la conservación de los hábitats naturales y de la fauna y flora silvestres. Esta ley mantiene, en su artículo 22, a los monumentos naturales como una categoría de espacio natural protegido, pero en su disposición transitoria séptima, punto 2, recoge que los procedimientos administrativos en tramitación a su entrada en vigor seguirán tramitándose por la normativa vigente al iniciar la tramitación. Por tal motivo, el plan de conservación de este monumento natural se tramita al amparo de la Ley 9/2001, de 21 de agosto, respetando la terminología de dicho instrumento de planificación, teniendo en cuenta que su tramitación se inició dando publicidad al documento de inicio del Plan de conservación que fue sometido a participación pública mediante el Anuncio de 20 de noviembre de 2017 de la Dirección General de Patrimonio Natural.
El contenido de los planes de conservación se recoge en el artículo 38 de la Ley 9/2001, de 21 de agosto.
En cuanto al procedimiento de elaboración del decreto, el documento de inicio del Plan de conservación fue sometido a participación pública mediante el Anuncio de 20 de noviembre de 2017 de la Dirección General de Patrimonio Natural. Con este anuncio se da cumplimiento a lo establecido en el artículo 16 de la Ley 27/2006, de 18 de julio, por la que se regulan los derechos de acceso a la información, de participación pública y de acceso a la justicia en materia de medio ambiente.
Posteriormente, en observancia del artículo 40 de la Ley 9/2001, de 21 de agosto, y de los artículos 41.2 y 42.3 de la Ley 16/2010, de 17 de diciembre, de organización y funcionamiento de la Administración general y del sector público autonómico de Galicia, el proyecto normativo estuvo expuesto públicamente entre el 13.9.2021 y el 1.10.2021 en el Portal de transparencia y gobierno abierto de la Xunta de Galicia, en el que se indicaban su objeto, estado de tramitación y la posibilidad de remitir sugerencias a través del formulario disponible a tal efecto en el propio portal. A través de este portal fueron recibidas 28 sugerencias.
Asimismo, y de conformidad con el artículo 42.3 de la Ley 16/2010, de 17 de diciembre, se remite para audiencia a las entidades interesadas y a distintos organismos dependientes de la Xunta de Galicia, así como a la Diputación Provincial de Pontevedra y al Ayuntamiento de Lalín. En total fueron enviadas 30 solicitudes de audiencia, de las que únicamente presentaron sugerencias 7 entidades.
Se analizaron todas las sugerencias presentadas y se incorporaron al proyecto de decreto todas aquellas que se consideraron adecuadas en relación con la legislación estatal básica y autonómica en materia de conservación del patrimonio natural.
A continuación, se sometió al Pleno del Consejo Gallego de Medio Ambiente y Desarrollo Sostenible el día 31 de mayo de 2022.
Por lo expuesto, y en uso de las atribuciones conferidas por la Ley 1/1983, de 22 de febrero, reguladora de la Xunta de Galicia y su Presidencia, a propuesta de la conselleira de Medio Ambiente, Territorio y Vivienda, y previa deliberación del Consello de la Xunta, en su reunión de dos de junio de dos mil veintidós,
DISPONGO:
Artículo 1. Aprobación
1. Se aprueba el Plan de conservación del monumento natural Fraga de Catasós.
2. En el anexo I de este decreto se recoge dicho plan de conservación, en el que se establecen la delimitación de su ámbito de protección, la identificación de los valores clave de conservación y las posibles presiones y amenazas, las normas de uso y aprovechamiento del suelo y de los recursos naturales, así como las normas relativas al uso público, entre otros contenidos.
3. La consellería con competencias en materia de conservación del patrimonio natural deberá garantizar el acceso permanente en su página web a la información contenida en el Plan de conservación, incluida la cartografía, y mantener actualizada dicha información cuando se produzcan modificaciones o revisiones.
Artículo 2. Régimen de infracciones y sanciones
El régimen sancionador aplicable será el establecido en el título VI, De las infracciones y sanciones, de la Ley 42/2007, de 13 de diciembre, del patrimonio natural y de la biodiversidad, y, con carácter complementario, en el título III, De las infracciones y sanciones, de la Ley 5/2019, de 2 de agosto, del patrimonio natural y de la biodiversidad de Galicia.
Disposición final primera. Habilitación normativa
Se habilita a la persona titular de la consellería con competencias en materia de conservación del patrimonio natural para aprobar mediante orden, en el ámbito de sus competencias, las disposiciones precisas para el desarrollo de este decreto.
Dichas órdenes respetarán lo establecido en el título III de la Ley 27/2006, de 18 de julio, por la que se regulan los derechos de acceso a la información, de participación pública y de acceso a la justicia en materia de medio ambiente.
Disposición final segunda. Vigencia
Este plan de conservación tendrá una vigencia indefinida, sin perjuicio de la posible actualización conforme al estado de la ciencia y de la técnica, y sin perjuicio de la aplicación de las medidas de seguimiento que correspondan.
Disposición final tercera. Entrada en vigor
Este decreto entrará en vigor a los veinte días naturales de su publicación en el Diario Oficial de Galicia.
Santiago de Compostela, dos de junio de dos mil veintidós
Alfonso Rueda Valenzuela
Presidente
Ángeles Vázquez Mejuto
Conselleira de Medio Ambiente, Territorio y Vivienda
ANEXO I
Plan de conservación del monumento natural Fraga de Catasós
Índice:
I. Introducción.
1. Marco legal.
2. Ámbito territorial de aplicación del plan.
3. Efectos, vigencia y revisión del plan.
II. Diagnóstico.
1. Situación catastral.
2. Medio físico y abiótico.
3. Medio biótico.
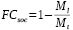
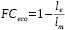
4. Medio socioeconómico.
5. Identificación de presiones y amenazas.
Título l. Elementos clave de conservación, líneas estratégicas y objetivos del plan.
Título II. Zonificación del monumento natural.
Título III. Directrices y normas.
Capítulo I. Normativa general.
Capítulo II. Normativa por componentes.
Título IV. Programa de actuaciones.
Título V. Seguimiento y evaluación del plan.
I. Introducción.
La Fraga de Catasós, también conocida como Carballeira de Quiroga, se localiza en la parroquia de Catasós, en el ayuntamiento de Lalín. Este bosque fue declarado monumento natural en el año 2000 y constituye uno de los ocho espacios con esta categoría de protección existentes en Galicia.
Cuenta con una superficie total de 45.185 m² y alberga un importante bosque mixto con excepcionales ejemplares de robles (Quercus robur L.) y castaños (Castanea sativa Mill.), algunos de los cuales alcanzan los 30 metros de altura y los 5 metros de diámetro. Los castaños son considerados por la FAO (Organización de las Naciones Unidas para la Agricultura y la Alimentación) como los ejemplares con el mejor porte forestal de Europa.
Además, este monumento natural está incluido como formación singular «Fraga de Catasós» en el Catálogo gallego de árboles singulares.
1. Marco legal.
A nivel estatal, la Ley 42/2007, de 13 de diciembre, del patrimonio natural y de la biodiversidad, establece la obligación de las administraciones públicas de adoptar las medidas necesarias para garantizar la conservación, uso sostenible, mejora y restauración del patrimonio natural y de la biodiversidad.
Esta ley, en su artículo 30, clasifica los espacios naturales protegidos en función de los bienes y valores a proteger, así como de los objetivos de gestión a cumplir en cinco categorías, entre las que se encuentra la de monumento natural. Según esta ley, los monumentos naturales son «espacios o elementos de la naturaleza constituidos por formaciones de notoria singularidad, rareza o belleza, que merecen ser objeto de una protección especial». Se incluyen en esta categoría «los árboles singulares y monumentales, las formaciones geológicas, los yacimientos paleontológicos y mineralógicos, los estratotipos y demás elementos de la gea que reúnan un interés especial por la singularidad o importancia de sus valores científicos, culturales o paisajísticos».
Al amparo del artículo 37 de esta ley, corresponde a las comunidades autónomas la declaración y la determinación de la fórmula de gestión de los espacios naturales protegidos en su ámbito territorial.
A nivel autonómico, es la Ley 5/2019, de 2 de agosto, la que tiene por objeto establecer normas encaminadas a la protección, conservación, restauración y mejora de los recursos naturales y a la adecuada gestión de los espacios naturales y de la flora y fauna silvestres. Esta ley, en su artículo 22, establece ocho categorías de espacios naturales protegidos, entre las que se encuentra la de monumento natural, de manera análoga a como establece el artículo 13 de la Ley 9/2001, de 21 de agosto. Esta Ley 5/2019, de 2 de agosto, deroga la Ley 9/2001, de 21 de agosto, si bien, conforme a la disposición transitoria séptima, apartado 2, los procedimientos administrativos en tramitación a su entrada en vigor seguirán tramitándose por la normativa vigente al iniciar su tramitación. Por tal motivo, teniendo en cuenta que este plan de conservación inició su tramitación el 20.11.2017, este plan se tramita al amparo de la Ley 9/2001, de 21 de agosto, respetando la terminología de dicho instrumento de planificación.
La Xunta de Galicia aprobó el Decreto 76/2000, de 25 de febrero, por el que se declara monumento natural la Fraga de Catasós, en el ayuntamiento de Lalín (provincia de Pontevedra). Esta declaración implica «la protección por la Administración de los procesos ecológicos esenciales y de los sistemas vitales básicos existentes en la zona, mediante la regulación de la utilización ordenada de los recursos, que garanticen el aprovechamiento sostenible de las especies y de los ecosistemas y su restauración y mejora, para hacer efectiva la preservación de la variedad, singularidad y belleza de su ecosistema natural y paisaje».
Su contenido mínimo será, atendiendo a lo establecido en el artículo 38 de la Ley 9/2001, de 21 de agosto:
1) La delimitación de su ámbito de protección, que podrá ser discontinuo cuando resulte necesario.
2) La identificación de los valores a proteger y de los posibles riesgos que puedan afectar a sus valores naturales.
3) Las normas de uso y aprovechamiento del suelo y de los recursos naturales, destinadas a proteger y conservar o mejorar los valores ambientales.
4) Las normas relativas al uso público, así como a las actividades científicas o educativas.
Por otro lado, la Ley 42/2007, de 13 de diciembre, establece, en su artículo 16, que los recursos naturales y, en especial, los espacios naturales a proteger, serán objeto de planificación con la finalidad de adecuar su gestión a los principios inspiradores señalados en el artículo 2 de la ley.
En el artículo 17 se indica que los planes de ordenación de los recursos naturales (PORN, en adelante) son el instrumento específico para la delimitación, tipificación, integración en red y determinación de su relación con el resto del territorio, de los sistemas que integran el patrimonio y los recursos naturales de un determinado ámbito espacial, con independencia de otros instrumentos que pueda establecer la legislación autonómica. Según su artículo 20, el contenido mínimo de estos PORN debe ser:
– Delimitación del ámbito territorial objeto de ordenación y descripción e interpretación de sus características físicas, geológicas y biológicas.
– Inventario y definición del estado de conservación de los componentes del patrimonio natural y la biodiversidad, de los ecosistemas y los paisajes en el ámbito territorial de que se trate, formulando un diagnóstico y una previsión de su evolución futura.
– Determinación de los criterios para la conservación, protección, restauración y uso sostenible de los recursos naturales y, en particular, de los componentes de la biodiversidad y geodiversidad en el ámbito de aplicación del plan.
– Determinación de las limitaciones generales y específicas que, respecto de los usos y actividades, deban establecerse en función de la conservación de los componentes del patrimonio natural y de la biodiversidad.
– Aplicación, en su caso, de alguno de los regímenes de protección aplicable a los espacios naturales.
– Establecimiento de los criterios de referencia orientadores en el planteamiento y ejecución de las diversas políticas sectoriales que inciden en el ámbito territorial de aplicación del plan, para que sean compatibles con los objetivos de conservación del patrimonio natural y de la biodiversidad.
– Identificación de medidas para garantizar la conectividad ecológica en el ámbito territorial objeto de ordenación.
– Memoria económica acerca de los costes e instrumentos financieros previstos para su aplicación.
Además, esta ley atribuye, en su artículo 22, a las comunidades autónomas la elaboración y aprobación de los PORN en sus respectivos ámbitos de competencias. En su artículo 37.1 establece que les corresponde la declaración y la determinación de la fórmula de gestión de los espacios naturales protegidos en su ámbito territorial.
El monumento natural Fraga de Catasós fue incluido en el año 2007 como formación singular «Fraga de Catasós» en el Catálogo gallego de árboles singulares, aprobado por el Decreto 67/2007, de 22 de marzo, por el que se regula el Catálogo gallego de árboles singulares, y posteriormente modificado por el Decreto 10/2015, de 22 de enero. En este catálogo se incluyen aquellos ejemplares o formaciones de los que, por sus valores o intereses naturales, culturales, científicos, educativos, estéticos o paisajísticos, sea necesario asegurar su conservación y en los cuales se podrán llevar a cabo, previa autorización, todo tipo de tratamientos silvícolas y actuaciones encaminadas a su protección, conservación y mejora.
Además, existe otra normativa sectorial que es de aplicación en el ámbito del monumento natural:
– Ley 7/2008, de 7 de julio, de protección del paisaje de Galicia (DOG núm. 139, de 18 de julio).
Esta ley tiene como objeto el reconocimiento jurídico, la protección y gestión del paisaje de Galicia, a fin de preservar todos los elementos que lo configuran. En su artículo 8 establece que los instrumentos para asegurar una idónea protección, gestión y ordenación de los paisajes de Galicia son:
• Catálogos de los paisajes de Galicia.
• Directrices de paisaje.
• Estudios de impacto e integración paisajística.
• Planes de acción del paisaje.
Los catálogos de los paisajes son los documentos de referencia en las distintas áreas geográficas, morfológicas, urbanas y de litoral que podrán identificar determinadas zonas como áreas de interés paisajístico, en atención a sus valores naturales y culturales. El Catálogo del paisaje fue aprobado mediante el Decreto 119/2016 y en él figura el Área de especial interés paisajístico AEIP_07_30.
Las Directrices de paisaje son determinaciones basadas en los catálogos del paisaje que permiten alcanzar unos objetivos de calidad paisajística. Estas directrices fueron aprobadas mediante el Decreto 238/2020, de 29 de diciembre, y en ellas, además de los objetivos de calidad paisajística, se establecen medidas y acciones para alcanzar dichos objetivos y normas y recomendaciones para planes urbanísticos y sectoriales. Con base en ello, la DX.13 establece normas relativas a la planificación y gestión de espacios naturales.
Los estudios de impacto e integración paisajística son análisis de las afecciones sobre el paisaje que se incorporan en los procedimientos de evaluación de impacto ambiental.
Por último, los planes de acción del paisaje se elaboran para la protección, la gestión y la ordenación del paisaje en territorios declarados como espacios naturales protegidos según lo dispuesto en la normativa gallega vigente en materia de patrimonio natural, así como en las áreas de especial interés paisajístico identificadas en los catálogos de los paisajes. Estos planes de acción se ajustarán a las determinaciones contenidas en las Directrices de paisaje.
– Ley 3/2007, de 9 de abril, de prevención y defensa contra los incendios forestales de Galicia (DOG núm. 74, de 17 de abril).
Según su artículo 15, las orientaciones previstas en la planificación, establecidas en el Plan de prevención y defensa contra los incendios forestales de Galicia deben aparecer de forma más concreta en los planes de prevención y defensa contra los incendios forestales a escala de distrito. En el caso del espacio que nos ocupa, este plan corresponde al del Distrito XVI: Deza-Tabeirós y en él aparecen la clasificación y la organización de las acciones y objetivos.
El artículo 31 de la ley establece una serie de limitaciones de acceso, circulación y permanencia por razones de riesgo de incendios (con sus excepciones), para las épocas de alto peligro de incendios. La Fraga de Catasós, al tratarse de un área bajo gestión de la Xunta de Galicia, tendrá condicionados el acceso, la circulación y la permanencia de personas y bienes en caso de que el índice de riesgo diario de incendio forestal sea moderado, alto, muy alto o extremo. Además, al tratarse de un espacio protegido, el acceso queda también condicionado a lo señalado por la consellería competente en materia de conservación del patrimonio natural.
El artículo 33 de la Ley 3/2007 prohíbe de forma genérica el uso de fuego en terrenos agrícolas, forestales o zonas de influencia forestal, excepto para las actividades y en condiciones, períodos o zonas autorizadas por el organismo competente. Recalca, además, que en la época de alto peligro, la utilización de fuegos de artificio, el lanzamiento de globos y otros artefactos pirotécnicos, que en todos los casos estén relacionados con la celebración de fiestas locales o de arraigada tradición cultural, estarán sujetos a la autorización previa del respectivo ayuntamiento, que incluirá las medidas específicas y adecuadas de seguridad y prevención, siempre que el riesgo diario no sea extremo.
– Ley 7/2012, de 28 de junio, de montes de Galicia (DOG núm. 140, de 23 de julio).
La Fraga de Catasós, como monte público patrimonial, podría estar incluido en el Catálogo de montes de utilidad pública, puesto que se encuentra incluido en los supuestos especificados en los apartados i), j) y m) del artículo 27:
«i) Los que contribuyan, de forma especial, a la conservación de la diversidad biológica, a través del mantenimiento de los sistemas ecológicos, y a la protección de la flora y de la fauna y, en particular, los que constituyan o formen parte de la Red gallega de espacios protegidos.
j) Los que formen masas arbóreas de especial interés en la conservación del patrimonio genético forestal o constituyan masas de especial valor estratégico en la prevención de incendios forestales.
m) Los que muestren valores forestales especialmente significativos».
Según los artículos 84 y 85 de esta ley, la persona titular del monte es la propietaria de los recursos forestales que en él se producen, tanto madereros como no madereros, tiene derecho a su aprovechamiento. Así, los aprovechamientos de los recursos forestales (la madera, la biomasa forestal, los pastos, los aprovechamientos cinegéticos, las setas, los frutos, los corchos, las resinas, las plantas aromáticas y medicinales y los productos apícolas) y los servicios o las actividades característicos de los montes (actividades sociorrecreativas, sean turísticas, culturales o deportivas, el paisaje, la protección de los recursos hídricos y del suelo y la cultura forestal), siempre que aparezcan contemplados en un instrumento de ordenación o gestión aprobado por la Administración forestal, no necesitan de autorización para su ejecución, bastando una declaración responsable, con arreglo al artículo 81.3 de la ley.
– Ley 13/2013, de 23 de diciembre, de caza de Galicia (DOG núm. 4, de 8 de enero de 2014).
Esta ley regula la actividad de caza en Galicia. Según el artículo 7, se consideran terrenos cinegéticos aquellos en los que está permitido el ejercicio de la caza. Dentro de estos terrenos están aquellos terrenos cinegéticos sometidos a un régimen especial, en los que el ejercicio de la caza está limitado a quien ostente la titularidad cinegética. Por último, entre las tipologías en las que se clasifican este tipo de terrenos estarían los terrenos cinegéticamente ordenados (tecor, en adelante), que sería el caso del monumento natural Fraga de Catasós, incluido en el tecor de Lalín.
Según el artículo 13 de la ley, el/la titular del tecor tiene el derecho de caza de todas las especies cinegéticas que se encuentren en él.
La Ley 42/2007, de 13 de diciembre, establece, en su artículo 33, que en los monumentos naturales con carácter general estará prohibida la explotación de recursos, salvo en los casos en que se permita por razones de investigación o conservación, previa solicitud de la pertinente autorización administrativa. Con la Ley 33/2015, de 21 de septiembre, por la que se modifica la Ley 42/2007, de 13 de diciembre, este artículo 33 se transforma en el artículo 34.3 y añade que la explotación de recursos estará limitada en los monumentos naturales, salvo cuando esta sea plenamente coherente con la conservación de los valores que se pretende proteger, conforme a lo establecido en sus normas de declaración o gestión, o en aquellos casos en los que, por razones de investigación o conservación, o por tratarse de actividades económicas compatibles con un mínimo impacto y que contribuyan al bienestar socioeconómico o de la población, se permita dicha explotación, previa la pertinente autorización administrativa.
El artículo 16 explica el procedimiento para la modificación del ámbito territorial de un tecor:
1. Los procedimientos de ampliación y segregación de los terrenos cinegéticos serán tramitados y resueltos por la persona titular del órgano territorial de dirección competente en materia de conservación del patrimonio natural, oído el correspondiente comité de caza.
2. La ampliación del ámbito territorial de un tecor solo será efectiva a partir del inicio de la temporada hábil general de caza, posterior a la fecha de notificación de la resolución administrativa correspondiente.
3. Las modificaciones del ámbito territorial de un tecor que se produzcan con posterioridad a la aprobación de un nuevo Plan de ordenación cinegética (POC, en adelante) y que superen el 15 %, requerirán la aprobación de un nuevo POC.
Por otra parte, según el artículo 17 de la ley, los/las titulares de los terrenos que no cedieron el derecho cinegético de modo expreso a favor del/de la titular o titulares del tecor conservan su pleno derecho a prohibir la caza en dichos terrenos. Además, el ejercicio de la facultad de exclusión de un terreno para la práctica de la caza se entenderá expresado de modo manifiesto por la colocación de señales perfectamente visibles que prohíban la entrada, con carácter general o para la práctica de la caza en particular, colocadas en el perímetro o en los accesos practicables del respectivo terreno.
– Ley 2/2016, de 10 de febrero, del suelo de Galicia (DOG núm. 34, de 19 de febrero).
La Ley del suelo apuesta por la protección territorial y, en particular, por la defensa y respeto del suelo rústico, ya sea por la afección al dominio público o por la presencia de valores merecedores de especial salvaguarda, siempre teniendo en cuenta la dimensión del suelo rústico como suelo productivo y útil, que debe ser recogida y potenciada.
Según esta ley, el Ayuntamiento de Lalín es el que ejerce, en todo caso, con competencias propias todas las facultades en materia de planificación, gestión, ejecución y disciplina urbanística, protección del patrimonio histórico, promoción y gestión de la vivienda de protección pública, con criterios de sostenibilidad financiera y conservación y rehabilitación de la edificación, excepto que estén expresamente atribuidas a otras administraciones.
Conforme a la ley, la Fraga de Catasós estaría incluida en la categoría de suelo rústico de especial protección de espacios naturales (artículo 34 de la ley, apartado f), constituida por los terrenos sometidos a algún régimen de protección por aplicación de la legislación de conservación del patrimonio natural o la legislación reguladora de los espacios naturales, la flora y la fauna. El régimen de usos del suelo rústico de especial protección (artículo 36) está sujeto a la obtención de autorización o informe favorable del órgano que ostente la competencia sectorial correspondiente.
La ley prevé una relación de usos para el suelo rústico que, desde el punto de vista urbanístico, limita del mismo modo el uso del suelo rústico de especial protección, con independencia de su categoría, y el del suelo rústico de protección ordinaria. Esto es así ya que se entiende que todo el suelo rústico es merecedor de ser salvaguardado de usos que no sean consustanciales con su carácter o que puedan disponer de otra localización. En el suelo rústico de especial protección será preciso atender las mayores limitaciones que impongan las legislaciones sectoriales aplicables, ya que son estas las encargadas de tutelar los valores objeto de protección.
– Plan general de ordenación municipal (PGOM) del Ayuntamiento de Lalín, aprobado el 5 de febrero de 1999 (DOG núm. 33, de 18 de febrero).
Este PGOM incluye dentro de sus espacios naturales la denominada Carballeira de Quiroga, un extenso castañar situado en la parroquia de Catasós, en el margen este de la carretera N-525, entre los núcleos de Quintela y Cabreira.
Esta área está catalogada en el PGOM como área de especial interés paisajístico, incluida dentro del suelo rústico de protección específica de los valores naturales. Se trata de un área de mayor tamaño que el monumento natural, el cual está contenido dentro de sus límites. Para este espacio natural, el PGOM contempla como actuación específica la «protección del área de interés natural (Reserva de castaños de Quiroga), situada al este de Antuín, limitando su crecimiento hacia ese lado».
2. Ámbito territorial de aplicación del plan.
El ámbito territorial del presente plan de conservación se corresponde con la delimitación del monumento natural Fraga de Catasós, situada en el lugar de Quintela, parroquia de Catasós, ayuntamiento de Lalín, con una superficie total de 45.185 m².
Según el Decreto 76/2000, de 25 de febrero, los límites del monumento natural son los que se corresponden con las parcelas denominadas Cerre da Costa (24.829 m²), Tenza de Monte (1.219 m²), Zanca de Arriba (4.712 m²) y Val de Fernando (14.425 m²), representados gráficamente en el anexo I del citado decreto.

Figura 1. Límites del monumento natural Fraga de Catasós. Fuente: Decreto 76/2000, de 25 de febrero.
Geográficamente se localiza en la hoja núm. 154-23 del mapa 1:10.000 elaborado por la Xunta de Galicia. Las coordenadas, tomando como referencia el puente de la N-525 sobre el río Quintela, inmediato al predio, son: latitud 42º38’10’’ N, longitud 08º05’30’’W, altitud 560 metros.
3. Efectos, vigencia y revisión del plan.
El Plan de conservación, de acuerdo con lo establecido en el artículo 39 de la Ley 9/2001, de 21 de agosto, será vinculante tanto para las administraciones públicas como para los particulares, prevaleciendo sobre el planeamiento urbanístico, y su aprobación conllevará la revisión de los planes territoriales o sectoriales incompatibles con el mismo.
Desde el punto de vista de la gestión, reconocidas las relaciones existentes entre el interior de los espacios naturales y su entorno exterior, no se excluye la posibilidad de formular propuestas más allá de sus límites, siempre que sea necesario para la ordenación y gestión de usos y actividades, sobre todo del uso público o para la mejora de la conectividad. En cualquier caso, este ámbito solo será de aplicación para el desarrollo de programas, equipamientos, ofertas de servicios o actividades de gestión, pero nunca para la aplicación de la normativa.
Este plan de conservación y las directrices y normas que se derivan de él tendrán una vigencia indefinida, sin perjuicio de su posible actualización conforme al estado de la ciencia y de la técnica y el mejor conocimiento del espacio, y de la aplicación de las medidas de seguimiento que correspondan.
II. Diagnóstico.
1. Situación catastral.
Tal y como se recoge en el Decreto 76/2000, de 25 de febrero, de declaración del monumento natural Fraga de Catasós, el ámbito territorial de este espacio se corresponde con las siguientes parcelas:
– Cerre da Costa, con 24.829 m².
– Tenza de Monte, con 1.219 m².
– Zanca de Arriba, con 4.712 m².
– Val de Fernando, con 14.425 m².
Estas parcelas suponen un total de 45.185 m² de superficie protegida.
Si atendemos a los datos que constan en la Dirección General del Catastro, de la Secretaría de Estado de Hacienda, las parcelas que conforman el ámbito del espacio protegido están todas incluidas dentro del polígono 88 y clasificadas con un uso principal agrario (castañar o robledal). Estas son:
– Parcela 72. Carballeira de Quiroga: 24.829 m², uso principal agrario (castañar).
– Parcela 181. A Costa: 1.219 m², uso principal agrario (robledal).
– Parcela 257. Coto da Torre: 4.712 m², uso principal agrario (castañar).
– Parcela 256. Val de Fernando: 14.425 m², uso principal agrario (castañar).
Bordeando el espacio protegido, se encuentran los siguientes caminos, en el mismo polígono 88, fuera del límite del espacio protegido:
– Parcela 9003. Camino de Val de Fernando: 2.295 m², uso principal agrario (vía de comunicación de dominio público).
– Parcela 9002. Camino de Val de Corzas: 3.143 m², uso principal agrario (vía de comunicación de dominio público).
En el año 2009, la Jefatura Territorial de la entonces Consellería de Medio Ambiente y Ordenación del Territorio en Pontevedra llevó a cabo un proyecto para el acondicionamiento de este espacio. Entre las varias acciones que comprendió este proyecto, se realizó un estudio de investigación sobre la evolución de la propiedad de las parcelas donde se recopilaba documentación histórica relativa al bosque y a su entorno.
Según consta en este estudio, en la década de los 90, y después de un requerimiento tras la visita del representante estadounidense ante la FAO, Flippo Gravatt, para evitar que los castaños fueran talados, la Xunta de Galicia encarga una valoración técnica de las parcelas Costa, Costiña, Val de Fernando, Coto da Torre y el prado del molino.
En esta valoración, la finca Costa o Xesteira figura con una superficie de 2,4829 ha y en ella crecían 156 castaños, 103 robles, 6 alcornoques y 4 pinos. En la actualidad se corresponde con la parcela 72, denominada Carballeira de Quiroga.
La finca Val de Fernando aparece con una superficie de 1,4425 ha, donde había 54 castaños y 227 robles. Actualmente se corresponde con la parcela 256 y mantiene la denominación, según los datos del Catastro.
En Coto da Torre o Zanca de Arriba crecían 53 robles y 5 pinos en una superficie total de 0,4712 ha. Esta finca se corresponde con la parcela 257, que conserva la denominación de Coto da Torre.
La finca Costiña tenía una superficie de 0,1219 ha y en ella crecían robles jóvenes y abedules, tal y como consta en el estudio. Esta finca se corresponde en la actualidad con la parcela 181, denominada A Costa, según datos del Catastro.
Según se refleja en el estudio, el 16 de abril de 1999 el secretario general de Patrimonio de la Consellería de Economía y Hacienda firma el documento de compra de estas cuatro parcelas a monte, excluido el prado del molino, quedando así el bosque constituido por un total de 4,518 ha.
En este estudio ya se resalta el complicado trazado del perfil de la Fraga de Catasós, resultado de una compra hecha basándose en las parcelas de un solo propietario y sin tener en cuenta la unidad del territorio, la cual no coincidía con la unidad de posesión de la familia Quiroga, y se citan las parcelas limítrofes que deberían ser adquiridas por la Xunta para dar coherencia al espacio.
Entre las parcelas que se citan en este estudio como nuevas compras a tener en cuenta están las siguientes, con las consideraciones que se apuntaron en ese momento:
– Parcela núm. 81, del polígono 88 del Catastro, que limita con Val de Fernando y Xesteira, en la que crecen robles similares a los del espacio protegido.
– Parcela núm. 77, del polígono 88 del Catastro, con castaños más jóvenes, que no se justifica tanto por la calidad de los árboles como por el hecho de que rompe la unidad de la parcela denominada Val de Fernando.
– El prado que limita con Xesteira por el norte (parcela nº 169 del polígono 89 del Catastro) y el molino que está en ella, una idea que ya había sido valorada anteriormente.
– Parcela núm. 79a del polígono 88 del Catastro, que es prado, con lo cual se dispondría de un magnífico lugar para contemplar el bosque en perspectiva y se evitaría el paso del ganado entre este prado y el camino que va a Quintela, que atraviesa la Fraga de oeste a este.

Figura 2. Ámbito del monumento natural Fraga de Catasós y parcelas adyacentes citadas. Fuente: Sistema de Información Geográfica de Parcelas Agrícolas (Sigpac).
Durante el trámite de participación pública del documento preliminar del Plan de conservación, se recibieron cuatro alegaciones que proponían la ampliación de la superficie del monumento natural. Por tal motivo, se contrató un estudio técnico que evaluase esta propuesta de ampliación de la superficie protegida, teniendo en cuenta la superficie propuesta en las diferentes alegaciones recibidas y usando como criterio la presencia de árboles de las mismas características que los que motivaron la declaración del monumento natural (alrededor de unos 30 m de altura y 4 m de diámetro).
El resultado del estudio muestra que en las zonas propuestas para la ampliación existe una dominancia de las masas forestales con especies de Quercus robur y Castanea sativa como especies principales (98,07 ha y 39,88 ha, respectivamente). El resto de las masas forestales con representación significativa en la zona son masas forestales cuya especie principal es el abedul (Betula celtiberica, 12,37 ha) y el pino marítimo (Pinus pinaster, 3,57 ha). También es de destacar la presencia de masas mixtas de frondosas autóctonas sin una especie claramente dominante (22,46 ha) y de bosques de ribera con Alnus glutinosa como especie principal (5,45 ha).
Respecto a los estratos forestales identificados, es el estrato 07 latizal de Quercus robur, con 64,10 ha (25,26 % del total de la superficie estudiada), el de mayor representación en la zona, seguido del estrato 20 prados con una superficie de 44,21 ha (17,42 %) es el 06 fustal joven de Quercus robur, que ocupa 5,19 ha y representa el 2,04 % del total estudiado. Estos estratos se encuentran en su gran mayoría dentro de la zona ya declarada como monumento natural.
El estudio concluye que, tras analizar las zonas propuestas en las alegaciones como ampliación, no se encontraron ejemplares que hagan necesario el aumento de la superficie protegida.
Sí que indica que se podría incluir la parcela catastral 77 del polígono 88 dentro de la superficie del monumento natural, anexa a la superficie actualmente protegida, pero que en ella no se observó ningún ejemplar que cumpla con las condiciones exigidas, aunque tiene estratos con árboles de mayores dimensiones.
2. Medio físico y abiótico.
2.1. Climatología.
El ámbito del Plan de conservación, sito en el lugar de Quintela, en la parroquia de Catasós, perteneciente a la región eurosiberiana, provincia atlántico-europea y subprovincia cántabro-atlántica, se adscribe al sector galaico interior y, dentro de este, al subsector Ulloa-Deza. Este es un territorio relativamente alejado del mar, en el que las cuotas se sitúan entre los 565 y los 605 m de altitud.
En las cercanías de la Fraga de Catasós se encuentran dos estaciones meteorológicas de la red gallega: la estación meteorológica de Lalín y la de Mouriscade. Esta última es la que arroja más información a lo largo del tiempo, puesto que la de Lalín tan solo lleva en funcionamiento desde el 17 de marzo de 2017.
Los datos recogidos en estas estaciones permiten caracterizar el clima como de transición entre el dominio climático oceánico de montaña y oceánico húmedo, con unas temperaturas medias anuales alrededor de los 13° C y una oscilación térmica anual de unos 20 ºC. El termotipo (o piso bioclimático) en el que se incluye la zona de estudio es el termotipo mesotemplado superior.
En nuestra comunidad existen una serie de evidencias del cambio climático que ponen de manifiesto, entre otros aspectos, que su temperatura aumentó en 0,20 ºC/década, desde 1972, especialmente en las estaciones de primavera y verano.
En la zona de estudio no se aprecia tal incremento de temperatura a lo largo de los 16 años en los que constan datos meteorológicos, aunque sí es destacable el aumento de días con temperatura máxima en los meses de primavera de los últimos años.
Aunque las precipitaciones son abundantes durante los meses de otoño e invierno, las sierras que rodean esta unidad protegen la zona de tal forma que aparece una sequía estival característica del macroclima templado submediterráneo, debida al descenso en las lluvias. El Atlas climático de Galicia sitúa esta área en el sector IV, al que corresponde un gradiente pluviométrico de 45 l por cada 100 m de altitud. Según el citado atlas, este es un caso paradigmático, puesto que el gradiente se asemeja a los sectores aún más interiores, y lo asocia a la especial orografía de las tierras del Deza. Según la Agencia Estatal de Meteorología, la zona tiene una precipitación media anual de 1.255 mm, por lo que el ombrotipo correspondiente para la zona de estudio es húmedo superior o hiperhúmedo inferior.
El índice de estacionalidad pluviométrica correspondiente a esta zona de Galicia (calculado con los datos obtenidos en las estaciones meteorológicas de Lalín y Mouriscade) muestra que el área de interés tiene una estacionalidad fuerte en las precipitaciones (que ambas estaciones se incluyen en el grupo I). Se trata de una zona con transiciones hacia regímenes pluviométricos fuertemente contrastados, en la que ocurren mecanismos ciclónicos no zonales derivados de una circulación lenta con profundos meandros. Estos movimientos determinan la penetración de masas de aire polar marítimo ciclónico del noroeste –y tropical marítimo ciclónico del sudoeste–, de elevada inestabilidad que contribuyen durante el otoño-invierno a incrementar los volúmenes de precipitación.
Por otra parte, este aumento de las precipitaciones en los meses de otoño frente a los de la primavera puede verse también como una de las consecuencias que el cambio climático está teniendo en Galicia.
Según un informe remitido por la Subdirección General de Meteorología y Cambio Climático, y tras el análisis de datos climatológicos históricos, se obtuvo que el cambio climático podrá afectar a la zona en las próximas décadas en virtud de las variaciones de las variables climáticas: temperatura, precipitación, días de verano, días cálidos, noches frías, noches cálidas, noches tropicales, días consecutivos secos y días consecutivos cálidos en función de las condiciones actuales y de los resultados mostrados por los modelos climáticos regionalizados para los horizontes temporales 2031-2060 y 2061-2090, en la zona de Lalín.
Para la realización de estas proyecciones en el área ocupada por el monumento natural, MeteoGalicia efectuó un estudio de los modelos regionales utilizando los datos de temperatura, precipitación y viento registrados desde enero de 2002 por la estación meteorológica automática de Mouriscade, en el ayuntamiento de Lalín. En el desarrollo de este análisis, se seleccionó el dato diario de un grupo de once modelos regionales anidados a los 5 modelos globales más fiables para el sector del Atlántico Norte (Brands et al., 2013, Pérez et al., 2014), de los distintos escenarios de concentración de gases de efecto invernadero (RCP 4.5 y RCP 8.5) y dos períodos climáticos de 30 años, uno a mediados y otro a finales del siglo (2031- 2060 y 2061-2090).
El análisis de la temperatura concluye que el valor medio de la temperatura máxima aumentará en 1,5 ºC en el período 2031-2060, y que el aumento pasará a ser de 1,8 ºC en el horizonte 2061-2090. Se observa la misma tendencia para el valor medio futuro de la temperatura mínima, con incrementos de 1,3 y 1,6 ºC para los respectivos períodos. La temperatura media muestra las mismas variaciones que la temperatura mínima (1,3 ºC 2031-2060 y 1,6 ºC 2061-2090).
Los días de verano, aquellos con temperatura máxima por encima de los 25 ºC, aumentarán en término medio en 23,8 días en el período 2031-2060, y pasarán a 30,5 en el horizonte 2061-2090.
Los días cálidos, considerados como aquellos días (en períodos de 24 horas) en los que la temperatura media supera el percentil 95, aumentarán en un 9,4 % en el 2031-2060 y en un 12,6 en el 2061-2090.
Por otra parte, las noches frías disminuirán en un 2,6 % en el 2031-2060, aumentarán las noches cálidas en un 10,2 %, las noches tropicales pasarán a aumentar en 0,9 días de media anual para ese mismo período y llegarán a alcanzar aumentos de 1,8 días en el horizonte 2061-2090.
Por último, cabe destacar que la máxima racha de días consecutivos secos aumentará en 5,1 días en 2031-2060 y en 13,7 días en 2061-2090, y la máxima racha de días consecutivos cálidos aumentará en 9,6 días en 2031-2060 y en 13,6 días en 2061-2090.
Además, y si como se indica en los estudios realizados en el marco del Informe de cambio climático de Galicia, la temperatura media anual va a aumentar a mediados del siglo XXI en 1,5 ºC con respecto a la de finales del siglo XX, la zona del bosque podría sufrir los efectos a través de la proliferación de agentes patógenos en las masas arbóreas, produciéndose también un significativo empeoramiento en las condiciones de inicio y propagación del fuego.
Si bien los efectos a nivel local no se pueden predecir con exactitud, el incremento de las temperaturas medias anuales afectará al ecosistema en su conjunto y a los árboles de mayor edad en particular, influyendo en los ciclos de crecimiento y floración y podrá incrementar el riesgo de sequía, así como su muerte.
2.2. Geología y geomorfología.
La denominada Unidad de Lalín está incluida en el Área de esquistos de Galicia Central, que se extiende desde Santiago de Compostela hacia el sur-sudeste, siguiendo la dirección de estructuras hercinianas. Esta franja es de naturaleza totalmente diferente a las zonas de esquistos que la rodean, ya que, en esta zona, entre los esquistos se mezclan paragneises de dos micas, cuarcitas y rocas metavolcánicas, todas afectadas por el metamorfismo y las deformaciones asociadas a la orogénesis herciniana.
El grupo sedimentario de Lalín-Forcarei cuenta con un núcleo de unos 2.500 m de espesor, en el que predominan estos esquistos y paragneises y en el que también se encuentran mezcladas anfibolitas (muy desarrolladas en las cercanías de Lalín) y algunos niveles metalovolcánicos ácidos. La litología de esta zona favorece el desarrollo de suelos útiles como tierra de labor.
A pesar de que faltan evidencias de restos de fauna para la datación exacta de la secuencia sedimentaria, con base en criterios tectónicos y metamórficos de los materiales que rodean esta unidad, se le puede otorgar una edad más antigua al Paleozoico inferior.
Desde el punto de vista dinámico, la unidad se encuentra afectada por una deformación polifásica (3 fases) en la orogénesis herciniana, a la que siguió un proceso de desarrollo de fallas verticales con diaclasas asociadas.
Acompañando a este proceso de deformación, se desarrolla un metamorfismo regional de diferente intensidad en función del material, y un metamorfismo térmico, inducido por las rocas de carácter granítico presentes en la zona.
2.3. Hidrología y hidrogeología.
Desde el punto de vista fluvial, la red hidrográfica de la Demarcación Hidrográfica de Galicia Costa (DHGC, en adelante) se divide en 19 sistemas de explotación. Cada uno de ellos está constituido por su propio río principal y su conjunto de afluentes que forman una densa red fluvial de carácter prácticamente permanente.
La Fraga de Catasós se encuentra dentro del sistema de explotación núm. 5 Río Ulla y Ría de Arousa (margen derecha) y pertenece a la cuenca del río Portos. Este sistema de explotación es el más grande de toda la demarcación, con una superficie de cuenca hidrológica de 3.061 km². En la serie de datos recopilados en los años 1980/81-2011/12 mostró un volumen de precipitación media total de 4.454 hm³/año, de los cuales 1.692 hm³/año (38 %) retornan a la atmósfera a través de la evaporación y el resto se convierten en escorrentía superficial y subterránea.
La zona de estudio se encuentra en la margen izquierda del arroyo de Quintela (con código 2774) que, tras recorrer una distancia de 4,55 km y, una vez en la zona de Regoufe, se une al arroyo de Murazón para formar el río Portos, que ya forma parte de la red hidrográfica básica de la Demarcación Hidrográfica Galicia-Costa.
El río Portos (con código ES.014.NR.244.059.22.00 na DHGC) recorre una distancia de 13,47 km de longitud, en dirección E-O, con un caudal medio de 0.38 m³/s. Es la masa de agua principal del área correspondiente al monumento natural, pertenece a la cuenca hidrológica del Deza-Asneiro, y se encuentra en un estado bueno o mejor, según el Plan hidrológico Galicia Costa (PHGC) 2015- 2021.

Figura 3. Plano con las masas de agua superficial próximas a la Fraga de Catasós. Fuente: Augas de Galicia.
A mayores de la componente de escorrentía superficial directa, existe un flujo de agua subsuperficial estrechamente ligada y dependiente de los recursos hídricos superficiales, que la DHGC denomina masas de agua subterránea.
Existe un total de 18 masas de agua subterránea; la que corresponde a la zona de estudio recibe el nombre de Ulla (con código 014.005 en la DHCG) y cuenta con un buen estado.
En algunos lugares del sistema de explotación existen puntos de captación de aguas subterráneas que se destinan al abastecimiento, aunque en el ámbito objeto del plan no se identifica ninguno.
Análisis preliminar de inundaciones:
Los caudales extraordinarios, clasificados como crecidas, se producen a partir de un cierto caudal cuyos efectos no son fácilmente controlables por el ser humano. Solo es posible hablar con propiedad de inundación cuando se supera el caudal regulable por el sistema de defensa establecido y comienzan a producirse daños no previstos.
Para hacer un estudio preliminar de inundaciones en el que se puedan ver reflejados los posibles riesgos, tendremos en cuenta valores absolutos de precipitaciones y su traducción en valores de escorrentía y caudales.
Para tener datos representativos y fiables en la estimación de los caudales, las series de precipitación recogidas deberían tener una duración mínima y continuada de unos 30 años. En el caso de las estaciones meteorológicas más próximas a la Fraga de Catasós, estas no disponen de series completas, por lo que la estimación de la escorrentía y caudal es aproximada.
En función de estos datos y del estudio preliminar del riesgo de inundación (EPRI) que se llevó a cabo en toda la Comunidad Autónoma, el Plan especial de protección civil ante el riesgo de inundaciones en Galicia (Inungal) no identifica ningún área de riesgo potencial significativo de inundación (ARPSI) en la zona de Lalín o en sus cercanías, basándose en lo establecido en el Plan de gestión del riesgo de inundación de la DHGC del ciclo 2015-2021, aprobado por el Real decreto 19/2019, de 15 de enero.
La Fraga de Catasós se sitúa en la margen izquierda del arroyo de Quintela, en el tramo medio da su cuenca, mas el arroyo no se encuentra en el interior del espacio protegido. Su zona más próxima al bosque se sitúa a una distancia de unos 10 metros, por lo que, en principio, y aunque se desconocen los datos de caudales y escorrentía del arroyo, tan solo dos de los accesos al monumento natural podrían verse afectados por los procesos ascensionales o inundaciones de las aguas del arroyo de Quintela en el caso de lluvias muy fuertes y continuas que excediesen la capacidad de absorción del suelo.
El monumento natural no se vería afectado por las inundaciones, ya que las pendientes del terreno existente en la zona contigua al riachuelo son las más elevadas del monumento natural y el agua de la crecida se dirigiría hacia zonas más bajas, como son los campos de pasto situados al lado derecho del arroyo de Quintela y, con una crecida extraordinaria, hacia la pista de circulación de vehículos, en su margen izquierda.
Esta pista, que marca el límite noroeste del monumento natural, también da acceso al Pazo de Quiroga y a dos de las entradas a la Fraga de Catasós.

Figura 4. Delimitación del monumento natural y posición del arroyo de Quintela. Fuente: Plan especial de protección civil ante el riesgo de inundaciones en Galicia-Inungal y elaboración propia.
2.4. Edafología.
La edafología de la Fraga de Catasós es la que predomina en la comarca del Deza: sustrato rocoso, fundamentalmente básico, típico del nordeste pontevedrés y particularmente marcado por la variedad litológica de la zona.
La predominancia generalizada de rocas básicas favorece la presencia de suelos tipo lehm que contienen la característica rubefacción de los óxidos de hierro y son ricos en arcillas (inferiores a las 2 μm). En la zona de Lalín estos suelos son pardos, a diferencia de los rojos del norte de la comarca. Estos suelos tipo lehm cuentan con un alto contenido en nutrientes, por lo que son eutróficos y presentan un alto contenido en sedimentos propios de las llamadas tierras pardas.
En el Plan de desarrollo comarcal (Gabinete de Planificación y Desarrollo Territorial, 1993) se hace una clasificación edafológica determinada por la litología subyacente, y muestra que en la zona de la Fraga de Catasós aparecen suelos de la clase cambisol úmbrico.
Estos suelos, junto con los leptosoles úmbrico/dístricos y los cambisoles úmbrico/dístricos, ocupan la mayor parte del área de estudio. Se desarrollan sobre paragneises de la Unidad de Lalín, los granitos y granodioritas orientales en pequeñas extensiones sobre los ortogneises no relacionados con la Unidad de Santiago-Lalín o la Unidad de Vila de Cruces. En esta unidad dominan las fases profundas sobre las superficiales, por lo que los suelos son productivos y, consecuentemente, cultivados extensivamente. El relieve es en general suave, excepto la parte sudoriental de la comarca, en los contrafuertes de la Serra do Faro. Allí donde las tierras no están cultivadas, la vegetación predominante la constituye el monte bajo.
Estos cambisoles son suelos en fase semiprofunda y profunda que ocupan zonas más llanas y aptas para el cultivo.
Análisis de erosión-Impacto sobre el suelo y el sustrato:
La erosión puede ser una de las grandes amenazas para la sostenibilidad del ecosistema que existe en el espacio natural, ya que puede llevar consigo una degradación de los suelos debido a la compactación, una merma de su fertilidad y un descenso notable en la capacidad de retención e infiltración del agua.
El estudio de erosión en el área que ocupa el monumento natural determina los aspectos más destacables que pueden modificar la estructura natural del suelo de la Fraga de Catasós.
• Descripción del sendero.
La mayoría de las personas visitantes conocen el monumento a través del sendero que recorre el bosque por su interior. Este sendero no mantiene un aspecto homogéneo en toda su extensión, sino que muestra variaciones, aunque leves, en su recorrido. No hay restricciones físicas que impidan el paseo por otras zonas del interior del bosque diferentes del sendero, tan solo el cercado de madera y el muro de piedra que delimitan el contorno del monumento natural.
El suelo del bosque es uno de los principales elementos que se ve afectado por las personas que vienen a visitar el lugar, la mayor parte de las veces a pie, a lo largo del sendero circular y de los tramos de accesos que, en total, cuenta con 1.070,75 m de longitud, en el que la caja tiene un ancho medio de 2,25 metros (con un mínimo de 1,80 m y un máximo de 2,70 m). En este sendero no se prohíbe la circulación de bicicletas, por lo que es necesario tener en cuenta la entrada de estos vehículos al monumento natural.
Por otro lado, no se permite la entrada de vehículos motorizados al interior del bosque. Una de las entradas da acceso a una servidumbre de paso y cuenta con un cierre de barrera para la entrada de vehículos autorizados (mantenimiento, conservación y vigilancia) y por ella pasa también un pequeño número de cabezas de ganado que acceden a una finca de pasto situada en los alrededores de la Fraga.
• Horizonte orgánico.
La materia orgánica (follaje) acumulada en la capa más superficial del sendero es un elemento básico para conservar en buen estado el suelo del bosque, puesto que, además de tener un papel imprescindible en la actividad biológica del ecosistema, ejerce de elemento amortiguador frente a las pisadas y contribuye a la no degradación del suelo.
En la Fraga de Catasós este horizonte cuenta, sobre todo en algunas partes del sendero, con una notable capa de hojas caídas (Horizonte superficial 1), lo que aumenta la capacidad de absorción del suelo y la capacidad de retención de la humedad.
Sin embargo, existen otras zonas en las que este horizonte aparece con un grosor menor (Horizonte superficial 2), como es la correspondiente a la servidumbre de paso, por donde pasan los vehículos autorizados e algunas de las zonas más próximas al acceso 1.
También aparece un sector del sendero donde, debido a la ausencia de árboles, el suelo se caracteriza por el crecimiento de hierbas y gramíneas, a lo largo de una distancia de unos 110 m (Horizonte superficial 3). En esta zona, el elemento amortiguador como tal desaparece y el suelo es más susceptible de verse alterado por las pisadas.

Figura 5. Distribución aproximada de los diferentes horizontes superficiales en el sendero principal del espacio.
• Compactación y pendiente del sendero.
No se aprecian daños que hayan provocado la pérdida de la capa de materia orgánica en zonas del sendero, ni áreas donde el suelo se encuentre tan compactado como para impedir la absorción del agua. No existen zonas de encharcamiento superficial, ni tampoco cárcavas o surcos.
Las personas visitantes no se encuentran con zonas de difícil tránsito, por lo que no tienen necesidad de tomar senderos secundarios que puedan causar nuevas alteraciones, aunque la circulación a pie es totalmente libre por todo el interior del bosque y no está limitada al sendero principal.
Además, la pendiente del sendero no se considera suficiente como para que dé lugar a escorrentías por la caja del sendero, ya que el desnivel existente en la zona de estudio es de tan solo 40 m, lo que asegura que las mencionadas escorrentías tampoco supongan un riesgo potencial de erosión. Este hecho también permite que las personas visitantes busquen otros senderos en zig-zag para evitar los cursos de agua o acanaladuras.
• Impactos sobre la vegetación
En la mayor parte del sendero circular, el tránsito de personas no causa daños en la cubierta vegetal y la vegetación existente no encuentra resistencia en el suelo para poder desarrollarse de manera efectiva. Además, no se apreció afloramiento de raíces por la pérdida de suelo, lo que tiene como consecuencia una menor vulnerabilidad de las plantas frente a las pisadas.
Tan solo por los caminos en los que se permite el acceso a vehículos autorizados la compactación es mayor y desaparece la vegetación en ciertas zonas, debido al aplastamiento continuado, lo que aumenta la resistencia mecánica del suelo al crecimiento del sistema radicular de las plantas.
No obstante, actualmente no se aprecian modificaciones en la composición de flora ni la existencia de especies invasoras que sustituyan a las autóctonas como responde a una mayor tolerancia a estos cambios.
3. Medio biótico.
Tal y como recoge el Decreto 76/2000, de 25 de febrero, de declaración del espacio protegido, la Fraga de Catasós constituye un área de bosque mixto de robles (Quercus robur L.) y castaños (Castanea sativa Mill.). La unidad forestal se puede encuadrar en un hábitat mixto de robledal galaico-portugués, en el que la especie que domina es Quercus robur L., y un castañar, en el que domina la especie Castanea sativa Mill., en este caso es un bosque no manejado que permitió el singular crecimiento mezclado de ambas especies.
A continuación, se describe la representatividad de cada uno de los tipos de hábitats en el ámbito de la Fraga de Catasós y las formaciones vegetales que caracterizan a cada uno de ellos, con mención a las especies más características de flora y fauna que pueden encontrarse formando parte del dosel arbóreo y del sotobosque del bosque y de su entorno.
3.1. Unidades ambientales.
El Plan director de la Red Natura 2000 de Galicia (Decreto 37/2014, de 27 de mayo, por el que se declaran zonas de especial conservación los lugares de importancia comunitaria de Galicia y se aprueba el Plan director de la Red Natura 2000 de Galicia), de forma complementaria a la descripción de los tipos de hábitats del anexo I de la Directiva 92/43/CEE presentes en el territorio gallego, emplea un sistema jerarquizado de unidades ambientales establecidas teniendo en cuenta las características de los componentes del sistema natural, socioeconómico y territorial de Galicia. Así, esta clasificación de unidades ambientales homogéneas puede ser aplicable al conjunto del territorio gallego, con el objetivo de valorar los componentes clave para la biodiversidad, y los usos y aprovechamientos derivados de las distintas actividades humanas.
Como unidad ambiental (UA, en adelante) el Plan director define la porción del territorio que, teniendo características geográficas y ecológicas homogéneas, muestra una respuesta también homogénea frente a las acciones derivadas de los procesos antrópicos, constituyendo el elemento básico para sustentar la planificación y gestión de un espacio natural. Así, cada UA se define por un conjunto determinado de hábitats característicos que de forma conjunta representan la mayor cobertura de la unidad cartográfica, representando generalmente más del 70 % de su superficie. El otro 30 % del espacio puede ser asignado a hábitats secundarios. Los hábitats característicos de cada UA muestran un importante grado de similitud derivado de sus características ecológicas o de su uso y aprovechamiento.
El conjunto de hábitats característicos de una UA se distribuye en tres niveles o subgrupos (hábitats principales, adjuntos y vinculados). El subgrupo principal engloba los tipos de hábitats con mayor representatividad superficial en la tesela y que, por lo tanto, son los que en mayor porcentaje contribuyen a definir sus características ecológicas o, en su caso, los tipos de usos y aprovechamientos. Los hábitats adjuntos confieren atributos al hábitat principal de la UA, siendo su cobertura, por definición, la misma que la cobertura del hábitat principal a la que se subordina. El tercer subgrupo de hábitat que forma parte del grupo de hábitats característicos de la UA corresponde al subgrupo de hábitats vinculados. La existencia de hábitats vinculados deriva de la necesidad de representar a todos los tipos de hábitats a una escala determinada. De este modo, existen hábitats con dimensiones que impiden su delimitación individualizada, debiendo integrarse dentro del tipo o tipos de hábitats principales de la UA. A los hábitats vinculados se les asigna, no obstante, un valor de cobertura concreto, cuya suma será igual a la cobertura dada al hábitat principal.
Según el sistema de UA establecido por el Plan director, el monumento natural Fraga de Catasós puede ser incluido en los siguientes tipos de UA:
UA400-Bosques naturales y seminaturales, y, dentro de esta, atendiendo a su composición biocenótica y a su entidad superficial, podría albergar las siguientes UA, las que representan bosques de menos de 50 ha y generalmente con un predominio de un tipo de unidad fitocenótica.
• UA420 Bosques de robles caducifolios, equivalente con el hábitat boscoso de interés comunitario 9230, Bosques galaico-portugueses con Quercus robur y Quercus pyrenaica.
• UA425 Bosques seminaturales de Castanea sativa, equivalente con el hábitat boscoso de interés comunitario 9260, bosques de Castanea sativa.
Es preciso contar con datos de la superficie o cobertura de cada una de las tipologías de hábitats, ya que, si bien en algunas zonas del espacio protegido predomina claramente una especie, en la mayor parte del espacio se encuentran mezcladas, constituyendo un bosque mixto seminatural.
3.2. Tipos de hábitat y vegetación potencial.
Atendiendo a las especies arbóreas dominantes, según la clasificación que establece la Ley 42/2007, de 13 de diciembre, en el ámbito territorial de la Fraga y en su entorno están representados, fundamentalmente, dos tipos de hábitats de importancia comunitaria:
a) Hábitat 9230 Bosques galaico-portugueses con Quercus robur y Quercus pyrenaica: bosques atlánticos submediterráneos dominados por Q. robur, generalmente con presencia de Q. pyrenaica (Quercion robori-pyrenaicae), según la definición revisada por García, I. & Jiménez, P. (2009).
b) Hábitat 9260 Bosques de Castanea sativa: bosques dominados por el castaño (Castanea sativa) procedentes de plantaciones antiguas y con regeneración natural o seminatural, tanto del castaño como de la vegetación característica.
Con respecto al hábitat 9230 Bosques galaico-portugueses con Quercus robur y Quercus pyrenaica, se caracteriza por la presencia de robledales con predominio de la especie Q. robur, que es el hábitat dominante del espacio. Estas formaciones se extienden desde el monumento natural hacia el norte en dirección a Belelle y Reboredo, donde los robledales se mezclan progresivamente con masas mixtas de pinos, y hacia el sudoeste, determinando la continuidad del espacio con la Fraga de Casas Vellas.
Corresponden a este hábitat las formaciones fitosociológicas Rusco aculeati-Quercetum roboris Br.-Bl., P. Silva & Rozeira 1956, robledales con influencia mediterránea marcada por la presencia de especies de ambientes más termófilos como el rusco (Ruscus aculeatus), y Vaccinio myrtilli-Quercetum roboris P. Silva, Rozeira & Contes 1950, robledales asociados a arándanos (Vaccinum myrtillus). Ambas asociaciones corresponden al ámbito biogeográfico en el que se sitúa la Fraga según la clasificación de Rivas Martínez, posteriormente revisada y reinterpretada por Guitián y Ramil-Rego.
Atendiendo a la descripción en el Manual de hábitats de España, el hábitat de los bosques galaico-portugueses con Quercus robur L. y Quercus pyrenaica Willd. suele estar conformado por bosques de estrato arbóreo monoespecífico, a veces acompañado de algún arce (Acer opalus, A. monspessulanum), serbal (Sorbus aria, S. aucuparia, S. torminalis) o acebo (Ilex aquifolium). El estrato arbustivo se caracteriza por la presencia de espino albar (Crataegus monogyna), el rosal silvestre (Rosa canina), la madreselva (Lonicera periclymenum) y otras especies de herbáceas dispersas, entre las que destacan Arenaria montana, Geum sylvaticum, Poa nemoralis, Melica uniflora, Brachypodium sylvaticum y Luzula forsteri, entre otras.
La etapa de sustitución del hábitat natural se caracteriza por formaciones de retamal-tojal con Cytisus striatus y Ulex europaeus, y a continuación, brezal-tojal con Daboecia cantabrica, Erica cinerea y Ulex minor.
Tal y como recoge el Plan director de la Red Natura 2000 de Galicia, la presencia de ejemplares de roble de gran porte y la presencia de madera muerta, con un elevado grado de estructuración, son indicadores de un estado de conservación favorable para este tipo de hábitat. La ausencia de prácticas silvopastorales y el mantenimiento del carácter irregular de la unidad forestal contribuyen a mejorar su estado de conservación. Por el contrario, la eliminación del sotobosque, así como la eliminación de pies muertos o derribados, incide negativamente en el estado de conservación de este hábitat, ya que desaparecen elementos fundamentales para el mantenimiento de las funciones ecosistémicas.
En lo que respecta al hábitat 9260 Bosques de Castanea sativa, este se encuentra presente dentro del ámbito del espacio, formando unidades más o menos diferenciadas en las que domina el castaño, la especie que le da nombre. Este hábitat procede de antiguas plantaciones que fueron regenerándose y naturalizándose, ocupando el espacio anteriormente dominado por Quercus robur. Estos bosques dan lugar a una gran acumulación de follaje en el suelo, siendo la vegetación del sotobosque escasa, al igual que ocurre en los robledales maduros debido a las condiciones de sombra existentes bajo el dosel arbóreo.
En el ámbito de la Fraga de Catasós pueden distinguirse dos tipos de áreas de castañar fácilmente reconocibles y diferenciadas, en su aspecto más o menos natural, en función de la disposición de los árboles. Por una parte, hay una zona denominada Souto Manso en contraposición al Souto Bravo, procedente de una antigua plantación para producir madera y frutos en la que los árboles presentan una disposición ordenada en línea recta. A pesar de mostrar un aspecto menos natural, esta zona presenta ejemplares de gran porte en buen estado de conservación. En las restantes zonas, los castaños fueron extendiéndose y colonizando el espacio de forma natural, y aparecieron ejemplares de diferente edad mezclados con los robles formando un bosque mixto rico en texturas, formas y colores.
La vegetación potencial que acompaña a los castaños es equivalente a la que podemos encontrar en los bosques climácicos de Q. robur.
En el caso de los soutos o castañares, la ausencia de rebrotes bajos y la presencia de copas que no cubren totalmente el dosel están asociadas al mantenimiento de prácticas culturales tradicionales. No obstante, es necesario indicar que en el caso de la Fraga de Catasós es precisamente la ausencia de estas prácticas la que permitió el crecimiento de ejemplares de castaño tan singulares. Para mantener este hábitat en estado óptimo de conservación, lo ideal es prescindir de prácticas de poda o desbroce y de control fitosanitario, salvo que sean necesarias para evitar la dispersión de enfermedades como la tinta o el chancro.
Por último, aunque situado fuera del ámbito protegido, ligado al curso fluvial del arroyo de Quintela y limitando con el monumento natural, se encuentra representado el hábitat prioritario 91E0* Bosques aluviales de Alnus glutinosa y Fraxinus excelsior (Alno-Padion, Alnion incanae, Salicion albae). Restringido a las márgenes del arroyo de Quintela, este hábitat se extiende hasta Casas Vellas, reforzando así el papel de corredor ecológico que ejerce el río.
Este tipo de hábitat está vinculado a las riberas y márgenes fluviales, donde el suelo tiene un alto nivel de humedad. Entre las especies más características de estos bosques en galería se encuentran los alisos (Alnus glutinosa) y los fresnos (Fraxinus angustifolia). Otras especies arbóreas que acompañan a estas formaciones son el arraclán (Frangula alnus), el espino albar (Crataegus monogyna), el saúco (Sambucus nigra) y el sauce (Salix salviifolia, Salix atrocinerea).
En el estrato herbáceo conviene resaltar la presencia de la llamada celidonia menor (Ranunculus ficaria), la hiedra terrestre (Glechoma hederacea) y el nabo del diablo (Oenanthe crocata), entre otras especies. Además, es frecuente encontrar diversas especies de helechos asociados a estos bosques, como el helecho real (Osmunda regalis), el helecho hembra (Athyrium filix-femina) y el helecho macho (Dryopteris filix-mas).
3.3. Diversidad de flora.
En consonancia con la caracterización de los hábitats anteriormente descritos, la Fraga de Catasós está dominada por la presencia de dos especies arbóreas: el roble (Quercus robur) y el castaño (Castanea sativa). Ambas se mezclan para conformar un bosque mixto en el que comparten espacio, en menor medida, con otras especies arbóreas como los alcornoques (Quercus suber) que señalan la influencia del clima mediterráneo. La presencia del rebollo (Quercus pyrenaica) es ocasional debido al carácter más continental de esta especie.
Otras especies presentes en la zona incluyen Crataegus monogyna (espino albar) y las acidófilas Pyrus cordata (peral silvestre), Frangula alnus (arraclán) y Erica arborea (brezo arbóreo). En las zonas mas húmedas, especialmente en aquellas próximas a las márgenes de arroyos y regatos, se pueden encontrar sauces (Salix atrocinerea), alisos (Alnus glutinosa) y fresnos (Fraxinus angustifolia).
En el estrato arbustivo de la fraga, sobre todo en claros y linderos, y en las proximidades de la carretera, predominan las leguminosas y ericáceas como Cytisus striatus, Cytisus scoparius, Erica arborea o Erica australis que participan en la sucesión de la vegetación en zonas más degradadas o donde se perdió la cobertura original. También es común encontrar en las orillas de los caminos Rosa canina (rosal silvestre) e incluso pueden aparecer otras especies arbustivas de características termófilas como Adenocarpus complicatus (codeso). También son comunes en la fraga las especies de plantas trepadoras como la madreselva (Lonicera periclymenum) y la hiedra común (Hedera helix), que pode observarse cubriendo la superficie de los muros y los troncos de los árboles más viejos, contribuyendo a enriquecer con diferentes colores y texturas el paisaje del interior del bosque.
Entre las especies del estrato herbáceo que suelen estar presentes en este hábitat pueden citarse las gramíneas Poa pratensis, Dactylis glomerata, Agrostis curtisii y Agrostis capillaris, la juncácea Luzula forsteri, y particularmente extendidas en este ámbito, especialmente en las zonas más húmedas y sombrías y en los márgenes de muros y caminos, se encuentran Umbilicus rupestris (ombligo de Venus) y los helechos Pteridium aquilinum (helecho común), Blechnum spicant (helecho peine), Polypodium vulgare L. (polipodio común), Dryopteris filix-mas (helecho macho) y Athyrium filix-femina (helecho hembra), las dos últimas restringidas a las zonas más próximas a las márgenes del arroyo de Quintela. También fueron observados varios ejemplares de Crocus serotinus (azafrán de otoño), que resulta especialmente visible en el suelo del bosque sobresaliendo entre las hojas secas cuando florece en el otoño.
En las zonas próximas al curso del arroyo de Quintela, especialmente en zonas parcialmente sombrías, sobre los sustratos húmedos y ricos en materia orgánica, pueden encontrarse ejemplares de Narcissus cyclamineus DC, una planta bulbosa de vistosas flores amarillas de pétalos curvados que puede observarse entre febrero y abril. Se trata de una especie endémica del noroeste peninsular y clasificada como vulnerable en el Catálogo gallego de especies amenazadas.
Vegetales
|
Especie |
92/43/CEE |
CEEA |
CGEA |
|
Narcissus cyclamineus |
Anexo II |
Vulnerable |
3.4. Diversidad de fauna.
Con base en la consulta de fuentes bibliográficas, como atlas y guías de biodiversidad de Galicia, libros rojos de especies amenazadas y citas en diversas publicaciones científicas, complementadas con el análisis de las características biogeográficas del bosque y las inspecciones realizadas in situ, se realizó un inventario de las especies de fauna con mayor probabilidad de presencia. A continuación se recogen las especies inscritas en el inventario, por grupos.
• Mamíferos.
Las especies de mamíferos presentes en el ámbito del monumento natural, de acuerdo con las referencias consultadas y el reconocimiento de los hábitats presentes en el espacio, incluyen pequeños mamíferos soricomorfos como el desmán ibérico (Galemys pyrenaicus), la musaraña enana (Sorex minutus), la musaraña ibérica (S. granarius), la musaraña campesina (Crocidura suaveolens), la musaraña gris (C. russula), el musgaño de Cabrera (Neomys anomalus), el erizo europeo (Erinaceus europaeus) y el topo ibérico (Talpa occidentalis). Estas especies suelen alimentarse de pequeños insectos, lombrices y otros invertebrados, siendo a su vez presa de algunas especies de aves rapaces y reptiles. Además, estas especies juegan un importante papel en el mantenimiento de la estructura del suelo, mejorando la porosidad, la capacidad de drenaje y la fertilidad.
Entre las especies de roedores se encuentran el topillo lusitano (Microtus lusitanicus), la ardilla roja (Sciurus vulgaris), el lirón careto (Eliomys quercinus), la rata de agua (Arvicola sapidus), especie vulnerable según la IUCN, el ratón de campo (Apodemus sylvaticus) y el topillo agreste (Microtus agrestis).
Destaca también la diversidad de especies de quirópteros (murciélagos) ligados a los hábitats forestales. Todas las especies de quirópteros se encuentran protegidas por la legislación vigente. Las especies forestales están catalogadas como las más vulnerables, debido principalmente a la desaparición de su hábitat. Los murciélagos forestales dependen de la disponibilidad de lugares de refugio y alimento, principalmente cavidades naturales de los árboles más viejos, fisuras, cortezas exfoliadas y cavidades creadas por pájaros, insectos o procesos naturales de descomposición de troncos y ramas. Entre las especies con alta probabilidad de presencia en el bosque, con base en los datos del Atlas de murciélagos de Galicia y las recientes citas y actualizaciones, se pueden citar las siguientes: murciélago grande de herradura (Rhinolophus ferrumequinum), el murciélago pequeño de herradura (R. hipposideros), el murciélago común (Pipistrellus pipistrellus), el murciélago de bosque (Barbastella barbastellus) y el murciélago rabudo (Tadarida teniotis).
Entre los pequeños carnívoros que potencialmente habitan en el bosque se encuentran la comadreja (Mustela nivalis), el turón (Mustela putorius), el tejón (Meles meles), la marta (Martes martes) y la jineta (Genetta genetta).
Otras especies destacables en el ámbito del bosque son el jabalí (Sus scrofa), el conejo (Oryctolagus cuniculus), el gato montés (Felis silvestris), el zorro (Vulpes vulpes) y el lobo (Canis lupus signatus).
Mamíferos
|
Especie |
92/43/CEE |
CEEA |
CGEA |
|
Barbastella barbastellus |
Anexo II |
Vulnerable |
|
|
Galemys pyrenaicus |
Anexo II |
Vulnerable |
Vulnerable |
|
Rhinolophus ferrumequinum |
Anexo II |
Vulnerable |
Vulnerable |
|
Rhinolophus hipposideros |
Anexo II |
Vulnerable |
• Aves.
Por lo general, en los ecosistemas naturales de los bosques abundan numerosas especies de aves rapaces y paseriformes forestales adaptadas al hábitat cerrado y sombrío condicionado por la presencia de los árboles. Entre las adaptaciones que presenta la avifauna ligada a los hábitats forestales destacan las adaptaciones que facilitan el vuelo entre las masas arbóreas, como la presencia de alas cortas y anchas. A diferencia de las aves de ecosistemas abiertos, estas aves no suelen presentar colores muy vivos, pues, debido a la escasa visibilidad en el interior del bosque, este tipo de adaptación no presenta ninguna ventaja. No obstante, los cantos y reclamos elaborados son característicos de muchas de las especies de aves forestales, fundamentalmente con función reproductiva, para atraer a la pareja o bien para delimitar el territorio. Las aves forestales son muy importantes para la dispersión de semillas y por el consumo de insectos, contribuyendo al control de plagas.
Entre las rapaces existentes en el entorno de la fraga se pueden encontrar el azor (Accipiter gentilis), el alcotán europeo (Falco subbuteo), el gavilán (Accipiter nisus), el cernícalo (Falco tinnunculus), el abejero (Pernis apivorus) y el ratonero (Buteo buteo). Entre las rapaces nocturnas se encuentra el cárabo común (Strix aluco), la lechuza (Tyto alba), el mochuelo común (Athene noctua) y el autillo (Otus scops).
Entre otras especies presentes en el ámbito de la fraga se incluyen limícolas de hábitos forestales como la chocha perdiz (Scolopax rusticola) y la agachadiza común (Gallinago gallinago), y columbiformes como la paloma bravía (Columba livia), la paloma torcaz (C. palumbus) y la tórtola común (Streptopelia turtur), así como otras especies como el chotacabras europeo (Caprimulgus europaeus), la abubilla (Upupa epops), el carpintero verde (Picus viridis) y el pico picapinos (Dendrocopus major). En las proximidades de riachuelos y arroyos es frecuente la presencia de la lavandera cascadeña (Motacilla cinerea) y del chochín común (Troglodytes troglodytes).
Dentro de la familia de los paseriformes, la variedad de especies ligadas a los ambientes forestales es amplia; en el ámbito de la Fraga de Catasós se pueden citar las siguientes: acentor común (Prunella modularis), camachuelo común (Pyrrhula pyrrhula), corneja (Corvus corone), escribano soteño (Emberiza cirlus), escribano montesino (E. cia), reyezuelo sencillo (Regulus regulus), reyezuelo listado (R. ignicapilla), herrerillo común (Parus caeruleus), herrerillo capuchino (Lophophanes cristatus), carbonero garrapinos (Periparus ater), mito (Aegithalos caudatus), carbonero común (Parus major), zarcero común (Hippolais polyglotta), agateador común (Certhia brachydactila), arrendajo (Garrulus glandarius), pardillo común (Carduelis cannabina), mirlo común (Turdus merula), urraca (Pica pica), zorzal (Turdus philomelos), zorzal charlo (T. viscivorus), zorzal real (T. pilaris), zorzal alirrojo (T. iliacus), papamoscas gris (Muscicapa striata), papamoscas cerrojillo (Ficedula hypoleuca), petirrojo europeo (Erithacus rubecula), curruca cabecinegra (Sylvia melanocephala), curruca zarcera (Sylvia communis), curruca capirotada (Sylvia atricapilla), mosquitero ibérico (Phylloscopus ibericus), pinzón vulgar (Fringilla coelebs), colirrojo (Phoenicurus ochruros), ruiseñor bastardo (Cettia cetti), verderón (Carduelis chloris), jilguero (Carduelis carduelis) y el verdecillo (Serinus serinus).
Es necesario mencionar que la Fraga de Catasós está dentro de los límites de un área prioritaria para la avifauna amenazada que incluye áreas prioritarias de reproducción, de alimentación, de dispersión y de concentración local de las especies de aves incluidas en el Catálogo gallego de especies amenazadas, en las cuales son de aplicación las medidas de protección contra la colisión y la electrocución en líneas eléctricas de alta tensión.
Entre las aves del Catálogo gallego de especies amenazadas incluidas en dicha resolución destacan, con mayor probabilidad de paso por el ámbito de la Fraga de Catasós, las siguientes: milano real (Milvus milvus), alimoche (Neophron percnopterus), aguilucho pálido (Circus cyaneus), aguilucho cenizo (C. pygargus), águila real (Aquila chrysaetos), sisón común (Tetrax tetrax) y las citadas anteriormente, agachadiza común (Gallinago gallinago) y chocha perdiz (Scolopax rusticola). Algunas de estas especies solo pueden observarse en una determinada época del año, como por ejemplo el sisón común, del que recientes trabajos de seguimiento de los movimientos migratorios citan su presencia en el entorno del bosque durante la época de cría y veraneo.
Aves
|
Especie |
92/43/CEE |
CEEA |
CGEA |
Directiva aves |
|
Aquila chrysaetos |
En peligro de extinción |
Anexo I |
||
|
Caprimulgus europaeus |
Anexo IV |
Anexo I |
||
|
Circus cyaneus |
Vulnerable |
Anexo I |
||
|
Circus pygargus |
Anexo IV |
Vulnerable |
Vulnerable |
Anexo I |
|
Gallinago gallinago |
En peligro de extinción |
|||
|
Milvus milvus |
Anexo IV |
En peligro de extinción |
En peligro de extinción |
Anexo I |
|
Neophron percnopterus |
Anexo IV |
Vulnerable |
Vulnerable |
Anexo I |
|
Scolopax rusticola |
Vulnerable |
|||
|
Tetrax tetrax |
Anexo IV |
Vulnerable |
En peligro de extinción |
Anexo I |
• Herpetofauna.
A continuación se citan las especies de anfibios y reptiles con posible presencia en la Fraga de Catasós, teniendo en cuenta su rango de distribución y requerimientos de hábitat. La presencia de las especies en el ámbito del bosque fue corroborada con las citas del Atlas de los anfibios y reptiles de Galicia, en la versión más actualizada, que data de 2019.
Entre las especies de anfibios pueden encontrarse, en el orden de los urodelos: la salamandra rabilarga (Chioglossa lusitanica), la salamandra común (Salamandra salamandra), el tritón jaspeado (Triturus marmoratus), el tritón ibérico (Lissotriton boscai) y el tritón palmeado (L. helveticus), y, dentro del orden de los anuros: el sapo partero común (Alytes obstetricans), el sapillo pintojo ibérico (Discoglossus galganoi), el sapo común (Bufo spinosus), la rana patilarga (Rana iberica), la rana bermeja (Rana temporaria) y la rana común (Pelophylax perezi).
Anfibios
|
Especie |
92/43/CEE |
CEEA |
CGEA |
|
Chioglossa lusitanica |
Anexo II |
Vulnerable |
Vulnerable |
|
Rana iberica |
Vulnerable |
||
|
Rana temporaria |
Vulnerable |
En cuanto a las especies de reptiles, se citan las siguientes: el eslizón tridáctilo ibérico (Chalcides striatus), el lagarto verdinegro (Lacerta schreiberi), la lagartija gallega (Podarcis bocagei), el lagarto arnal (Timon lepidus), el lución (Anguis fragilis), la culebra lisa europea (Coronella austriaca), la culebra viperina (Natrix maura), la culebra de collar (Natrix natrix) y la víbora de Seoane (Vipera seoanei).
Reptiles
|
Especie |
92/43/CEE |
CEEA |
CGEA |
|
Lacerta schrebei |
Anexo II |
Muchas especies de anfibios y reptiles se encuentran bajo algún régimen de protección, puesto que sus poblaciones están gravemente amenazadas por la pérdida de ecosistemas húmedos y la fragmentación del paisaje. De las especies citadas anteriormente, tres se encuentran en el Catálogo gallego de especies amenazadas clasificadas como vulnerables: Chiglossa lusitanica, Rana iberica y Rana temporaria.
• Invertebrados.
La fauna de invertebrados ligada a los bosques y castañares es extraordinariamente diversa. El número de especies presentes en estos ambientes es normalmente muy elevado, y comprende desde anélidos como las lombrices (Lumbricus terrestris), muy importantes para el mantenimiento de la fertilidad y estructura del suelo, hasta multitud de especies de arácnidos, insectos y moluscos como los caracoles terrestres (Helix aspersa) y las babosas (Arion ater).
Estas especies desempeñan un importante papel en el ciclo de nutrientes, tanto en el suelo como en los medios acuáticos, ayudan a controlar las plagas y las especies invasoras, contribuyen a realizar funciones ecológicas esenciales como la polinización y sirven de alimento para muchas otras especies como aves, pequeños mamíferos, murciélagos, etc.
Centrándonos en las especies protegidas presentes en el ámbito de la Fraga de Catasós, es necesario destacar la presencia del ciervo volante (Lucanus cervus), una especie recogida en el anexo II de la Ley 42/2007, de 13 de diciembre. La conservación de esta especie depende de la conservación de los bosques caducifolios. Las larvas se alimentan de la madera en descomposición, que consumen de forma voraz durante esta etapa que puede durar hasta 5 años, y de ahí la importancia de conservar los troncos de árboles viejos y ramas caídas en estos ambientes. Esta especie, considerada el coleóptero más grande de Europa, sufrió también una reducción importante debido a la captura de ejemplares por los coleccionistas.
Otras especies incluidas en el Libro rojo de los invertebrados amenazados de España, potencialmente presentes en el espacio protegido, de acuerdo con la adecuación del hábitat a sus requerimientos y a su rango de distribución, son las siguientes especies de artrópodos: Carabus galicianus, un carábido ligado a las zonas húmedas y ríos, coleópteros como Gnorimus variabilis, Silphotrupes punctatissimus y Hoplia coerulea, los odonatos Coenagrion mercuriale, Coenagrion scitulum y Gomphus simillimus simillimus. Entre los moluscos amenazados con presencia probable en el ámbito del espacio protegido, pueden citarse Geomalacus maculosus, babosa de tamaño grande de hábitos crepusculares bastante frecuente en robledales y casteñares, más habitual en zonas de montaña y clasificada como vulnerable en el Catálogo gallego de especies amenazadas, y Deroceras hispaniensis, una pequeña babosa no habitual en ambientes antropizados y que prefiere ambientes forestales de pinares y robledos.
Invertebrados
|
Especie |
Anexo II D 92/43/CEE |
CEEA |
CGEA |
Directiva aves |
|
Carabus galicianus |
Vulnerable |
|||
|
Coenagrion mercuriale |
Anexo II |
Vulnerable |
||
|
Coenagrion scitilum |
Vulnerable |
|||
|
Deroceras hispaniensis |
Vulnerable |
|||
|
Geomalacus maculosus |
Anexo II |
Vulnerable |
Vulnerable |
|
|
Gnorimus variabilis |
Vulnerable |
|||
|
Gomphus similinus similinus |
Vulnerable |
|||
|
Hoplia coerulea |
Vulnerable |
|||
|
Lucanus cervus |
Anexo II |
Preocupación |
||
|
Silphotrupes punctatissimus |
Vulnerable |
3.5. Hongos, líquenes y briófitos.
Los hongos son un grupo de organismos muy abundante en este tipo de ecosistemas e intervienen activamente en la descomposición de la materia orgánica y en el ciclo de nutrientes. En el espacio fue constatada la presencia de diversas especies de hongos, entre las que se encuentran Tricholoma portentosum, Macrolepiota procera (matacandil), Laetiporus sulphureus (pollo del bosque).
Por último, es necesario mencionar la presencia de musgos y líquenes presentes que desempeñan funciones como la captación de la humedad ambiental que contribuye a regular las condiciones microclimáticas, el enriquecimiento del sustrato en materia orgánica, la creación de refugios para pequeños invertebrados, la fijación de nitrógeno atmosférico, etc. Además, en el caso de los líquenes, se trata de especies bioindicadoras que sirven como control de la calidad del aire y del estado de conservación del bosque.
Entre las especies de musgos habituales e estos ecosistemas se encuentran: Polytrichum commune (musgo común), Eurhynchium riparioides, en márgenes de ríos y regatos, y Dicranum scoparium, muy común en bosques con elevada humedad formando almohadas. En cuanto a los líquenes, conviene destacar Cladonia furcata, situada sobre los troncos de árboles viejos; Usnea ceratina, que puede ser observada colgando de las ramas de árboles maduros; Nephroma laevigatum, muy común sobre la corteza de árboles presentes en zonas con elevada humedad, y Parmelia perlata, otra especie muy común en las orillas de arrollos y bosques húmedos caducifolios.
3.6. Formación singular.
La Fraga de Catasós está incluida en el Catálogo de árboles singulares desde el 10 de mayo de 2007, con el código 5F. La edad de esta formación está comprendida entre los 225 y 250 años. En la última revisión del estado de conservación y salud efectuada en los árboles y formaciones incluidos en este catálogo se detectó la presencia en este bosque de ramas secas en un porcentaje del 10 % en las zonas bajas de las copas por ausencia de la luz y que algunos de los ejemplares están muy inclinados, como en el caso del ejemplar con mayores dimensiones, que en la actualidad está sujeto por dos cables. También se observaron varios ejemplares con problemas estructurales por bifurcaciones y cáscara incluida.
Como propuesta de actuación, se establece la eliminación de las ramas secas de las copas de los ejemplares y la revisión periódica (anual) de los anclajes del ejemplar sujeto por cables.
4. Medio socioeconómico.
El monumento natural está situado en la parroquia de Catasós, perteneciente al ayuntamiento de Lalín. A continuación se exponen los principales indicadores relacionados con la población, la estructura económica y las infraestructuras de comunicación de este ayuntamiento.
4.1. Población.
El ayuntamiento de Lalín presenta, en el año 2020, una población de 20.207 personas, según los datos oficiales del padrón (IGE). Del total de habitantes, el 51,19 % son mujeres y el 48,81 % hombres. La población muestra una tendencia ascendente entre el año 2002 y el 2012, a partir del cual comienza a descender paulatinamente en los primeros años, mostrando un importante descenso entre los años 2013 y 2015, y manteniéndose estable hasta 2017, a partir del cual volvió a incrementarse hasta 2019 para, de nuevo, decrecer en el año 2020.
Tabla 1. Población actual y de los últimos 19 años del ayuntamiento de Lalín. Fuente: IGE.
|
2002 |
2003 |
2004 |
2005 |
2006 |
2007 |
2008 |
2009 |
2010 |
2011 |
2012 |
2013 |
2014 |
2015 |
2016 |
2017 |
2018 |
2019 |
2020 |
|
|
Hombres |
9.587 |
9.749 |
9.879 |
9.884 |
9.964 |
10.065 |
10.280 |
10.418 |
10.533 |
10.516 |
10.524 |
10.292 |
10.255 |
10.218 |
10.238 |
10.251 |
10.266 |
10.367 |
9.864 |
|
Mujeres |
10.310 |
10.442 |
10.567 |
10.623 |
10.634 |
10.675 |
10.766 |
10.830 |
10.915 |
10.932 |
10.877 |
10.723 |
10.679 |
10.621 |
10.626 |
10.629 |
10.675 |
10.704 |
10.343 |
|
Total |
19.897 |
20.191 |
20.446 |
20.507 |
20.598 |
20.740 |
21.046 |
21.248 |
21.448 |
21.448 |
21.401 |
21.015 |
20.934 |
20.839 |
20.864 |
20.880 |
20.941 |
21.071 |
20.207 |
En la tabla 1 se muestra la evolución de la población del ayuntamiento de Lalín desde el año 2002 hasta el año 2020. En la figura 6 se compara su población con la de las unidades territoriales a las que pertenece: a la comarca del Deza, de la que es la capital, a la provincia de Pontevedra y a la Comunidad Autónoma de Galicia.
La tendencia general es la de un aumento paulatino de la población hasta los años 2009-2010, a partir de los cuales comienza a mostrarse un decrecimiento. La población del ayuntamiento de Lalín y de la provincia de Pontevedra se estabiliza en los últimos años, mientras que a nivel de comunidad autónoma la población sigue disminuyendo. La excepción es la comarca del Deza, que muestra un descenso continuado desde el inicio de la serie. Tanto el ayuntamiento de Lalín como la comarca del Deza experimentan un descenso de población muy acusado en 2020.

Figura 6. Tendencia de la población entre los años 2002 y 2020 del ayuntamiento de Lalín, la comarca del Deza, la provincia de Pontevedra y la Comunidad Autónoma de Galicia. Los datos del ayuntamiento de Lalín y de la comarca del Deza van referenciados al eje vertical de la izquierda, mientras que los datos de población de la provincia de Pontevedra y de Galicia siguen la escala del eje vertical de la derecha. Fuente: IGE.
El ayuntamiento de Lalín está formado por 48 parroquias, siendo la de Lalín la que cuenta con la mayor población con diferencia (11.266 habitantes en el año 2019; fuente: INE). El resto de las parroquias presentan una población que va desde los/las 23 habitantes de la parroquia de Alemparte hasta los/las 956 habitantes de la parroquia de Donramiro, aunque la mayoría de ellas cuenta con una población menor de los 300 habitantes.
Las parroquias con más población son, en general, las que rodean a la parroquia de Lalín. La de Catasós, que alberga el monumento natural, tiene una población de 376 habitantes, por debajo de la media de población de las 48 parroquias (población media=418 habitantes).
La densidad de población de este ayuntamiento es de 61,83 habitantes por kilómetro cuadrado, por debajo de la densidad media del conjunto de Galicia y de la provincia de Pontevedra, pero por encima de la densidad de población de la comarca del Deza. Dentro del ayuntamiento, el reparto de la población es muy desigual, encontrándose el 55,75 % de los/las habitantes concentrados en la parroquia de Lalín, mientras que la población está muy dispersa en las restantes 47 parroquias, y reúne cada una de ellas, como máximo, al 5 % de los/as habitantes (Fuente: IGE).
Se trata de una población envejecida, con una edad media de 48,24 años (46,78 para los hombres y 49,65 las mujeres), más de una unidad superior a la de Galicia y casi tres unidades por encima de la edad media de la provincia de Pontevedra, pero dos años inferior a la de la comarca del Deza. El índice de envejecimiento del ayuntamiento de Lalín es de 181,38, es decir, por cada 100 habitantes menores de 20 años hay 181 mayores de 65. De nuevo, se repite el mismo patrón, siendo este índice de envejecimiento mayor que el del conjunto de la Comunidad o de la provincia de Pontevedra, pero menor que el de la comarca del Deza. El envejecimiento es mucho mayor en mujeres que en hombres, lo que se refleja también en el saldo vegetativo; esta brecha entre sexos se observa también en la comarca, en la provincia y en la Comunidad Autónoma. Atendiendo a la distribución de la población por grupos de edad, el mayor porcentaje de población se encuentra entre los 20 y los 64 años.
4.2. Estructura económica.
En este ayuntamiento tienen actividad 2.604 empresas, lo que supone el 1 % del total de las localizadas en Galicia. Prácticamente la mitad pertenecen al sector servicios, seguido de la agricultura (30 %). Se trata, en general, de empresas de pequeño tamaño, y la mayor parte de ellas tiene un máximo de 2 personas asalariadas.
Tabla 2. Número de empresas según el número de asalariados y la a actividad principal en el ayuntamiento de Lalín, año 2019. Fuente: IGE
|
Empresas por actividad |
Agricultura y pesca |
Industria |
Construcción |
Servicios |
|
775 |
196 |
346 |
1.273 |
|
|
Empresas por estrato de personas asalariadas |
||||
|
De 0 a 2 asalariados |
2.303 |
|||
|
De 3 a 5 asalariados |
161 |
|||
|
De 6 a 9 asalariados |
60 |
|||
|
De 10 a 19 asalariados |
41 |
|||
|
De 20 a 49 asalariados |
14 |
|||
|
De 50 a 99 asalariados |
5 |
|||
|
De 100 a 249 asalariados |
6 |
|||
|
De 250 o más asalariados |
- |
|||
La mayor parte de las afiliaciones a la Seguridad Social también se produce en el sector servicios, lo que supone más de la mitad del total de afiliaciones del ayuntamiento de Lalín. En segundo lugar se encuentra la industria, que produce un número algo mayor de afiliaciones que el sector primario, lo que concuerda con ser el segundo sector con mayor número de empresas con más de 3 personas asalariadas, después del sector terciario.
El desglose de afiliaciones a la Seguridad Social en 2019 por trimestre muestra que no hay grandes variaciones a lo largo del año.
Tabla 3. Afiliaciones a la Seguridad Social en alta laboral según el sector de actividad (CNAE-2009) en el ayuntamiento de Lalín, año 2019.Fuente: IGE.
|
Enero-marzo |
Abril-junio |
Julio-septiembre |
Octubre-diciembre |
|
|
Agricultura y pesca |
962 |
955 |
956 |
941 |
|
Industria |
1.426 |
1.421 |
1.440 |
1.422 |
|
Construcción |
763 |
767 |
786 |
754 |
|
Servicios |
4.519 |
4.577 |
4.579 |
4.565 |
El sector servicios es el que presenta un mayor impacto tanto en el número de empresas como en las afiliaciones a la Seguridad Social y en el paro del ayuntamiento de Lalín. Actualmente, el número de establecimientos hoteleros en Lalín es de 19 y oferta un total de 422 plazas. Las pensiones y los hoteles son los que presentan un mayor número de alojamientos y también los que ofertan un mayor número de habitaciones y de plazas.
Tabla 4. Alojamientos turísticos en el ayuntamiento de Lalín, marzo de 2021. Fuente: Turismo de Galicia.
|
Tipo de alojamiento |
Número de alojamientos |
Número de habitaciones |
Número de plazas |
|
Albergues turísticos |
1 |
||
|
Apartamentos turísticos |
1 |
4 |
14 |
|
Hoteles |
5 |
125 |
242 |
|
Pensiones |
9 |
65 |
92 |
|
Turismo rural |
3 |
18 |
36 |
|
Viviendas de uso turístico |
0 |
3 |
8 |
|
Total |
19 |
215 |
422 |
4.3. Infraestructuras de comunicación.
El ayuntamiento de Lalín es atravesado por la autopista de peaje AP/AG-53 que comunica la ciudad de Ourense con la de Santiago de Compostela, con un acceso a la villa de Lalín.
De forma relativamente paralela a la autopista, discurre la carretera nacional N-525. Esta carretera comienza en Benavente y finaliza en Santiago de Compostela, pasando por poblaciones como Verín, Ourense y Lalín.
La carretera nacional N-640 entra en el ayuntamiento por el nordeste. Esta carretera permite la comunicación de Lalín con la ciudad de Lugo y continúa hasta el norte de la misma provincia.
La comunicación de Lalín con la ciudad de Pontevedra se realiza a través de la carretera provincial PO-534, que une la villa de Lalín con la carretera N-541, que comunica las ciudades de Ourense y Pontevedra.
El ayuntamiento de Lalín también es atravesado por la línea de ferrocarril que une Ourense y Santiago de Compostela, así como por la línea del AVE que une estas dos ciudades. No obstante, los servicios de tren que unen Lalín con Ourense y Santiago de Compostela son muy escasos, solo un tren diario.
En lo que respecta a las vías de comunicación que unen el monumento natural con los núcleos urbanos próximos, la principal vía es la carretera nacional N-525 (Benavente-Santiago de Compostela) que une la Fraga con la villa de Lalín y que delimita la Fraga por el sudoeste. La Fraga se encuentra a 3 km del núcleo de Lalín y a 1 km de la unión de la autopista AP/AG-53 con la carretera nacional N-525. Según los datos publicados por el Ministerio de Fomento para el año 2017, esta carretera nacional, en la estación más próxima a la Fraga de Catasós (estación E-395-0), soportó una intensidad media diaria de 541 vehículos.

Figura 7. Accesos al monumento natural Fraga de Catasós. Fuente: IDEG e IGN.
4.4. Patrimonio cultural.
Los bienes de interés cultural (BIC) son aquellos bienes muebles, inmuebles e inmateriales más singulares del patrimonio cultural, declarados por decreto del Consello de la Xunta de Galicia.
Según el Registro de Bienes de Interés Cultural de Galicia, del total de 744 BIC declarados en la Comunidad Autónoma de Galicia, casi la mitad de ellos están localizados en la provincia de Pontevedra (332 BIC); de estos, a su vez, el 5 % pertenecen a la comarca del Deza y el 1 % se localizan en el ayuntamiento de Lalín.
De los tres BIC situados en el ayuntamiento de Lalín, uno es un monumento y los otros dos se clasifican como zona arqueológica:
• Pazo de Liñares (Decreto 334/2009, de 4 de junio, por el que se declara bien de interés cultural, con la categoría de monumento, el Pazo de Liñares, en el ayuntamiento de Lalín, provincia de Pontevedra): localizado en la parroquia de Prado, es una de las obras de carácter civil más significativas de la Tierra del Deza, donde se yergue como muestra singular de la tipología pacega de la comarca en la que se sitúa, evidenciando la importancia de este pazo que destaca por el porte señorial y su monumentalidad.
• Cámara megalítica Mámoa da Cruz (Resolución de la Dirección General del Patrimonio Cultural): localizada en el Monte Fonteiriño, lugar de Alperiz. La Mámoa da Cruz pertenece a un conjunto de siete mámoas conocido como las Mámoas da Cruz, de las cuales solo se conservan tres. En el año 2011 fue reconocida por el Departamento de Cultura de la Xunta de Galicia.
• Altar do Sol (Decreto 3741/1974): gravado rupestre localizado en el Monte Fonteiriño, lugar de Alperiz. Se conoce como Altar do Sol a la piedra que preside el conjunto megalítico conocido como Mámoas da Cruz.
En las proximidades del monumento natural existen dos yacimientos arqueológicos:
• Castro de Quintela, localizado al norte del lugar de Quintela, a unos 450 m de distancia aproximadamente de la Fraga de Catasós.
• Castro de Catasós, localizado en el sector sudoeste del lugar de Catasós, a unos 600 m de la fraga.
Además, existen referencias de la presencia de mámoas lindando con el sector sudeste del bosque, pero están pendientes de catalogación.
4.5. Equipamientos, infraestructuras y servicios.
El acceso a la Fraga de Catasós se realiza a través de la carretera N-525 que enlaza con una pista forestal que llega hasta el borde de la entrada principal del espacio. La pista continúa y bordea el espacio protegido, dando acceso a las otras dos entradas.
No existe un aparcamiento habilitado. Las personas que se acercan hasta el bosque dejan los vehículos en la propia pista.
Dentro de los límites del monumento natural hay un sendero principal que permite recorrer el bosque por su interior. Este sendero está dotado de señalización que ayuda a seguir un sentido en la visita recomendado, y cuenta también con paneles informativos e interpretativos sobre los valores o recursos del espacio.
Existe además un vallado de madera que delimita el monumento natural en todo su contorno, junto con muros de piedra. Solo existe una zona en la cual este vallado fue instalado por razones de seguridad, para evitar un desnivel, sin que se corresponda con los límites del espacio.
En el siguiente mapa se reflejan la situación del sendero que recorre el espacio, así como los accesos y las diferentes tipologías de señalización.

Figura 8. Mapa de situación de los accesos, sendero y señalización en la Fraga de Catasós
• Senderos.
En el interior de la fraga hay un sendero circular que permite recorrerla y del que salen otros senderos que también dan acceso o llevan a zonas concretas del bosque. El sendero principal es el que, en gran parte, canaliza el flujo de visitas, absorbiendo así el impacto ocasionado por las pisadas. La longitud total de estos senderos es de 1.070,75 m, con una anchura máxima de 2,70 m, mínima de 1,80 m y una anchura media de 2,25 m.
Se trata de una senda que discurre en gran parte por el sotobosque de la fraga, aunque cuenta con tramos que atraviesan una zona de claro. Justo en esta zona de claro puede apreciarse a simple vista que el camino marcado tuvo una aportación de piedras, seguramente como forma de afianzarlo.
El estado actual de conservación del sendero es bueno.
• Señalización de acceso/bienvenida.
Hay un panel en el desvío de la entrada a la pista que conduce al monumento natural, situado en la propia carretera N-525. Su estado de conservación es adecuado.
Dos de los accesos de entrada al bosque, acceso 1 y acceso 2, cuentan con un panel informativo que recoge, básicamente, los valores más destacados del monumento natural.
El panel de acceso es doble y cuenta con tres soportes de madera y dos paneles en los que consta la siguiente información:
– Un bosquejo del espacio, con ilustraciones de las especies más destacadas de flora y fauna. El cartel refleja la delimitación del espacio y la normativa más destacada.
– Información sobre la fecha de su declaración como espacio protegido y algunos de los valores mas relevantes. También expone su relación con el Pazo de Quiroga y con la escritora Emilia Pardo Bazán.
El estado actual de conservación de esta tipología de carteles es muy buena. En cuanto a información facilitada, se considera correcta, si bien se detecta la aplicación de técnicas de comunicación no demasiado adecuadas al público general, tanto en lo referente al desarrollo de los contenidos como al propio diseño gráfico, de forma que faciliten y atraigan a las personas visitantes para su lectura y comprensión.
• Señalización informativa/interpretativa.
La señalización informativa/interpretativa presenta dos tipologías de paneles o señales: (i) paneles con información sobre algún detalle relevante del espacio o descripción de un recurso concreto, y (ii) señales informativas de advertencia de peligro.
Entre los primeros, que se pueden considerar más informativos/interpretativos, están los paneles que contienen información sobre alguna temática relacionada con el ecosistema del bosque. Las temáticas que se tratan son:
– Las setas en el bosque.
– El ciclo en el bosque.
– El Souto Manso.
El formato del panel es de tipo rústico, de madera con un marco y dos pies, con un travesaño y un vinilo que contiene la información.
Dentro de la señalización informativa se incluyen dos paneles situados en dos de los tres accesos de entrada (acceso 1 y acceso 3), en los que se informa sobre las actuaciones de mejora del uso público llevadas a cabo.
Además, hay una parte del espacio en la que se detectó la existencia de peligro a causa del desnivel existente. Por este motivo, y para prevenir riesgos, existe una señal informativa que advierte del peligro y un vallado igual que el que delimita el espacio protegido.
El estado actual de conservación de la señalización informativa es bueno. En el caso de los paneles interpretativos, se considera aceptable, no tanto por el estado del vinilo, sino por el estado del marco del soporte de madera que está un poco degradado.
En relación con la señalización de tipo interpretativo, se trata más bien de información de tipo técnico y no información dirigida al público general; se detecta la aplicación de técnicas de comunicación no demasiado adecuadas, tanto en cuanto a los contenidos como en lo referido a un diseño gráfico que facilite su atractivo y comprensión. Las temáticas elegidas en estos paneles se consideran adecuadas para ampliar la difusión de los valores del propio bosque y de los ciclos vitales que se desarrollan en él.
• Señalización direccional.
Se denomina así aquella señalización que sugiere un sentido de recorrido en los senderos con el objetivo de dirigir el flujo de personas dentro del espacio.
En el espacio existe una señalización direccional hecha en postes de madera y colocada en diversos puntos a lo largo del sendero que sugiere un sentido para llevar a cabo el recorrido propuesto.
Algunos de estos postes tienen sección circular y otros cuadrada, lo que puede causar cierta confusión entre las personas usuarias. Esta circunstancia se debe a que fueron reutilizados de otros espacios para señalizar este. Ambas tipologías de poste tienen la parte superior pintada en color verde y cuentan con una flecha en color blanco que indica el sentido de dirección sugerido; en general, tienen un buen estado de conservación.
• Otra señalización.
Por último, puede verse una señalización provisional, apoyada sobre uno de los árboles, en la pista limítrofe exterior del monumento natural. Esta señal carece de logotipos, lo que imposibilita asociar su realización a una entidad determinada, y está realizada de manera muy precaria (impresión plastificada sobre un pequeño soporte de madera).
En esta señal aparecen dos indicaciones: (i) «de frente visitar el Pazo de Quiroga y continuar recorrido corto» y (ii) «a la derecha continuar por el recorrido largo». Es necesario destacar que en la parte superior aparece indicado que se trata de la Ruta de las Fragas de Catasós.
Posteriormente, en conversaciones mantenidas que el Ayuntamiento de Lalín, se indica que esta señalización se corresponde con las rutas organizadas por la Asociación de Voluntarios Roteiros de Lalín. También dentro de este tipo de señal provisional se encontró otra señal direccional con el logotipo de dicha asociación (una hoja de roble).
• Vallado del espacio protegido.
Todo el monumento natural está delimitado bien por un vallado de piedra, como separación tradicional de las fincas, o bien por un vallado de madera que instaló la Consellería de Medio Ambiente, Territorio y Vivienda en estos últimos años.
Solo hay una parte del espacio, la correspondiente a la señalización de peligro por el desnivel existente, en la que el vallado instalado no se corresponde con los límites del monumento natural.
El estado actual del vallado de madera es muy bueno, no así el vallado tradicional de piedra, que presenta, en algunos puntos, tramos derribados parcialmente.
4.6. Usos y aprovechamientos.
• Aprovechamientos forestales y usos tradicionales.
Según el Decreto 76/2000, de 25 de febrero, de declaración del monumento natural, en el espacio se podrán realizar aprovechamientos forestales siempre que estos sean autorizados por el órgano competente en materia forestal, y previo informe favorable del Servicio Provincial de Medio Ambiente Natural, ahora Patrimonio Natural.
Según el artículo 34.3 de la Ley 42/2007, de 13 de diciembre, la explotación de recursos está limitada y deberá ser coherente con la conservación de los valores que se pretende proteger, y requerirá siempre de la pertinente autorización administrativa.
Conforme a la Ley 7/2012, de 28 de junio, de montes de Galicia, se consideran aprovechamientos forestales los que tienen como base territorial el monte y, en especial, los madereros y leñosos, incluida la biomasa forestal, y los no madereros, como el corcho, los pastos, la caza, los frutos, los hongos, las plantas aromáticas y medicinales, los productos apícolas y los demás productos y servicios característicos de los montes.
En el monumento natural se detectan algunas actuaciones llevadas a cabo por el vecindario más próximo o por las personas visitantes, como es la recogida de setas y castañas durante los meses de otoño para consumo propio, siendo una actividad que no revierte en un aprovechamiento comercial pero que, en cualquier caso, debe estar regulada.
No se hace un aprovechamiento de la madera obtenida de las labores propias de mantenimiento. Así, la mayor parte de la madera de los árboles derribados o cortados por motivos de seguridad por su afectación por un temporal ocurrido a principios del año 2017 fueron lascadas y dejadas en el monte como forma de aportar estos nutrientes de la biomasa forestal al suelo, y no se hizo un aprovechamiento o venta externa de esa madera.
En el interior del bosque se detectaron algunos ejemplares puntuales de alcornoque (Quercus suber) en los cuales sí se puede apreciar su aprovechamiento en el pasado para la extracción de corcho, actividad que hoy en día ya no se lleva a cabo.
El monumento natural está incluido dentro del territorio correspondiente al terreno cinegéticamente ordenado (tecor, en adelante) de Lalín. Este tecor es de tipo societario y se constituye de acuerdo con la Ley 13/2013, de 23 de diciembre, de caza de Galicia, como resultado de la conversión del antiguo coto de Rodeiro. La fecha de resolución inicial del tecor es de 16 de mayo de 2001, con una modificación posterior de 6 de marzo de 2006. La sociedad titular del aprovechamiento cinegético es la Sociedade de Caza e Pesca de Lalín. El tecor de Lalín tiene por número de matrícula el PO-10.182 y una superficie, tras la última modificación, el 6 de marzo de 2006, de 31.000 ha. Posee un POC correspondiente al 5º período de ordenación (2021-2026) cuya vigencia es de 5 años.
Según el artículo 13 de la Ley 13/2013, de 23 de diciembre, el/la titular del tecor tiene el derecho de caza de todas las especies cinegéticas que se encuentren en él, atendiendo al POC.
El ámbito de la Fraga de Catasós, al estar incluido en los límites del tecor, es susceptible de aprovechamiento cinegético. No obstante, no existen datos que corroboren que se está llevando a cabo esta actividad dentro del espacio. El propio uso público dificulta la caza por razones de seguridad, atendiendo a lo establecido en la Ley 13/2013, de 23 de diciembre (artículo 63. Seguridad en las cacerías). Además, el propio espacio, por su naturaleza, se considera incompatible con la práctica de la caza, atendiendo a su valor biológico, científico y educativo.
La Ley 42/2007, de 13 de diciembre, citaba en su artículo 33.3 que en los monumentos naturales con carácter general está prohibida la explotación de recursos, salvo en aquellos casos en que por razones de investigación o conservación se permita la misma, previa la pertinente autorización administrativa. Por lo tanto, desde su entrada en vigor, en el monumento natural no estaba permitida la caza. Aunque el monumento natural no consta como espacio natural protegido del tecor, el nuevo artículo 34.3 de la Ley 42/2007, de 13 de diciembre, que resulta de la modificación del artículo 33 por la Ley 33/2015, de 21 de septiembre, expone que la explotación de recursos está limitada y deberá ser coherente con la conservación de los valores que se pretende proteger, y requerirá siempre de la pertinente autorización administrativa.
Además, en el Decreto 76/2000, de 25 de febrero, de declaración del monumento natural, ya quedaba explicitado que dicha declaración de la Fraga de Catasós como monumento natural no impedirá las actividades que no menoscaben los valores naturales que fundamentan la protección que con este decreto se pretende. En concreto, podrán llevarse a cabo trabajos silvícolas, reducción de matorral, limpieza de sendas, poda, eliminación de pies y otros trabajos que colaboren a su mantenimiento. Para el resto de las actividades se requerirá, con carácter previo, autorización de la Consellería de Medio Ambiente, Territorio y Vivienda, sin perjuicio de los permisos, licencias y demás autorizaciones que sean exigidos por otras disposiciones legales.
En el interior de la Fraga no hay aprovechamiento de pastos, pero sí que se permitió el paso a través a la vecindad, con el objetivo principal de llevar el ganado vacuno a pastar a sus fincas, pero también de forma puntual para acceder a las fincas con maquinaria agrícola (tractores) en la época de la cosecha de los cultivos, por ejemplo de la patata.
Otros de los usos importantes que se realizan en el bosque, previa autorización administrativa, son las cosechas de material y muestras de diferente tipología para trabajos de investigación que se llevan a cabo desde varios organismos y universidades.
Además, se autorizaron trasplantes de castaños del espacio protegido a otros lugares de interés natural del ayuntamiento (Jardín Botánico, Carballeira do Rodo, paseo de Pontiñas). Esta solicitud la llevó a cabo la Concejalía de Urbanismo del Ayuntamiento de Lalín. Se trasplantaron una docena de ejemplares de entre 2 y 2,5 metros de altura y de 3 a 4 cm de diámetro en su base. La autorización precisa que los ejemplares sean escogidos sin detrimento del buen desarrollo del bosque, mediante clareo, arrancando los pies escogidos con raíz, sin afectar a los que se encuentren contiguos.
• Uso público.
Uno de los principales usos actuales del bosque es el uso público por parte de las personas que se acercan a este espacio protegido para conocer sus valores naturales o simplemente para dar un paseo en la naturaleza. No hay registros del número de personas que recibe este espacio. En su entorno inmediato no están habilitadas zonas de aparcamiento para vehículos, por lo que estos quedan normalmente estacionados en la pista que da acceso al bosque o en la orilla de la carretera N-525, en un claro situado a unos 200 metros de la pista de acceso al espacio natural.
Es importante resaltar que, según lo estipulado en el Decreto 76/2000, de 25 de febrero, en su artículo 3, en todo el ámbito del monumento natural no está permitido el estacionamiento y circulación de vehículos fuera de los caminos y vías existentes, excepto de los vehículos y maquinaria propios de la actividad agrícola y forestal.
Dentro de este uso público estarían las rutas de senderismo organizadas y promovidas por el Ayuntamiento de Lalín, así como por la Asociación de Voluntarios Roteiros de Lalín, que desarrollan rutas tanto a pie como en bicicleta (ruta BTT) que se acercan y pasan por la Fraga de Catasós.
Se conoce la existencia de rutas a caballo que pasaban por el bosque, llevadas a cabo por parte de una asociación caballar de la comarca del Deza. Se trata de rutas y actividades promovidas desde entidades privadas, bien desde asociaciones o grupos organizados, bien a través de la oferta turística de empresas de actividades de ocio y tiempo libre.
Turismo de Galicia también promociona la Fraga de Catasós como «un paseo alfombrado de hojas», y propone una ruta circular sencilla de aproximadamente 1 hora de duración para conocer la belleza de este espacio.
Otra actividad realizada, si bien no es un uso común dentro del espacio, fue la grabación de una cuña publicitaria en el interior del bosque, grabación que fue autorizada por no suponer la alteración de los valores naturales relativos a la flora y fauna silvestres que determinaron la declaración de este espacio protegido.
5. Identificación de presiones y amenazas.
Con el objetivo de identificar las presiones y amenazas que pueden afectar al ámbito de actuación del Plan de conservación, se aborda, en primer lugar, una clasificación de los usos existentes susceptibles de producir impactos en los valores del espacio. Los tipos de presiones se clasifican según el listado que figura en el apéndice E de la Decisión 97/266/CE, relativa a un formulario de información sobre un espacio propuesto para su inclusión en la Red Natura 2000, en su versión actualizada por la Decisión de ejecución de la Comisión, de 11 de julio de 2011.
Si bien el ámbito del monumento natural no está incluido entre los espacios de la Red Natura 2000 de Galicia, esta metodología facilita un abordaje sencillo que puede ser reproducible en otros ámbitos, ya que se focaliza en los usos que puedan afectar de forma significativa a la conservación de los hábitats y especies y, por lo tanto, que puedan poner en peligro la integridad del espacio protegido.
Los usos se presentan en una tabla sintética donde se especifica, para cada uno de ellos, el código de las categorías de nivel 2 de las amenazas, presiones y actividades de la Decisión de la Comisión, y de los impactos derivados. Cada impacto se valorará cualitativamente conforme a los siguientes atributos:
• Signo (+/-): efecto del impacto sobre el factor ambiental (positivo o negativo).
• Importancia (B/M/A): grado de incidencia del impacto sobre la conservación de los valores naturales, en especial de aquellos que motivaron su catalogación como monumento natural (baja, media o alta).
• Localización (I/E/A): situación del impacto en relación con los límites del espacio protegido (interior, exterior o ambos).
• Extensión (P/L/E): área de influencia potencial del impacto en el entorno del Plan de conservación, equivalente al área afectada en el ámbito considerado (puntual, local o extensa).
• Intensidad (0/1/2/3): grado de incidencia sobre el factor, que puede venir determinado por su extensión o su área de influencia (grado de destrucción bajo, medio, alto o muy alto).
Los impactos vienen determinados por la interacción entre el uso y los elementos que conforman el ambiente en el que se desarrollan esos usos o actividades, y su magnitud depende de su estado de conservación, su valor y su fragilidad. Así, un mismo uso puede ocasionar un impacto positivo en un determinado ecosistema y negativo en otro.
No se busca realizar una valoración exhaustiva para cada uno de los impactos presentes, sino una descripción general de los usos y presiones más importantes identificados en el entorno del espacio protegido, acompañada de una valoración cualitativa de los impactos potenciales, tanto negativos como positivos, que permita la planificación de medidas y actuaciones adecuadas de gestión para su mitigación y la conservación a largo plazo de los valores naturales del espacio.
Del mismo modo, se identifican los elementos clave asociados a los usos y presiones identificados y las especies o elementos del ecosistema potencialmente más vulnerables a los impactos.
5.1. Principales usos presentes en el territorio.
De manera resumida, se identifican en el ámbito territorial y en el entorno del espacio protegido los siguientes usos o presiones susceptibles de ocasionar impactos sobre los valores naturales:
• Usos agrícolas (A): modificación de las prácticas de cultivo o abandono de cultivos, pastoreo de ganado no intensivo, abandono de pastos, reestructuración de tierras agrícolas.
• Usos forestales (B): eliminación del sotobosque, eliminación de árboles muertos o moribundos, prácticas de silvicultura (uso de biocidas, hormonas y productos químicos).
• Transportes y redes de comunicación (D): caminos, pistas y circuitos para BTT, carreteras y áreas de aparcamiento, líneas eléctricas y de comunicación.
• Usos urbanos y de desarrollo residencial (E): crecimiento de la ocupación humana dispersa, crecimiento de la infraestructura agrícola y edificaciones.
• Uso de recursos biológicos diferentes de la agricultura y de la silvicultura (F): recolección de plantas, frutos y hongos, actividad cinegética.
• Intrusismos humanos y perturbaciones (G): tránsito de personas, actividades de senderismo, equitación, uso de vehículos motorizados y no motorizados, vandalismo.
• Riesgo de contaminación (H): contaminación difusa por actividades agrícolas o forestales, presencia de basura y residuos sólidos en el espacio natural y en su entorno.
• Especies invasoras (I): presencia de especies invasoras no nativas.
• Modificaciones del sistema natural (J): incendios provocados, reducción antropogénica de la conectividad del ecosistema.
• Procesos naturales bióticos y abióticos (K): riesgo moderado de erosión en zonas puntuales, enfermedades producidas por hongos, insectos u otras especies (patógenos microbianos).
• Catástrofes naturales y acontecimientos geológicos (L): riesgo moderado de inundación, incendios naturales (por causas naturales, por ejemplo un rayo), tormentas y ciclones.
• Cambio climático (M): incremento de las temperaturas medias anuales, sequías y reducción de las precipitaciones.
5.2. Usos compatibles con la conservación del espacio.
Entre los usos que tienen lugar en el espacio protegido se pueden identificar determinadas actividades que, aunque son susceptibles de ejercer cierta presión sobre los recursos naturales, no suponen una merma significativa de los valores naturales que originaron su declaración como espacio protegido.
No obstante, para evitar la amenaza que pueden llegar a suponer si no se regulan adecuadamente, es preciso su caracterización y la toma de medidas adecuadas que permitan su regulación. Estas medidas estarán orientadas a potenciar las actividades con criterios ecológicos, de forma que se garantice la conservación a largo plazo de los valores naturales al tiempo que se impulsa el desarrollo sostenible del territorio.
Las actividades potencialmente compatibles con la conservación del espacio protegido son:
– Uso recreativo y turístico del espacio: actualmente, el uso principal del monumento natural es la visita como actividad recreativa y/o turística con el objetivo de apreciar los valores paisajísticos y naturales del espacio. A través de los senderos existentes, las personas pueden recorrer el bosque con este fin. El uso recreativo no supone actualmente afecciones negativas significativas a los valores del espacio y repercute positivamente en el conocimiento y en la sensibilización ambiental. No obstante, sin un control adecuado podría generar un impacto futuro sobre la conservación.
– Actividades de recolección de recursos biológicos: se constata la utilización del espacio protegido por parte del vecindario como castañar en el que recogen castañas y hongos comestibles para consumo particular. Se trata de un aprovechamiento limitado, sin indicios de que repercuta en una actividad comercial, por lo que no se considera que genere impactos negativos que lo hagan incompatible con la conservación.
– Uso forestal: no hay una explotación forestal propiamente dicha. Los trabajos silvícolas realizados en el espacio tienen una función de mantenimiento de los árboles y de los senderos, mejora de la conservación y control de enfermedades, no de explotación del recurso. El destino de los restos vegetales procedentes de los trabajos de mantenimiento es el descarte como residuo orgánico, tratándose de manera similar a otros restos de trabajos silvícolas de mantenimiento, o su depósito en el suelo del propio espacio con la finalidad de devolver la materia orgánica al suelo. La actividad, tal y como establece la propia declaración del monumento natural, no supone ninguna incompatibilidad con la conservación de los valores del espacio; por el contrario, se contribuye al mantenimiento en buen estado de conservación.
5.3. Descripción de presiones e impactos potenciales.
A continuación, se describen las presiones e impactos potenciales derivados de los usos y actividades que se llevan a cabo en el espacio y su entorno, susceptibles de ocasionar impactos sobre el monumento natural.
|
Código |
Uso/presión |
Descripción del uso |
Signo [+/-] |
Importancia [B-M-A] |
Localización [I-E-A] |
Extensión [P-L-E] |
Intensidad [0-1-2-3] |
Especies o elementos naturales vulnerables a los impactos |
|
A03.03 |
Abandono de pastos |
Alteración en la composición de los ecosistemas, pérdida de conectividad ecológica de los hábitats de especies de fauna y flora, afección a hábitats seminaturales, degradación del paisaje e incremento del riesgo de incendios por la acumulación de biomasa combustible. |
- |
M |
E |
L |
2 |
Especies de fauna y flora, hábitats naturales y seminaturales, y árboles singulares y paisaje. |
|
A04.02 |
Pastoreo no intensivo |
La cría tradicional de ganado de baja intensidad contribuye a mantener un paisaje en mosaico fragmentado que alterna una gran riqueza de hábitats y favorece la presencia de fauna característica. El control de los pastos reduce el riesgo de incendios, dado que reduce el material combustible. Además, tiene beneficios económicos y ayuda a fijar población local. |
+ |
B |
E |
P |
1 |
Paisaje, diversidad vegetal, fauna y suelo. |
|
A05.01 |
Cría de ganado |
La cría tradicional de ganado en fincas delimitadas por muros construidos con materiales autóctonos o setos contribuye al mantenimiento del paisaje rural gallego, el mosaico de usos, y proporciona refugio y zonas de alimento y hábitat para diversas especies de aves, reptiles, murciélagos e invertebrados. Además, mejora la conectividad ecológica del espacio y aumenta el valor paisajístico y la integración visual del bosque en un mosaico de usos diverso. |
+ |
B |
E |
P |
1 |
Especies de fauna, sobre todo aves, reptiles, murciélagos e invertebrados. Paisaje. |
|
A06.04 |
Abandono de cultivos |
Desprotección del suelo, acumulación de biomasa combustible que incrementa el riesgo y la gravedad de los incendios. Transformación del paisaje y modificación de los ecosistemas. Pérdida de conectividad ecológica. |
- |
M |
E |
L |
2 |
Especies de fauna y flora. |
|
B02.03 |
Eliminación y limpieza del sotobosque |
En condiciones normales, las actividades de limpieza del sotobosque pueden causar la destrucción de las plántulas de castaño, roble u otras especies que crecen en el sotobosque. Además, como efecto indirecto, la eliminación de las especies autóctonas puede dar lugar a la colonización del espacio por otras especies alóctonas oportunistas. No obstante, en este espacio protegido estas limpiezas se limitan a las mínimas relacionadas con la gestión del espacio, teniendo especial cuidado en los valores a proteger. |
- |
B |
I |
P |
0 |
Especies vegetales arbustivas y herbáceas de interés, especies amenazadas como Narcissus cyclameneaus, hongos, pequeños invertebrados, mamíferos y reptiles. |
|
B02.04 |
Eliminación de árboles muertos y/o moribundos |
La eliminación de árboles muertos o los restos de podas puede generar un impacto negativo en el ecosistema natural del bosque, ya que son elementos que deben permanecer en el sotobosque para mantener su función ecológica, fomentando la descomposición natural y la aportación de los nutrientes al suelo. También sirven como refugio o fuente de alimentación a diversas especies tanto de flora como de fauna. No obstante, en los trabajos de gestión del espacio natural no se eliminan todos los restos, sino que se deja una proporción para que realice su función ecológica. |
- |
B |
I |
P |
0 |
Invertebrados, especialmente arácnidos e insectos, aves forestales, quirópteros y diversas especies de plantas herbáceas, ruderales y epífitas, musgos, líquenes y hongos que suelen crecer sobre los troncos y ramas caídas. |
|
B04 |
Uso de biocidas, hormonas y productos químicos (silvicultura) |
El uso de biocidas, hormonas o productos químicos se realiza para el control de plagas y enfermedades que afectan a los cultivos, así como a los castaños. Estos compuestos circulan por el aire afectando a otras especies que no constituyen amenazas o plagas y depositándose en el suelo donde son infiltrados al subsuelo, influyendo en la calidad del agua de los cursos próximos. |
- |
B |
E |
P |
1 |
Aire, suelo y agua superficial y subterránea. Fauna: pequeños invertebrados, anfibios y reptiles. Flora autóctona. |
|
B05 |
Uso de fertilizantes (silvicultura) |
Los fertilizantes son sustancias químicas que se emplean como factores que aumentan el crecimiento de los cultivos. Estos compuestos circulan por el aire y se depositan en el suelo donde son infiltrados al subsuelo, afectando a la calidad del agua. Además, pueden favorecer el crecimiento de especies de flora invasoras que compitan con la biodiversidad de flora autóctona. |
- |
B |
E |
P |
1 |
Aire, suelo y agua superficial y subterránea. Fauna: pequeños invertebrados, anfibios y reptiles. Flora autóctona. |
|
D01.01 |
Sendas, pistas y carriles para bicicletas |
La presencia de los caminos y sendas en el interior del espacio protegido tiene un efecto sobre el incremento de la presencia humana importante, si bien delimita las zonas que son adecuadas para el uso público. Pueden producir fragmentación en los hábitats naturales, reducción de la porosidad y drenaje del suelo, reducción de la materia orgánica y de la fertilidad por la retirada de vegetación, desaparición directa de especies de flora, afección a las especies de fauna sensibles a la presencia humana y a la reducción de su hábitat natural y de las zonas de refugio. |
+/- |
B |
I |
L |
0 |
Hábitats naturales, suelo, flora, fauna y paisaje. |
|
D01.02 |
Carreteras y autopistas |
La presencia de la carretera nacional que pasa por delante del espacio puede ocasionar una mayor afección por la circulación de vehículos y la propia presencia de la vía. Los impactos derivados de esta infraestructura están relacionados con la fragmentación de los hábitats naturales, incidencia visual y degradación del paisaje, aumento del ruido ambiental, contaminación del suelo, afección directa a especies de mamíferos, anfibios y reptiles por atropello. |
- |
M |
E |
L |
1 |
Paisaje, hábitats naturales, suelo, flora y fauna. |
|
D02.01 |
Líneas eléctricas y de comunicaciones |
La presencia humana en el territorio lleva asociada la necesidad de infraestructuras de servicios (telefonía, red eléctrica) que suponen una presión sobre los ecosistemas de alto valor. Especialmente afectadas por este tipo de infraestructuras estarían las especies arbóreas y las aves que en ellas habitan, con riesgo de su tala y de muerte por colisión o electrocución, respectivamente. Produce también incidencia visual por la instalación de postes y cables y por la reducción de la calidad paisajística. |
- |
M |
E |
L |
1 |
Especies arbóreas, aves, especialmente forestales como las rapaces. Paisaje. |
|
E01.03 |
Ocupación dispersa |
La presión humana dispersa sobre el territorio tiene diferentes efectos directos e indirectos sobre la conservación de los ecosistemas, principalmente afecta a su conectividad y alterando el paisaje y composición de especies. Afecta a la conectividad ecológica del bosque al desaparecer hábitats naturales que ejercen de áreas de enlace con el espacio protegido. Además, ocasiona la desaparición de las especies más sensibles a la presencia humana. |
- |
M |
E |
L |
2 |
Hábitats naturales, paisaje, suelo y especies de flora y fauna. |
|
E04.01 |
Infraestructura agrícola, edificaciones |
Construcciones para el uso agrícola, aperos de labranza, viviendas precarias y construcciones no integradas que pueden llegar a degradar el paisaje. Reducción de la calidad visual y de la integración del espacio protegido al introducir elementos sobresalientes que aumentan la apariencia antropizada y artificial del entorno. |
- |
M |
E |
L |
1 |
Paisaje. |
|
F03.01 |
Caza |
La actividad cinegética puede tener repercusiones negativas sobre los valores naturales presentes en el espacio protegido o sobre su uso público. |
- |
B |
A |
E |
0 |
Especies silvestres con valor cinegético y otras especies silvestres no cinegéticas. Pérdida del carácter natural y del valor recreativo del monumento natural. |
|
F04.02 |
Recolección de hongos, líquenes, frutos (bayas, castañas...) |
La recolección de hongos y frutos de los árboles (castañas) para autoconsumo es realizada normalmente por los/las habitantes locales, en el sotobosque, saliendo de los senderos habilitados para el uso público, pero con poca incidencia sobre el ecosistema. Puede producir la compactación del suelo y afección a especies de flora del sotobosque, afección a las especies de hongos por recolección directa de ejemplares y afección indirecta a la fauna de invertebrados, reptiles, anfibios, mamíferos y aves por el aumento de la presencia humana fuera de las sendas habilitadas. |
+/- |
B |
A |
P |
0 |
Suelo, hongos, flora y fauna. |
|
G01.02 |
Caminar, equitación y vehículos no motorizados |
El tránsito de personas, caballos y vehículos no motorizados, especialmente en la época de caza y recolección de castañas y setas, por fuera de los senderos habilitados, puede tener afecciones sobre la flora y la fauna que habitan en el bosque. Además, pueden producir la compactación del suelo, el aumento de la permeabilidad y la pérdida del hábitat natural. |
- |
B |
I |
P |
1 |
Suelo, vegetación, sobre todo herbáceas, y fauna. |
|
G05.01 |
Pisada, uso excesivo |
El exceso de afluencia aumenta las pisadas y presión de usos humanos, especialmente si se produce fuera de los senderos y caminos habilitados, lo que puede provocar afecciones en el ecosistema natural del bosque, especialmente en las zonas de regeneración de nuevos individuos. También puede producir compactación, reducción de la permeabilidad del suelo, aumento de la erosión, reducción de las especies de fauna y flora, y fragmentación de los hábitats. |
- |
B |
I |
P |
2 |
Hábitats naturales, suelo, flora y fauna. |
|
G05.04 |
Vandalismo |
Las infraestructuras o formaciones pueden ser objeto de actos vandálicos y pueden ser dañadas o destruidas parcial o totalmente. A esto hay que sumarle la degradación del paisaje. |
- |
B |
I |
P |
0 |
Fauna y flora, incluida la formación singular, y el paisaje. |
|
H05.01 |
Basura y residuos sólidos |
Presencia de residuos sólidos y basura. El vertido de basura, residuos sólidos y lixiviados de manera incontrolada puede ocasionar la alteración y contaminación directa del entorno. Contaminación paisajística y del aire (mal olor). |
- |
M |
A |
P |
1 |
Suelo. Flora y fauna. Calidad visual del paisaje. |
|
J01.01 |
Incendios provocados |
Hay un riesgo de incendios de origen antropogénico, provocados por la acción del ser humano, que pueden causar un daño importante en las especies emblemáticas y en el bosque, con pérdida de la formación singular, elemento clave en la declaración del propio espacio. |
- |
A |
A |
E |
2 |
Especies de flora y fauna, formación singular, suelo, agua y paisaje. |
|
J03.02 |
Reducción de la conectividad de los ecosistemas por causas antropogénicas |
Los cambios en los usos del suelo, la eliminación de la vegetación autóctona, de las masas forestales, de la vegetación asociada a los cursos fluviales y de los lindes entre parcelas son ejemplos de usos que ocasionan la fragmentación del territorio, produciendo un aumento del «efecto de borde» y una pérdida de resiliencia de los ecosistemas que se vuelven más frágiles ante las perturbaciones. |
- |
M |
A |
L |
2 |
Todas las especies de flora y fauna y los hábitats. |
|
K01.01 |
Erosión |
El uso de caminos, senderos y vías de comunicación y la pérdida de vegetación que ocasionan determinados usos del suelo y cambios en estos usos incrementan el riesgo de erosión y dejan el suelo más expuesto a los efectos climáticos y a aquellos derivados del uso público del espacio. También pueden tener afección en los cursos fluviales próximos. |
- |
B |
A |
L |
1 |
Afección directa al suelo y a los cursos fluviales e indirecta a las especies de flora y fauna que dependen del mantenimiento del suelo y de los cursos fluviales. |
|
K04.03 |
Introducción de enfermedades en las especies arbóreas |
La entrada de hongos y bacterias en los árboles de más edad o en aquellos que presentan alguna herida abierta en las ramas puede causar daños importantes en los árboles, debilitándolos y causando su podredumbre. |
– |
M |
A |
P |
2 |
Ejemplares de mayor porte y longevidad, tanto de robles como de castaños. |
|
L07 |
Tormentas y ciclones |
Los episodios de fuertes tormentas y ciclones que se pueden dar en otoño-invierno pueden suponer daños graves e incluso la caída de los árboles más grandes y de mayor edad. |
- |
M |
I |
P |
3 |
Ejemplares de mayor porte y longevidad, tanto de robles como de castaños. |
|
L09 |
Incendios naturales |
Riesgo moderado de incendios de origen natural, como podrían ser los originados por un rayo, pueden causar un daño importante en las especies emblemáticas y en el bosque, con pérdida de la formación singular y del elemento clave de la declaración del propio espacio. |
- |
B |
A |
P |
1 |
Especies de flora y fauna, especies arbóreas. |
|
M01.02 |
Cambios en la temperatura anual (incremento de temperatura y temperatura extrema) |
El cambio climático, con el incremento de las temperaturas medias anuales, afecta al ecosistema en su conjunto y a los árboles de mayor edad en particular, influyendo en los ciclos de crecimiento y floración y pudiendo incrementar el riesgo de sequía y su muerte. Afecta también a especies de fauna por depender de la vegetación como fuente de refugio y comida, así como por modificación de sus condiciones favorables de temperatura, lo que podrá ocasionar un desplazamiento hacia zonas en las que estén más adaptadas. |
- |
B |
A |
E |
1 |
Ejemplares de robles y castaños de gran porte y longevos, así como las plántulas que permiten la regeneración de estas y de otras especies arbóreas. Fauna. |
|
M01.02 |
Sequías y disminución de las precipitaciones |
El cambio climático también puede llevar a episodios extremos de sequía y merma de las precipitaciones, lo cual podrá tener una repercusión directa sobre las especies más longevas y precisan de mejores condiciones para su mantenimiento, así como en la regeneración natural del castañar. |
- |
B |
A |
E |
1 |
Ejemplares de robles y castaños de gran porte y longevos, así como las plántulas que permiten la regeneración de estas y de otras especies arbóreas |
TÍTULO I
Elementos clave de conservación, líneas estratégicas y objetivos del plan
Artículo 1. Objetivo general
Este plan de conservación tiene como finalidad proteger la formación boscosa de notoria singularidad que supone este bosque mixto de roble y castaño, con ejemplares centenarios que son considerados como los mejores de Europa por su porte y hechura.
Artículo 2. Elementos clave de conservación
Los elementos clave para la gestión del espacio protegido deben ser aquellos valores naturales por los cuales fue declarado bajo la figura de monumento natural, para su protección y conservación. Estarán constituidos por:
1. Las especies arbóreas de gran porte: roble (Quercus robur L.) y castaño (Castanea sativa Mill.).
2. Otras especies importantes por encontrarse incluidas en el anexo II de la Ley 42/2007, de 13 de diciembre, son el narciso, Narcissus cyclamineus (considerada vulnerable en Galicia) y el ciervo volante, Lucanus cervus
Artículo 3. Líneas estratégicas del Plan de conservación
En este plan de conservación se definen dos grandes líneas estratégicas (LE, en adelante), que regirán las acciones a desenvolver en los próximos años:
• Línea estratégica 1 (LE1). Mejora de la conservación de la formación singular, patrimonio natural y paisaje.
• Línea estratégica 2 (LE2). Mejora del uso público y del estudio y difusión de los valores patrimoniales.
Artículo 4. Objetivos del Plan de conservación
Dentro de estas líneas estratégicas se reflejan objetivos diversos que permiten tener un enfoque integral de su conservación:
LE 1. Mejora del estado de conservación de la formación singular, patrimonio natural y paisaje.
A. Objetivos relacionados con la conservación de la formación singular, la biodiversidad y el paisaje (5).
B. Objetivos relacionados con los usos y aprovechamientos (1).
LE 2. Mejora del uso público y del estudio y difusión de los valores patrimoniales.
C. Objetivos relacionados con el uso público (2).
D. Objetivos relacionados con la investigación, educación y participación ciudadana (2).
A. Objetivos relacionados con la conservación de la formación singular, la biodiversidad y el paisaje
A.1. Fomentar la colaboración entre diversas administraciones, así como con otras entidades públicas o privadas, con el objetivo de garantizar la conservación del patrimonio natural, de la biodiversidad y de la calidad del paisaje.
A.2. Promover la conservación de las especies arbóreas que constituyen los elementos clave: castaños (Castanea sativa) y robles (Quercus robur).
A.3. Garantizar la conservación de los hábitats naturales y seminaturales, así como de la flora y fauna asociadas, y favorecer su recuperación.
A.4. Reducir los riesgos ambientales que ocasionan la pérdida de biodiversidad y la fragmentación del ecosistema.
A.5. Mejorar y conservar la calidad paisajística y la conectividad ecológica del espacio protegido.
B. Objetivos relacionados con los usos y aprovechamientos
B.1. Regular el uso sostenible de los recursos naturales en el espacio.
C. Objetivos relacionados con el uso público
C.1. Promover una gestión ordenada del uso público compatible con la conservación de los valores naturales que motivaron su declaración.
C.2. Promover la creación y/o adecuación de las infraestructuras de uso público para aportar a la población local y a las personas los valores del monumento natural.
D. Objetivos relacionados con la investigación, educación y participación ciudadana
D.1. Promover la mejora del conocimiento sobre los valores naturales, los procesos ecológicos y las amenazas para la conservación, así como sobre el patrimonio material e inmaterial del espacio protegido.
D.2. Favorecer la sensibilización y fomentar la implicación social, en especial de la población del entorno, en la conservación de los valores naturales y culturales del monumento natural.
TÍTULO II
Zonificación del monumento natural
Artículo 5. Consideraciones generales
El monumento natural tiene una extensión reducida y constituye un ecosistema forestal homogéneo, con especies de Quercus y Castanea en el que los usos existentes se distribuyen de forma relativamente uniforme por toda su extensión. Por tal motivo, no se considera necesaria su zonificación.
TÍTULO III
Directrices y normas
CAPÍTULO I
Normativa general
Artículo 6. Directrices
1. La gestión del espacio y de los componentes de la biodiversidad tendrá como objetivo alcanzar un nivel de protección elevado. Se basará en los principios de cautela y de acción preventiva. Cuando haya peligro de daño grave o irreversible, la falta de certeza científica absoluta no deberá utilizarse como razón para postergar la adopción de medidas eficaces para impedir la degradación del medio.
2. Se velará por el mantenimiento de los procesos ecológicos esenciales y de los ecosistemas.
3. Se velará por la preservación de la variedad, singularidad y belleza de los ecosistemas naturales, evitando o minimizando su degradación.
4. Se evitarán todas aquellas actuaciones que modifiquen o alteren la calidad del paisaje de manera significativa, así como de aquellas que ocasionen una pérdida de identidad e individualidad paisajística, evitando elementos que supongan un elevado impacto visual derivado de su localización, materiales empleados o por causa de las texturas y colores utilizados.
5. Se dará preferencia a las medidas de conservación, preservación y restauración de los hábitats naturales y seminaturales del bosque.
6. Se dará preferencia a las medidas de conservación, preservación y recuperación de las especies silvestres de flora y fauna, haciendo especial hincapié en aquellas consideradas protegidas, como las consideradas clave en el espacio en el momento de la redacción de este plan de conservación: castaños (Castanea sativa), robles (Quercus robur), narcisos (Narcissus cyclamineus) y ciervos volantes (Lucanus cervus).
7. Se concederá prioridad a las medidas relacionadas con las especies de interés para la conservación y a las especies endémicas o que posean un área de distribución limitada.
8. Se otorgará preferencia a las medidas de conservación y mantenimiento del paisaje y de los recursos paisajísticos.
9. Se dará preferencia a las medidas para la conservación de la diversidad genética de las poblaciones silvestres de flora y fauna.
10. Se evitará la introducción y proliferación de especies, subespecies, razas geográficas u organismos genéticamente modificados, distintos de los autóctonos, en la medida en que puedan competir con estas, alterar su pureza genética o provocar desequilibrios ecológicos sobre los hábitats naturales y seminaturales.
11. Se promocionarán la investigación y el estudio de los valores naturales y culturales a través de la coordinación con otras administraciones, con la comunidad científica y con la propia población local.
12. Todos los trabajos científicos o de investigación autorizados en este espacio utilizarán las técnicas y los métodos de menor impacto para el medio natural y, en especial, para las especies objeto de conservación.
13. Se fomentará el conocimiento del espacio protegido, así como un uso público adecuado y ordenado, como forma de difundir la importancia de sus valores naturales y culturales, en pro de la conservación.
14. Se llevarán a cabo un seguimiento y control de la correcta ejecución de las acciones especificadas en este plan, así como el seguimiento del cumplimiento de la normativa de aplicación, para evaluar adecuadamente el cumplimiento con los objetivos de conservación del espacio.
Artículo 7. Exclusión de actividades
El territorio delimitado por el ámbito de aplicación de este plan de conservación se considerará como área de exclusión a la hora de planificar y autorizar actividades o aprovechamientos industriales, mineros y de energía eléctrica, eólica y fotovoltaica.
Artículo 8. Usos permitidos
Se consideran usos y actividades permitidos aquellos que resulten compatibles con los objetivos de declaración del monumento natural, pudiendo desarrollarse sin limitaciones especiales.
Los usos y actividades permitidos no requerirán autorización específica de la consellería competente en materia de conservación del patrimonio natural, sin perjuicio de cualquier otro título administrativo que resulte exigible.
Artículo 9. Usos autorizables
1. Tendrán la consideración de usos y actividades autorizables aquellos sometidos a un régimen de intervención administrativa por razón de su localización en el monumento natural, con el objetivo de evitar posibles efectos no deseados sobre la conservación de sus valores relevantes.
2. Conforme a lo dispuesto en el artículo 34.3 de la Ley 42/2007, de 13 de diciembre, en los monumentos naturales estará limitada la explotación de recursos y, en cualquier caso, sometida a la pertinente autorización administrativa.
A estos efectos, se consideran usos y actividades autorizables todos aquellos que requieran:
a) Autorización expresa de la consellería competente en materia de conservación del patrimonio natural.
b) Informe preceptivo y vinculante de la consellería competente en materia de conservación del patrimonio natural, requerido en cualquier procedimiento de autorización sectorial.
3. Cualquier proyecto, uso, actividad o aprovechamiento que se pretenda realizar en el monumento natural y que no esté recogido explícitamente en los artículos de este decreto debe entenderse sometido al trámite de autorización de la Administración gestora. En caso de que el uso se considere autorizable, con carácter general, se resolverá por medio de una resolución que será publicada en el Diario Oficial de Galicia.
4. Las solicitudes de autorización deberán presentarse con una antelación mínima de tres meses. Deberán incluir una explicación del uso o actividad solicitado y un estudio de las afecciones, que tendrá como información mínima antecedentes, justificación, descripción del área de afección e influencia, descripción y cartografía de los elementos naturales afectados, así como de las medidas preventivas y correctoras.
5. En las autorizaciones podrán establecerse restricciones, condicionantes y/o medidas correctoras o compensatorias que favorezcan el desarrollo sostenible de las actividades, usos y aprovechamientos, teniendo en cuenta las directrices establecidas en el presente plan.
6. El sentido del silencio, tanto de las autorizaciones como de los informes preceptivos y vinculantes de la consellería competente en materia de patrimonio natural, será negativo, de acuerdo con el artículo 24.1 de la Ley 39/2015, de 1 de octubre, del procedimiento administrativo común de las administraciones públicas.
Artículo 10. Usos prohibidos
1. Se consideran usos y actividades prohibidos aquellos susceptibles de causar perjuicio a la integridad del lugar o sobre el estado de conservación de los elementos clave de conservación y que, por consiguiente, resultan incompatibles con sus objetivos de conservación.
2. Igualmente, conforme al decreto de declaración del monumento natural, en todo el ámbito del espacio protegido estarán prohibidos los siguientes usos y actividades:
a) Realización de acampadas o campamentos.
b) Actividades de desmonte o realización de terraplenes.
c) Vertidos de basura, cascotes y residuos sólidos en general, así como el establecimiento de cualquier tipo de escombrera de basura en el interior del monumento.
d) Realización de quemas.
e) Colocación de carteles y anuncios publicitarios, excepto los que tengan relación con la defensa y señalización del propio monumento natural.
f) Modificación de los canales públicos.
g) Explotaciones y actividades industriales y agrarias.
h) Instalaciones de tendidos eléctricos.
i) Aprovechamientos mineros.
j) Realización de edificaciones permanentes de cualquier tipo.
k) Estacionamiento y circulación de vehículos fuera de los caminos y vías existentes, excepto los vehículos y maquinaria propios de la actividad agrícola y forestal.
3. Con carácter general, quedan prohibidas todas aquellas acciones que puedan suponer la destrucción o alteración de los hábitats naturales, especies o de los elementos del Catálogo gallego de árboles singulares presentes en el monumento natural, así como la alteración del paisaje.
4. Tendrá consideración de uso prohibido cualquier otra actividad que, no estando recogida en las categorías anteriores, pueda perjudicar significativamente a la conservación del monumento natural.
Artículo 11. Evaluación ambiental
La evaluación ambiental de los planes, programas o proyectos que afecten al ámbito del monumento natural estará regulada por la Ley 21/2013, de 9 de diciembre, de evaluación ambiental, o norma que la sustituya, o bien por lo dispuesto en la norma sectorial que resulte de aplicación.
CAPÍTULO II
Normativa por componentes
Artículo 12. Especies de interés para la conservación
1. Necesitan autorización del órgano autonómico competente en materia de conservación del patrimonio natural aquellas actividades no relacionadas con las funciones de conservación que puedan amenazar los valores naturales, culturales, científicos, didácticos o de otro orden, de los árboles o de las formaciones singulares.
2. Quedan totalmente prohibidas las actividades y usos que puedan dar muerte, dañar, molestar o inquietar intencionadamente a los animales silvestres, sea cual sea el método empleado o la fase del ciclo biológico en la que se encuentren.
Esta prohibición incluye su retención y captura en vivo, la destrucción, daño, recolección y retención de sus nidos, de sus crías o de sus huevos, estos últimos aun estando vacíos, así como la posesión, transporte, tráfico y comercio de ejemplares vivos o muertos o de sus restos, incluyendo el comercio exterior.
3. Para las especies de animales no comprendidas en alguna de las categorías definidas en el Listado de especies silvestres en régimen de protección especial, en el Catálogo español de especies amenazadas o en el Catálogo gallego de especies amenazadas, estas prohibiciones no se aplicarán en los supuestos con regulación específica y en los supuestos regulados por la Administración general del Estado o de la Comunidad Autónoma de Galicia en el ámbito de sus competencias.
4. Se prohíbe la cría para la reintroducción o repoblación en el monumento natural de especies silvestres no catalogadas sin la autorización del órgano autonómico competente en materia de conservación del patrimonio natural o cuando se realice fuera de los lugares y de las condiciones establecidas en dicha autorización.
5. La reintroducción de especies actualmente no presentes en el espacio natural deberá contar con el correspondiente plan técnico, que constará, como mínimo, de una exposición de motivos, de los objetivos perseguidos, de una evaluación ambiental de la incidencia de la reintroducción y de un plan de seguimiento y control de esa especie; este plan deberá ser aprobado por el órgano autonómico competente en materia de conservación del patrimonio natural. No se aprobará ninguna reintroducción cuando se considere que pueda afectar de forma apreciable al estado de conservación de los valores clave de conservación de este espacio.
6. Queda prohibida la destrucción o deterioro apreciables de las formaciones vegetales conformadas por especies silvestres que caracterizan a los hábitats del monumento natural.
7. Para las especies de flora y fauna silvestres incluidas en el Listado de especies silvestres en régimen de protección especial se aplicarán las prohibiciones recogidas en el artículo 57 de la Ley 42/2007, de 13 de diciembre. Estas prohibiciones podrán quedar sin efecto (previa autorización del órgano autonómico competente en materia de conservación del patrimonio natural, si no hubiera otra solución satisfactoria y sin que ello suponga perjudicar el mantenimiento en un estado de conservación favorable de las poblaciones de que se trate, en su área de distribución natural), cuando concurra alguna de las circunstancias recogidas en el artículo 61 de la Ley 42/2007, de 13 de diciembre.
8. Para las especies silvestres animales será de aplicación el régimen de protección general recogido en el artículo 53 de la Ley 9/2001, de 21 de agosto. A las especies incluidas en el Catálogo gallego de especies amenazadas se les aplicará el régimen de protección establecido por el artículo 51 de la mencionada ley.
9. Al amparo del artículo 64.3 de la Ley 42/2007, de 13 de diciembre, se prohíbe la posesión, transporte, tráfico y comercio de ejemplares vivos o muertos, de sus restos o propágulos, incluyendo el comercio exterior, de aquellas especies alóctonas que sean incluidas en el Catálogo español de especies exóticas invasoras, al amparo del artículo 7 del Real decreto 630/2013, de 2 de agosto, por el que se regula el Catálogo español de especies exóticas invasoras, así como de todas aquellas de las que se verifique un comportamiento invasor. Tras la autorización administrativa correspondiente, esta prohibición podrá quedar sin efecto cuando esta acción sea necesaria por razones de investigación, salud o seguridad de las personas.
10. No podrá autorizarse la liberación en el medio natural de organismos modificados genéticamente bajo condiciones que puedan alterar la pureza y diversidad genética de las poblaciones naturales de especies autóctonas o poner en riesgo cualquier otro valor del espacio natural.
11. El órgano autonómico competente en materia de conservación del patrimonio natural podrá desarrollar o autorizar actuaciones de control sobre aquellas poblaciones de especies que amenacen el equilibrio de los ecosistemas.
Artículo 13. Actividades de uso público
1. Son usos y actividades permitidos:
a) Circular a pie por todo el espacio, de forma racional y respetuosa.
b) Circular en bicicleta o a caballo exclusivamente por el sendero habilitado, de forma racional y respetuosa.
c) Las actividades recreativas o de carácter deportivo al aire libre, ejercidas a título personal, siempre que no alteren los hábitats, la formación singular o la tranquilidad de las especies.
d) La presencia de animales de compañía. En las actividades de uso público, las personas propietarias de los animales domésticos de compañía deberán adoptar las medidas necesarias, acordes con la normativa de aplicación, para que el animal no provoque alteraciones sobre las especies de interés para la conservación, así como sobre el resto de actividades de uso público del espacio natural. Los animales de compañía deberán disponer de sistemas de sujeción adecuados que les impidan salir de las vías de tránsito peatonal.
2. Son usos y actividades sometidos a autorización:
a) Las actividades recreativas organizadas en el espacio protegido, como visitas guiadas, itinerarios de senderismo, juegos o actividades en la naturaleza.
b) Actividades educativas o de voluntariado para fomentar el conocimiento y la conservación del espacio.
c) Actividades profesionales de filmación, grabación sonora y fotografía en el monumento natural con fines comerciales, así como de comunicación o difusión pública, para medios escritos, de televisión, radio o internet. Dichas actividades deberán especificar el uso de equipos auxiliares, como focos, pantallas reflectantes, generadores eléctricos u otros similares.
d) El uso, con fines comerciales, de la imagen, marca o señas de identidad gráfica del espacio natural.
3. Son usos y actividades prohibidos:
a) La realización de vivaqueo.
b) Las competiciones, concentraciones y demás actividades y eventos deportivos, sean o no lucrativos, organizados de manera colectiva.
c) Las prácticas de supervivencia, paintball y actividades similares.
d) El estacionamiento y la circulación de vehículos a motor, incluidos quads, motocicletas y cualquier otro dispositivo de movilidad a motor, en todo el ámbito del monumento natural, excepto los vehículos de vigilancia, emergencia y los propios de las actividades agrícolas y forestales, así como aquellos que cuenten con autorización del organismo competente para actividades vinculadas con la conservación.
e) El empleo de megáfonos, así como de otros aparatos de sonido que perturben la tranquilidad y la calma de la fauna y del propio espacio natural.
f) La venta ambulante.
g) La realización de pintadas y/o grabados en la vegetación o en las infraestructuras de uso público y, en general, cualquier práctica de vandalismo en el monumento natural y en sus valores.
h) La realización de maniobras militares.
4. Las limitaciones al sobrevuelo serán las establecidas conforme a la normativa específica de aplicación.
Artículo 14. Infraestructuras y obras
1. Son usos y actividades sometidos a autorización:
a) La instalación de señales con objetivos informativos o interpretativos que dependan de organismos ajenos a la gestión del espacio natural protegido.
2. Son usos y actividades prohibidos:
a) La realización de nuevas infraestructuras no asociadas al uso público, en particular las viarias, energéticas y de telefonía.
b) La realización de edificaciones permanentes de cualquier tipo.
c) El depósito temporal, fuera de las infraestructuras lineales, de objetos que obstruyan la circulación.
d) Dañar o afectar a cualquiera de los vallados, cierres o señalización existentes.
Artículo 15. Actividades científicas
1. Son usos y actividades sometidos a autorización:
a) Toda actividad científica, de investigación o de seguimiento y monitorización.
2. La consellería competente en materia de conservación del patrimonio natural podrá pedir, previa solicitud de alguna actividad científica o durante el transcurso de la actividad, información detallada sobre las labores de investigación, así como establecer medidas preventivas o limitaciones sobre la recogida, captura, extracción o sobre la metodología de estudio, a fin de asegurar el mantenimiento del estado de conservación de los hábitats o de las especies objeto de la investigación.
3. Solo podrán otorgarse permisos de investigación que afecten al estado de conservación de la formación singular, de los hábitats o especies presentes en el espacio natural, considerados o no como de interés para la conservación, cuando sean estrictamente necesarios para la gestión de estos elementos y cuando no existan alternativas para que los trabajos de investigación se puedan realizar con otros métodos de menor impacto o en áreas no integradas en el espacio natural.
4. Se prestará especial atención a las actividades de marcado y anillamiento de fauna silvestre, que deberán ser desarrolladas al amparo de la normativa sectorial.
5. Para la realización de actividades científicas o de investigación se podrán otorgar permisos especiales para el transporte de material y personas por las vías de tránsito restringido. Igualmente, se podrá autorizar la instalación de las infraestructuras necesarias en áreas no habilitadas a tal fin, con carácter temporal y con impacto visual y ecológico mínimo.
6. La persona responsable de las investigaciones realizadas en el espacio natural deberá realizar los trabajos necesarios para la restauración de las condiciones naturales que hubiese con anterioridad.
7. Las actividades de investigación o seguimiento no podrán dejar huellas permanentes que vayan en detrimento de los valores naturales del espacio ni podrán, en ningún caso, introducir especies o subespecies, así como genotipos diferentes a los existentes en el espacio natural.
Artículo 16. Usos y aprovechamientos forestales
1. Son usos y actividades permitidos:
a) Las labores de prevención y defensa contra los incendios forestales establecidas en el Plan de prevención y defensa contra los incendios forestales del Distrito Deza-Tabeirós al que pertenece el espacio protegido, siempre y cuando dicho plan cuente con el informe previo de la consellería competente en materia de medio ambiente.
2. Son usos y actividades autorizables:
a) Recogida de setas y castañas, sin fines comerciales, en todo el ámbito del espacio.
3. Son usos y actividades prohibidos:
a) La recogida o extracción, con fines comerciales, de setas y castañas en todo el ámbito del monumento natural.
b) Las talas a hecho sobre formaciones arboladas naturales.
Artículo 17. Usos cinegéticos
1. La caza es un uso sometido a autorización en tanto no se lleve a cabo la segregación del monumento natural del tecor.
2. Una vez segregado el monumento natural del tecor, la caza será un uso prohibido en todo el ámbito del monumento natural.
TÍTULO IV
Programa de actuaciones
Las actuaciones propuestas derivan del análisis de la situación actual del espacio y suponen un conjunto de medidas para dar respuesta a las líneas estratégicas propuestas y destinadas a la consecución de los objetivos específicos del monumento natural.
Línea estratégica 1 (LE1). Mejora de la conservación de la formación singular, patrimonio natural y paisaje.
A. Objetivos relacionados con la conservación de la formación singular, biodiversidad y paisaje.
A.1. Fomentar la colaboración entre diversas administraciones, así como con otras entidades públicas o privadas, para garantizar la conservación del patrimonio natural, de la biodiversidad y de la calidad del paisaje.
• Acción A.1.1. Adopción de mecanismos de colaboración y cooperación con otras consellerías o administraciones públicas, así como con entidades privadas, de ser necesario.
A.2. Promover la conservación de las especies arbóreas que constituyen los elementos clave: castaños (Castanea sativa) y robles (Quercus robur).
• Acción A.2.1. Elaboración e informatización de un registro de los árboles singulares existentes.
• Acción A.2.2. Realización de prácticas silvícolas adecuadas relacionadas con la conservación y con el uso público.
A.3. Garantizar la conservación de los hábitats naturales y seminaturales, así como de la flora y fauna asociadas, y favorecer su recuperación.
• Acción A.3.1. Elaboración de un inventario completo y actualizado de las principales especies de flora y fauna presentes en la Fraga de Catasós, y descripción de su estado de conservación.
• Acción A.3.2. Restauración de aquellas áreas que hayan perdido la vegetación original como consecuencia de otros usos o de eventos climáticos, empleando criterios ecológicos.
• Acción A.3.3. Actuaciones de mantenimiento del estado de conservación del monumento natural.
A.4. Reducir los riesgos ambientales que ocasionan la pérdida de biodiversidad y la fragmentación del ecosistema.
• Acción A.4.1. Mejora de la prevención de incendios forestales en el monumento natural y en su entorno inmediato mediante, principalmente, el incremento de la vigilancia y de la sensibilización de la población local.
• Acción A.4.2. Monitorización del espacio para la detección temprana de especies alóctonas y posterior erradicación, en especial de aquellas que tengan un comportamiento invasor.
A.5. Mejorar y conservar la calidad paisajística y la conectividad ecológica del espacio protegido.
• Acción A.5.1. Conservación y protección de los muros tradicionales de piedra.
• Acción A.5.2. Conservación de troncos de árboles viejos, fragmentos de cortezas, ramas y hojas caídas, y otros elementos que contribuyen a crear fuentes de alimento y refugio para especies de hongos, invertebrados, aves y pequeños mamíferos.
B. Objetivos relacionados con los usos y aprovechamientos.
B.1. Regular el uso sostenible de los recursos naturales en el espacio.
• Acción B.1.1. Seguimiento y control de la actividad de aprovechamiento no comercial de setas y castañas.
Línea estratégica 2 (LE2). Mejora del uso público y del estudio y difusión de los valores patrimoniales.
C. Objetivos relacionados con el uso público.
C.1. Promover una gestión ordenada del uso público compatible con la conservación de los valores naturales que motivaron la declaración de este espacio protegido.
• Acción C.1.1. Realización de un estudio para la cuantificación y caracterización de las visitas que recibe el espacio natural.
• Acción C.1.2. Realización de un estudio en el que se evalúen distintas alternativas para facilitar el acceso al espacio natural, así como un uso público ordenado.
C.2. C.2. Promover la creación y/o adecuación de las infraestructuras de uso público para aportar a la población local y al resto de la ciudadanía los valores del monumento natural.
• Acción C.2.1. Actualización de la señalización.
• Acción C.2.2. Mantenimiento de la pista forestal que da acceso y bordea parte del monumento natural.
• Acción C.2.3. Creación de un acceso peatonal desde el núcleo urbano de Lalín.
• Acción C.2.4. Creación de un aparcamiento de vehículos.
D. Objetivos relacionados con la investigación, educación y participación ciudadana.
D.1. Promover la mejora del conocimiento sobre los valores naturales, los procesos ecológicos y las amenazas para la conservación, así como sobre el patrimonio material e inmaterial vinculado al espacio protegido.
• Acción D.1.1. Identificación de proyectos y líneas de investigación.
• Acción D.1.2. Estudio sobre los valores patrimoniales culturales, materiales e inmateriales en el entorno del monumento natural.
D.2. Favorecer la sensibilización y fomentar la implicación social, en especial de la población del entorno, en la conservación de los valores naturales y culturales del monumento natural.
• Acción D.2.1. Realización de actividades de educación ambiental.
• Acción D.2.2. Realización de actividades de voluntariado.
A continuación, se detalla cada una de las actuaciones propuestas en este plan de conservación:
|
Monumento natural Fraga de Catasós |
Adopción de mecanismos de colaboración y cooperación con otras consellerías o administraciones públicas, así como con entidades privadas, si fuera necesario |
A.1.1 |
||
|
Línea estratégica |
(LE1)-Mejora de la conservación de la formación singular, patrimonio natural y paisaje del espacio protegido |
|||
|
Objetivo principal |
A.1. Fomentar la colaboración entre diversas administraciones, así como con otras entidades públicas o privadas, para garantizar la conservación del patrimonio natural, de la biodiversidad y de la calidad del paisaje. |
|||
|
Objetivos relacionados |
Todos los restantes objetivos del plan. |
|||
|
Actuaciones |
• Seguimiento, prevención y control de incendios, con la Consellería del Medio Rural y con los servicios competentes en materia de extinción de incendios, incluyendo al Ayuntamiento de Lalín y Protección Civil, en su caso. • Seguimiento y regulación de actuaciones y usos en el entorno de la fraga que puedan generar impactos sobre ella-organismos con competencias en materia de medio rural, infraestructuras y movilidad, y de economía, empleo e industria, además del Ayuntamiento de Lalín. • Mejora de la información disponible sobre el estado de conservación de los árboles singulares y otras especies de flora y fauna del espacio protegido-Consellería de Medio Ambiente, Territorio y Vivienda, universidades gallegas, asociaciones ecologistas/naturalistas, Ayuntamiento de Lalín. • Actuaciones de difusión y puesta en valor del espacio protegido (actividades de sensibilización y educación ambiental)-organismos con competencias en materia de cultura y turismo y de educación, universidad y formación profesional, además del Ayuntamiento de Lalín. • Mejora de la información disponible sobre el estado de conservación del Área del Paisaje-organismo con competencias en estudios del territorio. |
|||
|
Justificación |
La conservación de los valores naturales, la minimización de los riesgos y la adaptación a las vulnerabilidades que pueda sufrir, así como la puesta en valor del espacio, garantizando un correcto uso público, puede requerir de la implicación o ser competencia de otras administraciones o entidades, por lo que es fundamental mantener reuniones, comunicaciones y establecer acuerdos de colaboración y cooperación para un trabajo conjunto con objetivos comunes. Esta colaboración permite crear sinergias que aumenten la efectividad de las medidas adoptadas, y sumar experiencias, conocimiento y recursos humanos y materiales para acometer ciertas acciones que, de otro modo, no es posible llevar a cabo. |
|||
|
Período de ejecución |
Corto plazo |
Medio plazo |
Largo plazo |
|
|
Coste estimado |
---- |
|||
|
Monumento natural Fraga de Catasós |
Elaborar e informatizar un registro de los árboles singulares existentes |
A.2.1 |
||
|
Línea estratégica |
(LE1)-Mejora de la conservación de la formación singular, patrimonio natural y paisaje |
|||
|
Objetivo principal |
A.2. Promover la conservación de las especies arbóreas que constituyen los elementos clave: castaños (Castanea sativa) y robles (Quercus robur). |
|||
|
Objetivos relacionados |
A.3. Garantizar la conservación de los hábitats naturales y seminaturales, así como de la flora y fauna asociadas, y favorecer su recuperación. C.1. Promover una gestión ordenada del uso público compatible con la conservación de los valores naturales que motivaron la declaración de este espacio protegido. D.1. Promover la mejora del conocimiento sobre los valores naturales, los procesos ecológicos y las amenazas para la conservación, así como sobre el patrimonio material e inmaterial del espacio protegido. |
|||
|
Actuaciones |
• Comprobación y recopilación de los datos existentes y de los últimos trabajos realizados, y visitas de campo y trabajos técnicos para suplir la ausencia de datos, en su caso. • Elaboración de un registro con información relativa a cada uno de los árboles más destacables, conformado por fichas técnicas individualizadas. • Actualización del etiquetado de los ejemplares. |
|||
|
Justificación |
Los robles y castaños centenarios de la Fraga de Catasós son el valor más destacable que motivó su protección. Se trata de árboles que por su tamaño, edad, porte, belleza y significado cultural es necesario proteger. Estos ejemplares de árboles son especialmente sensibles a las perturbaciones en el ambiente y a las presiones humanas, por lo que es especialmente importante dotarlos de una mayor atención y cuidado, así como sensibilizar a los/las ciudadanos/as y a los/las usuarios/as del espacio sobre su valor. La elaboración de este registro permitirá mejorar el control sobre cada uno de los ejemplares, conocer mejor sus necesidades de tratamiento (de precisarlas), poda, etc., en función de sus características individuales, y poder así contar con datos que permitan un mejor seguimiento de su estado de conservación, al tiempo que facilitan dar a conocer a la población su valor. |
|||
|
Período de ejecución |
Corto plazo |
Medio plazo |
Largo plazo |
|
|
Coste estimado |
8.000 € |
|||
|
Monumento natural Fraga de Catasós |
Realización de prácticas silvícolas adecuadas relacionadas con la conservación y con el uso público |
A.2.2 |
||
|
Línea estratégica |
(LE1)-Mejora de la conservación de la formación singular, patrimonio natural y paisaje |
|||
|
Objetivo principal |
A.2. Promover la conservación de las especies arbóreas que constituyen los elementos clave: castaños (Castanea sativa Mill.) y robles (Quercus robur L.). |
|||
|
Objetivos relacionados |
A.3. Garantizar la conservación de los hábitats naturales y seminaturales, así como de la flora y fauna asociadas, y favorecer su recuperación. C.1. Promover una gestión ordenada del uso público compatible con la conservación de los valores naturales que motivaron la declaración de este espacio protegido. B.1. Regular el uso sostenible de los recursos naturales presentes en el espacio. |
|||
|
Actuaciones |
• Inspección del estado del sendero de uso público para detectar la presencia de vegetación, ramas y restos vegetales que puedan interferir en el tránsito de personas en condiciones de seguridad. • Promoción de un mantenimiento (limpieza y adecuación) que permita su uso en buenas condiciones de forma compatible con su conservación. • Inspección del estado de conservación de la vegetación y, particularmente, de las especies de árboles singulares, para detectar la necesidad de trabajos silvícolas. • Actividades de control de la vegetación, limpieza, mejora y mantenimiento. |
|||
|
Justificación |
Actualmente se vienen realizando una serie de prácticas de mantenimiento de la vegetación orientadas a mantener en buen estado el sendero y a la retirada de ramas o árboles afectados por eventos climatológicos y otras acciones concretas que, en principio, no representan un riesgo para la conservación del espacio. Por el contrario, un cierto mantenimiento de la vegetación puede resultar beneficioso, por ejemplo, para controlar el riesgo de incendios o para garantizar el uso y disfrute de las personas usuarias, especialmente con relación a la presencia de árboles viejos que puedan suponer algún riesgo de rotura de ramas. Los trabajos silvícolas deben realizarse teniendo en cuenta la biodiversidad presente en el espacio: los troncos caídos, los árboles viejos, la vegetación del sotobosque, las pteridofitas, los líquenes y los musgos son elementos que favorecen la colonización del espacio por diversos grupos de fauna, contribuyendo a mantener la calidad paisajística y estética, la belleza natural y el nivel de humedad, entre otros beneficios. |
|||
|
Período de ejecución |
Corto plazo |
Medio plazo |
Largo plazo |
|
|
Coste estimado |
4.000 €/año |
|||
|
Monumento natural Fraga de Catasós |
Elaboración de un inventario completo y actualizado de las principales especies de flora, fauna y hongos presentes en la Fraga de Catasós, y descripción de su estado de conservación |
A.3.1 |
||
|
Línea estratégica |
(LE1)-Mejora de la conservación de la formación singular, patrimonio natural y paisaje |
|||
|
Objetivo principal |
A.3. Garantizar la conservación de los hábitats naturales y seminaturales, así como de la flora y fauna asociadas, y favorecer su recuperación. |
|||
|
Objetivos relacionados |
A.1. Fomentar la colaboración entre diversas administraciones, así como con otras entidades públicas o privadas, para garantizar la conservación del patrimonio natural, de la biodiversidad y de la calidad del paisaje. A.2. Promover la conservación de las especies arbóreas que constituyen los elementos clave: castaños (Castanea sativa) y robles (Quercus robur). D.1. Promover la mejora del conocimiento sobre los valores naturales, los procesos ecológicos y las amenazas para la conservación, así como sobre el patrimonio material e inmaterial del espacio protegido. |
|||
|
Actuaciones |
Realización de un inventario de la biodiversidad, mediante: • Consulta a fuentes bibliográficas, a citas y a los trabajos que se vienen realizando para la revisión del estado de salud y de los datos dendométricos de los ejemplares y formaciones singulares incluidos en el Catálogo gallego de árboles singulares. • Realización de los muestreos de campo de flora y fauna empleando medios técnicos que permitan la georreferenciación de sus hábitats característicos y de las especies. • Elaboración de listado de especies por grupos, determinando la presencia confirmada, probable o posible, según el caso, su abundancia u otros aspectos de la ecología de las poblaciones, así como su estado de conservación. • Cartografiado de las especies y sus hábitats. |
|||
|
Justificación |
Para poder garantizar la conservación de la Fraga de Catasós es imprescindible conocer cuáles son los requerimientos de aquellas especies de flora y fauna consideradas clave para su mantenimiento en buen estado de conservación. De esta forma, la gestión del espacio podrá orientarse a preservar esos valores naturales, al igual que las acciones destinadas a favorecer y mejorar el uso público del espacio y el aprovechamiento de los recursos, de forma que interfieran lo menos posible en su conservación. |
|||
|
Período de ejecución |
Corto plazo |
Medio plazo |
Largo plazo |
|
|
Coste estimado |
6.000 € |
|||
|
Monumento natural Fraga de Catasós |
Restauración de áreas que hayan perdido la vegetación original como |
A.3.2 |
||
|
Línea estratégica |
(LE1)-Mejora de la conservación de la formación singular, patrimonio natural y paisaje |
|||
|
Objetivo principal |
A.3. Garantizar la conservación de los hábitats naturales y seminaturales, así como de la flora y fauna asociadas, y favorecer su recuperación. |
|||
|
Objetivos relacionados |
A.2. Promover la conservación de las especies arbóreas que constituyen los elementos clave: castaños (Castanea sativa) y robles (Quercus robur). A.4. Reducir los riesgos ambientales que ocasionan la pérdida de biodiversidad y la fragmentación del ecosistema. A.5. Mejorar y conservar la calidad paisajística y la conectividad ecológica del espacio protegido. |
|||
|
Actuaciones |
• Estudio de las áreas afectadas por deforestación o pérdida de la cobertura arbórea y selección de lugares prioritarios para acciones de restauración. • Proyecto técnico de restauración, priorizando técnicas ecológicas, manuales y de bajo impacto en los trabajos de restauración. • Seguimiento de las acciones de restauración. |
|||
|
Justificación |
La restauración mediante la revegetación con especies autóctonas de estas áreas permitirá mejorar la conectividad ecológica, aumentar la superficie de hábitat disponible para las especies de fauna y flora, contribuir a mantener el microclima del bosque, mejorar el paisaje y la calidad visual y mitigar efectos erosivos sobre el suelo. |
|||
|
Período de ejecución |
Corto plazo |
Medio plazo |
Largo plazo |
|
|
Coste estimado |
8.000 €/bianual |
|||
|
Monumento natural Fraga de Catasós |
Actuaciones de mantenimiento del estado de conservación del monumento natural |
A.3.3 |
||
|
Línea estratégica |
(LE1)-Mejora de la conservación de la formación singular, patrimonio natural y paisaje |
|||
|
Objetivo principal |
A.3. Garantizar la conservación de los hábitats naturales y seminaturales, así como de la flora y fauna asociadas, y favorecer su recuperación. |
|||
|
Objetivos relacionados |
A.2. Promover la conservación de las especies arbóreas que constituyen los elementos clave del monumento natural: castaños (Castanea sativa) y robles (Quercus robur). A.4. Reducir los riesgos ambientales que ocasionan la pérdida de biodiversidad y la fragmentación del ecosistema. A.5. Mejorar y conservar la calidad paisajística y la conectividad ecológica del espacio protegido. |
|||
|
Actuaciones |
• Eliminación de ramas secas de las copas de los ejemplares. • Revisión periódica de los anclajes del ejemplar sujeto por cables. |
|||
|
Justificación |
Estas actuaciones son necesarias para mantener el estado de conservación actual de la formación singular. |
|||
|
Período de ejecución |
Corto plazo |
Medio plazo |
Largo plazo |
|
|
Coste estimado |
6.000 €/bianual |
|||
|
Monumento natural Fraga de Catasós |
Mejora de la prevención de incendios forestales en el monumento natural y en su entorno inmediato, principalmente incremento de la vigilancia y de la sensibilización de los/las habitantes locales |
A.4.1 |
||
|
Línea estratégica |
(LE1)-Mejora de la conservación de la formación singular, patrimonio natural y paisaje |
|||
|
Objetivo principal |
A.4. Reducir los riesgos ambientales que ocasionan la pérdida de biodiversidad y la fragmentación del ecosistema. |
|||
|
Objetivos relacionados |
A.1. Fomentar la colaboración entre diversas administraciones, así como con otras entidades públicas o privadas, para garantizar la conservación del patrimonio natural, de la biodiversidad y de la calidad del paisaje. A.2. Promover la conservación de las especies arbóreas que constituyen los elementos clave: castaños (Castanea sativa) y robles (Quercus robur). A.3. Garantizar la conservación de los hábitats naturales y seminaturales, así como de la flora y fauna asociadas, y favorecer su recuperación. A.5. Mejorar y conservar la calidad paisajística y la conectividad ecológica del espacio protegido. C.1. Promover una gestión ordenada del uso público compatible con la conservación de los valores naturales que motivaron la declaración de este espacio protegido. |
|||
|
Actuaciones |
• Mejora de la sensibilización y educación de la ciudadanía y personas usuarias del espacio, en relación con los incendios forestales. • Control de la vegetación bajo riesgo elevado de incendio, siempre evaluando previamente los potenciales efectos ambientales de la retirada de vegetación. |
|||
|
Justificación |
Los incendios forestales son una causa importante de la degradación del paisaje y de la pérdida de biodiversidad. La severidad de las sequías estivales experimentadas en los últimos años, unida al abandono del rural y al cambio de usos del suelo, agrava el riesgo de incendios, así como los efectos ocasionados por estos. A pesar de que desde la década de los 80 el número anual de incendios forestales fue reduciéndose paulatinamente, salvo años excepcionales, su gravedad y extensión es actualmente mayor. Normalmente, los incendios forestales afectan en menor medida a las masas forestales autóctonas y a los bosques caducifolios debido a su mayor nivel de humedad, favorecida por una vegetación más diversa y por la limitación en el crecimiento del sotobosque. No obstante, es preciso adoptar medidas de prevención que aseguren la reducción del riesgo y la eficacia de la respuesta en caso de incendio. |
|||
|
Período de ejecución |
Corto plazo |
Medio plazo |
Largo plazo |
|
|
Coste estimado |
3.000 €/ bianual |
|||
|
Monumento natural Fraga de Catasós |
Seguimiento del espacio para la detección temprana de especies alóctonas y su erradicación, en especial de aquellas que tengan un comportamiento invasor |
A.4.2 |
||
|
Línea estratégica |
(LE1)-Mejora de la conservación de la formación singular, patrimonio natural y paisaje del espacio protegido |
|||
|
Objetivo principal |
A.4. Reducir los riesgos ambientales que ocasionan la pérdida de biodiversidad y la fragmentación del ecosistema. |
|||
|
Objetivos relacionados |
A.2. Promover la conservación de las especies arbóreas que constituyen los elementos clave: castaños (Castanea sativa) y robles (Quercus robur). A.3. Garantizar la conservación de los hábitats naturales y seminaturales, así como de la flora y fauna asociadas, y favorecer su recuperación. A.5. Mejorar y conservar la calidad paisajística y la conectividad ecológica del espacio protegido. |
|||
|
Actuaciones |
• Análisis de la presencia, tanto en el espacio como en sus cercanías, de especies invasoras, así como de ambientes o hábitats sensibles a la invasión, que puedan incrementar la vulnerabilidad del espacio a este riesgo. • Actuaciones de erradicación de las especies detectadas. |
|||
|
Justificación |
Las especies alóctonas o exóticas, tanto de flora como de fauna, suponen una amenaza a la conservación de la biodiversidad. Al encontrarse fuera de su ámbito de distribución normal, estas especies no tienen enemigos o especies competidoras naturales que mantengan el control sobre sus poblaciones. Cuando a este factor se suman condiciones favorables para su crecimiento, por ejemplo las ocasionadas por la pérdida de cobertura o reducción de las poblaciones de especies autóctonas, y una gran facilidad de dispersión, estas especies pueden convertirse en invasoras. Las especies invasoras se instalan en los ecosistemas naturales o seminaturales ocasionando cambios en los flujos ecosistémicos normales y poniendo en riesgo la conservación de la biodiversidad autóctona. Es importante tener en cuenta que no todas las especies alóctonas pueden convertirse en invasoras, ni todos los ecosistemas son igualmente susceptibles de ser invadidos. Las alteraciones humanas y determinados factores climáticos incrementan este riesgo. |
|||
|
Período de ejecución |
Corto plazo |
Medio plazo |
Largo plazo |
|
|
Coste estimado |
1.000 €/bianual |
|||
|
Monumento natural Fraga de Catasós |
Conservación y protección de los muros tradicionales de piedra |
A.5.1 |
||
|
Línea estratégica |
(LE1)-Mejora de la conservación de la formación singular, patrimonio natural y paisaje |
|||
|
Objetivo principal |
A.5. Mejorar y conservar la calidad paisajística y la conectividad ecológica |
|||
|
Objetivos relacionados |
A.3. Garantizar la conservación de los hábitats naturales y seminaturales, así como de la flora y fauna asociadas, y favorecer su recuperación. C.1. Promover una gestión ordenada del uso público compatible con la conservación de los valores naturales que motivaron la declaración de este espacio protegido. |
|||
|
Actuaciones |
• Restauración de los muros basándose en técnicas manuales y en el uso de materiales autóctonos de piedra natural. • Vigilancia del estado de los muros para detectar daños futuros y mantenimiento en buen estado de estas construcciones. |
|||
|
Justificación |
Algunos muros de piedra que delimitan el espacio se encuentran actualmente en mal estado o caídos; algunos simplemente debido al paso del tiempo y otros por haber caído árboles sobre ellos. Además de la función de delimitación, los muros de piedra, colonizados por diferentes especies de plantas, líquenes y musgos, proporcionan lugares de refugio y alimento a invertebrados, reptiles y pequeños mamíferos. Su restauración con criterios ecológicos y de forma integrada en el paisaje es recomendable para el mantenimiento de la biodiversidad asociada a estas estructuras y como ejemplo de construcción humana integrada en el entorno. |
|||
|
Período de ejecución |
Corto plazo |
Medio plazo |
Largo plazo |
|
|
Coste estimado |
1.500 €/bianual |
|||
|
Monumento natural Fraga de Catasós |
Conservación de troncos de árboles viejos, fragmentos de cortezas, ramas y hojas caídas, y otros elementos que contribuyen a crear fuentes de alimento y refugio para especies de hongos, invertebrados, aves y pequeños mamíferos |
A.5.2 |
||
|
Línea estratégica |
(LE1)-Mejora de la conservación de la formación singular, patrimonio natural y paisaje. |
|||
|
Objetivo principal |
A.5. Mejorar y conservar la calidad paisajística y la conectividad ecológica. |
|||
|
Objetivos relacionados |
A.3. Garantizar la conservación de los hábitats naturales y seminaturales, así como de la flora y fauna asociadas, y favorecer su recuperación. A.4. Reducir los riesgos ambientales que ocasionan la pérdida de biodiversidad y la fragmentación del ecosistema. |
|||
|
Actuaciones |
• En la gestión habitual del espacio se dejarán en el lugar troncos o ramas que no representen ningún peligro para las personas o la conservación de los valores naturales. Igualmente, cuando sean realizados trabajos de poda o tala se dejarán restos vegetales con la finalidad de devolver los nutrientes y contribuir al mantenimiento de los hábitats asociados a la madera en descomposición, siempre que no suponga una afección al estado fitosanitario. |
|||
|
Justificación |
La madera muerta procedente de árboles muertos en pie, ramas caídas, troncos y tocones ejerce un papel importante en la conservación de la biodiversidad y en el funcionamiento del ecosistema. Representa un hábitat que proporciona alimento y refugio a muchas especies de invertebrados, como a los escarabajos, siendo la fuente de alimento más importante para las larvas del ciervo volante (Lucanus cervus) y contribuyendo a la conservación de esta especie. Además, muchas especies de aves, quirópteros y pequeños mamíferos utilizan los troncos viejos como lugares de refugio y cría. La colonización de estos elementos por multitud de especies de hongos, briófitas, pteridófitas y otros organismos, unida a la variedad de formas en que se presenta la madera muerta, contribuye a elevar la heterogeneidad espacial y propicia la aparición de diferentes microhábitats que determinan las especies presentes en ellos. |
|||
|
Período de ejecución |
Corto plazo |
Medio plazo |
Largo plazo |
|
|
Coste estimado |
----- |
|||
|
Monumento natural Fraga de Catasós |
Seguimiento y control de la actividad de aprovechamiento no comercial |
B.1.1 |
||
|
Línea estratégica |
(LE1)-Mejora de la conservación de la formación singular, patrimonio natural y paisaje del espacio protegido |
|||
|
Objetivo principal |
B.1. Regular el uso sostenible de los recursos naturales en el espacio. |
|||
|
Objetivos relacionados |
A.3. Garantizar la conservación de los hábitats naturales y seminaturales, así como de la flora y fauna asociadas, y favorecer su recuperación. D.1. Promover la mejora del conocimiento sobre los valores naturales, los procesos ecológicos y las amenazas para la conservación, así como sobre el patrimonio material e inmaterial del espacio protegido. |
|||
|
Actuaciones |
• Caracterización de las especies de hongos; determinación de las especies comestibles y de la recolección. • Seguimiento y control del aprovechamiento no comercial de setas y castañas. |
|||
|
Justificación |
El aprovechamiento sostenible de los recursos naturales puede suponer una oportunidad compatible con la conservación del espacio protegido. La recolección de hongos por la población local con fines de consumo propio, no comercial, se considera una actividad compatible con la conservación y sometida a autorización en el ámbito de la Fraga de Catasós, siempre que no se superen unos límites y se respeten los restantes valores naturales del espacio. Por otra parte, los castaños son uno de los elementos clave con base en los cuales fue declarado el espacio. Su conservación y la explotación sostenible de sus frutos se considera compatible con la declaración del monumento natural. Además, este tipo de actividades promueve la concienciación ciudadana con respecto a la conservación y permite la convivencia armónica de los usos humanos y la protección ambiental. No obstante, resulta necesario vigilar su uso para asegurar que este se mantiene en unos niveles compatibles con la conservación del espacio. |
|||
|
Período de ejecución |
Corto plazo |
Medio plazo |
Largo plazo |
|
|
Coste estimado |
5.000 €/bianual |
|||
|
Monumento natural Fraga de Catasós |
Caracterización de las visitas |
C.1.1 |
||
|
Línea estratégica |
(LE2)-Mejora del uso público y del estudio y difusión de los valores patrimoniales. |
|||
|
Objetivo principal |
C.1. Promover una gestión ordenada del uso público compatible con la conservación de los valores naturales que motivaron su declaración. |
|||
|
Objetivos relacionados |
A.1. Fomentar la colaboración entre diversas administraciones, así como con otras entidades públicas o privadas, para garantizar la conservación del patrimonio natural, de la biodiversidad y de la calidad del paisaje. A.4. Reducir los riesgos ambientales que ocasionan la pérdida de biodiversidad y la fragmentación del ecosistema. A.5. Mejorar y conservar la calidad paisajística y la conectividad ecológica del espacio protegido. |
|||
|
Actuaciones |
• Realización de un seguimiento de las visitas al espacio y realización de un análisis teniendo en cuenta su capacidad de carga. • Realización de un estudio para conocer las características de la visita, tanto para estimar el volumen de personas como para saber su perfil y comportamiento y para conocer su opinión y valoración. |
|||
|
Justificación |
Aunque el número de visitas no se considera elevado, hasta el momento actual no existen datos reales recurrentes, por lo que no es posible hacer una valoración sobre el uso público, ni otros análisis sobre la procedencia o la visión que tienen sobre este espacio. |
|||
|
Período de ejecución |
Corto plazo |
Medio plazo |
Largo plazo |
|
|
Coste estimado |
6.000 € (para la caracterización) |
|||
|
Monumento natural Fraga de Catasós |
Realización de un estudio en el que se evalúen distintas alternativas para facilitar |
C.1.2 |
||
|
Línea estratégica |
(LE2)-Mejora del uso público y del estudio y difusión de los valores patrimoniales |
|||
|
Objetivo principal |
C.1. Promover una gestión ordenada del uso público compatible con la conservación de los valores naturales que motivaron la declaración de este espacio protegido. |
|||
|
Objetivos relacionados |
C.2. Promover la creación y/o adecuación de las infraestructuras de uso público para aportar a la población local y al resto de la ciudadanía los valores del monumento natural. D.2. Favorecer la sensibilización y fomentar la implicación social, en especial de la población del entorno, en la conservación de los valores naturales y culturales del monumento natural. |
|||
|
Actuaciones |
Elaboración de un estudio de viabilidad en el que se analicen distintas alternativas para facilitar el acceso al espacio, así como un uso público ordenado. Entre otras, se tendrán en cuenta: • La posibilidad de ejecutar una pista peatonal, preferentemente accesible para personas de movilidad reducida, desde el núcleo urbano de Lalín hasta el monumento natural. • La viabilidad de una zona de estacionamiento de vehículos en las cercanías del bosque, que permita un acceso seguro, fácil y accesible al espacio protegido. |
|||
|
Justificación |
El acceso a la Fraga de Catasós se realiza desde la N-525, donde no existe acera ni zona de aparcamiento próxima, lo que ocasiona que el acceso hasta la pista de entrada se tenga que hacer directamente caminando por la carretera, lo que supone un riesgo y cierto peligro para las personas viandantes. A fin de dejar los vehículos en el núcleo urbano, alejándolos del espacio natural, y teniendo en cuenta que la distancia a recorrer a pie es de 2,5 km desde la salida del núcleo urbano, la creación de un acceso peatonal desde Lalín facilitaría que las personas interesadas se acerquen sin peligro. Además, actualmente no existen zonas para estacionar los vehículos. Los lugares empleados hasta ahora para ese fin son: el margen de la carretera N-525, donde existe un pequeño espacio a unos 200 de la pista de entrada al espacio natural, y en la propia pista de acceso, que bordea el bosque y lleva al Pazo de Quiroga. Ninguno de estos dos casos ofrece espacio suficiente para estacionar varios vehículos o autobuses, por lo que se hace necesario un estudio que indique cuál es el emplazamiento más idóneo para la construcción de una instalación de este tipo. |
|||
|
Período de ejecución |
Corto plazo |
Medio plazo |
Largo plazo |
|
|
Coste estimado |
18.000 € |
|||
|
Monumento natural Fraga de Catasós |
Actualización de la señalización |
C.2.1 |
||
|
Línea estratégica |
(LE2)-Mejora del uso público y del estudio y difusión de los valores patrimoniales |
|||
|
Objetivo principal |
C.2. Promover la creación y/o adecuación de las infraestructuras de uso público para aportar a la población local y al resto de la ciudadanía los valores del monumento natural. |
|||
|
Objetivos relacionados |
C.1. Promover una gestión ordenada del uso público compatible con la conservación de los valores naturales que motivaron la declaración de este espacio protegido. D.1. Promover la mejora del conocimiento sobre los valores naturales, los procesos ecológicos y las amenazas para la conservación, así como sobre el patrimonio material e inmaterial del espacio protegido. D.2. Favorecer la sensibilización y fomentar la implicación social, en especial de la población del entorno, en la conservación de los valores naturales y culturales del monumento natural. |
|||
|
Actuaciones |
• Revisión y valoración del estado de la señalización y de sus contenidos. • Instalación de nuevas señales. |
|||
|
Justificación |
El estado del conjunto de la señalización existente en el espacio natural, si bien es aceptable, podría ser revisado, tanto en contenidos como en el estado de algunas de las estructuras, de tal manera que puedan ser mejoradas. Además, es necesario que los paneles y mesas interpretativas estén realizados bajo la filosofía del diseño para todos, con la finalidad de que puedan ser empleados por el máximo número de personas. Para conseguir que todos los elementos de señalización estén enmarcados dentro de una misma imagen, se conciban como partes de un mismo mensaje dentro del espacio y con ellos se dé valor a los recursos patrimoniales más destacables, es recomendable realizar las mejoras pertinentes, así como nuevos paneles y señales para el espacio. |
|||
|
Período de ejecución |
Corto plazo |
Medio plazo |
Largo plazo |
|
|
Coste estimado |
18.000 € |
|||
|
Monumento natural Fraga de Catasós |
Mantenimiento de la pista forestal que da acceso al espacio protegido y bordea |
C.2.2 |
||
|
Línea estratégica |
(LE2)-Mejora del uso público y del estudio y difusión de los valores patrimoniales. |
|||
|
Objetivo principal |
C.2. Promover la creación y/o adecuación de las infraestructuras de uso público para aportar a la población local y al resto de la ciudadanía los valores del monumento natural. |
|||
|
Objetivos relacionados |
C.1. Promover una gestión ordenada del uso público compatible con la conservación de los valores naturales que motivaron la declaración de este espacio protegido. A.4. Reducir los riesgos ambientales que ocasionan la pérdida de biodiversidad y la fragmentación del ecosistema. A.5. Mejorar y conservar la calidad paisajística y la conectividad ecológica del espacio protegido. |
|||
|
Actuaciones |
• Realización de labores de mantenimiento para garantizar el perfecto estado de la pista y del sendero interior. • Además, es necesario indicar, mediante la colocación de señales informativas en la propia pista, la prohibición de estacionar vehículos en todo su recorrido. |
|||
|
Justificación |
La pista que bordea parte de la Fraga de Catasós desde su acceso por la N-525 está destinada al paso de personas y vehículos y da acceso a las tres entradas del espacio natural. Puesto que estas entradas a la fraga son de tránsito peatonal, y no para vehículos, a lo largo de la pista no hay espacio para estacionar coches, aunque en algunos momentos del año puede encontrarse alguno en su borde. La pista se encuentra en buen estado aunque, si las lluvias son abundantes y muy sucesivas, puede formarse barro en algunas zonas, dificultando el paso tanto de los vehículos como de las personas. Como parte de la conservación del espacio natural, debe fomentarse su acceso a pie, informando a las personas de la prohibición de aparcar en la pista y, de esta forma, minimizando el impacto de los vehículos en ella y en el espacio natural, ya que constituye una zona de continuidad entre el bosque y el arroyo de Quintela. Con la colocación de estas señales se pretende liberar la pista de la carga de vehículos, facilitando así el paso de los de emergencias y, también, disuadir a las personas de acercar sus vehículos hasta los accesos del espacio protegido. |
|||
|
Período de ejecución |
Corto plazo |
Medio plazo |
Largo plazo |
|
|
Coste estimado |
2.000 € bianuales |
|||
|
Monumento natural Fraga de Catasós |
Creación de un acceso peatonal desde el núcleo urbano de Lalín |
C.2.3 |
||
|
Línea estratégica |
(LE2)-Mejora del uso público y del estudio y difusión de los valores patrimoniales |
|||
|
Objetivo principal |
C.2. Promover la creación y/o adecuación de las infraestructuras de uso público para aportar a la población local y al resto de la ciudadanía los valores del monumento natural. |
|||
|
Objetivos relacionados |
C.1. Promover una gestión ordenada del uso público compatible con la conservación de los valores naturales que motivaron la declaración de este espacio protegido. |
|||
|
Actuaciones concretas |
Diseño, elaboración, aprobación y ejecución de un proyecto técnico para la creación de un acceso peatonal al monumento desde el núcleo urbano de Lalín. |
|||
|
Justificación |
En caso de que el estudio de viabilidad resultara positivo (acción C.1.2), debe ejecutarse esta acción, lo que supondrá la planificación y elaboración de un proyecto técnico de obra para la habilitación de una senda peatonal desde el núcleo urbano de Lalín hasta el monumento natural, y su posterior construcción. |
|||
|
Período de ejecución |
Corto plazo |
Medio plazo |
Largo plazo |
|
|
Coste estimado |
Pendiente de valoración tras el estudio de viabilidad y de la elaboración del proyecto técnico. |
|||
|
Monumento natural Fraga de Catasós |
Creación de un aparcamiento de vehículos |
C.2.4 |
||
|
Línea estratégica |
(LE2) - Mejora del uso público y del estudio y difusión de los valores patrimoniales. |
|||
|
Objetivo principal |
C.2. Promover la creación y/o adecuación de las infraestructuras de uso público para aportar a la población local y al resto de la ciudadanía los valores del monumento natural. |
|||
|
Objetivos relacionados |
C.1. Promover una gestión ordenada del uso público compatible con la conservación de los valores naturales que motivaron la declaración de este espacio protegido. |
|||
|
Actuaciones concretas |
Diseño, elaboración, aprobación y ejecución de un proyecto para la creación de un aparcamiento de vehículos próximo al espacio protegido para dar servicio a las personas visitantes. |
|||
|
Justificación |
En caso de que el estudio de viabilidad resultara positivo (acción C.1.3), debe ejecutarse esta acción, lo que supondrá la planificación y elaboración de un proyecto técnico de obra para habilitar una zona de aparcamiento en las proximidades de la fraga. |
|||
|
Período de ejecución |
Corto plazo |
Medio plazo |
Largo plazo |
|
|
Coste estimado |
Pendiente de valoración tras el estudio de viabilidad y de la elaboración del proyecto técnico. |
|||
|
Monumento natural Fraga de Catasós |
Identificación de proyectos y líneas de investigación |
D.1.1 |
||
|
Línea estratégica |
(LE2)-Mejora del uso público y del estudio y difusión de los valores patrimoniales del espacio protegido. |
|||
|
Objetivo principal |
D.1. Promover la mejora del conocimiento sobre los valores naturales, los procesos ecológicos y las amenazas para la conservación, así como sobre el patrimonio material e inmaterial del espacio protegido. |
|||
|
Objetivos relacionados |
A.1. Fomentar la colaboración entre diversas administraciones, así como con otras entidades públicas o privadas, para garantizar la conservación del patrimonio natural, de la biodiversidad y de la calidad del paisaje natural. A.2. Promover la conservación de las especies arbóreas que constituyen los elementos clave: castaños (Castanea sativa) y robles (Quercus robur). A.3. Garantizar la conservación de los hábitats naturales y seminaturales, así como de la flora y fauna asociadas, y favorecer su recuperación. |
|||
|
Actuaciones concretas |
• Planteamiento de inventarios de biodiversidad y estudios sobre los hábitats que permitan identificar su estado de conservación, así como la identificación de cambios en el espacio. |
|||
|
Justificación |
La protección del monumento natural lleva implícito el conocimiento de sus valores y de su evolución a lo largo del tiempo. Esto hace necesaria la investigación de aquellos aspectos que puedan afectar a sus valores naturales. Las administraciones públicas deben ser parte activa en la búsqueda y diseño de proyectos de investigación, innovación o generación de conocimiento que puedan repercutir en la conservación del espacio y de sus valores. Además, deben favorecerse la comunicación y colaboración con grupos y centros de investigación, a fin de generar proyectos en común. |
|||
|
Período de ejecución |
Corto plazo |
Medio plazo |
Largo plazo |
|
|
Coste estimado |
----- |
|||
|
Monumento natural Fraga de Catasós |
Estudio sobre los valores patrimoniales culturales, materiales e inmateriales |
D.1.2 |
||
|
Línea estratégica |
(LE2) - Mejora del uso público y del estudio y difusión de los valores patrimoniales. |
|||
|
Objetivo principal |
D.1. Promover la mejora del conocimiento sobre los valores naturales, los procesos ecológicos y las amenazas para la conservación, así como sobre el patrimonio material e inmaterial del espacio protegido. |
|||
|
Objetivos relacionados |
D.2. Favorecer la sensibilización y fomentar la implicación social, en especial de la población del entorno, en la conservación de los valores naturales y culturales del monumento natural. |
|||
|
Actuaciones |
Estudio del patrimonio cultural del entorno del monumento natural que, además, incluya los valores históricos y etnográficos de este territorio. |
|||
|
Justificación |
Los límites de un espacio natural, aunque pueden estar bien definidos a nivel geográfico, no lo están tanto a nivel histórico, cultural o etnográfico, puesto que el propio espacio está ligado a las costumbres de la población local y puede tener vínculos con otros bienes patrimoniales del entorno, sin olvidar que gran parte de los bienes culturales y etnográficos de un lugar no están documentados, sino que forman parte del patrimonio inmaterial de las personas que habitan en ese lugar. Estos bienes culturales no pueden estar aislados, puesto que la riqueza patrimonial del entorno del monumento natural contribuye a enriquecer el valor global del espacio. |
|||
|
Período de ejecución |
Corto plazo |
Medio plazo |
Largo plazo |
|
|
Coste estimado |
16.000 € |
|||
|
Monumento natural Fraga de Catasós |
Realización de actividades de educación ambiental |
D.2.1 |
||
|
Línea estratégica |
(LE2)-Mejora del uso público y del estudio y difusión de los valores patrimoniales. |
|||
|
Objetivo principal |
D.2. Favorecer la sensibilización y fomentar la implicación social, en especial de la población del entorno, en la conservación de los valores naturales y culturales del monumento natural. |
|||
|
Objetivos relacionados |
D.1. Promover la mejora del conocimiento sobre los valores naturales, los procesos ecológicos y las amenazas para la conservación, así como sobre el patrimonio material e inmaterial del espacio protegido. A.2. Promover la conservación de las especies arbóreas que constituyen los elementos clave: castaños (Castanea sativa) y robles (Quercus robur). |
|||
|
Actuaciones concretas |
• Diseño, elaboración y ejecución de actividades escolares de educación ambiental. • Diseño, elaboración y ejecución de visitas guiadas en momentos puntuales al monumento natural. |
|||
|
Justificación |
La búsqueda de la sensibilización de la población con respecto a los espacios protegidos constituye un factor importante en la conservación del patrimonio natural. La difusión de los valores del espacio natural, de sus presiones y amenazas y de los aspectos más relevantes del Plan de conservación entre diversos colectivos supone un paso fundamental en este proceso de sensibilización. |
|||
|
Período de ejecución |
Corto plazo |
Medio plazo |
Largo plazo |
|
|
Coste estimado |
600 € anuales |
|||
|
Monumento natural Fraga de Catasós |
Realización de actividades de voluntariado |
D.2.2 |
||
|
Línea estratégica |
(LE2)-Mejora del uso público y del estudio y difusión de los valores patrimoniales. |
|||
|
Objetivo principal |
D.2. Favorecer la sensibilización y fomentar la implicación social, en especial de la población del entorno, en la conservación de los valores naturales y culturales del monumento natural. |
|||
|
Objetivos relacionados |
D.1. Promover la mejora del conocimiento sobre los valores naturales, los procesos ecológicos y las amenazas para la conservación, así como sobre el patrimonio material e inmaterial del espacio protegido. A.3. Garantizar la conservación de los hábitats naturales y seminaturales, así como de la flora y fauna asociadas, y favorecer su recuperación. |
|||
|
Actuaciones concretas |
Además de los trabajos o tareas que resulten derivados de otros trabajos realizados en el monumento natural y que puedan ejecutarse a través del voluntariado, se pueden desarrollar también actividades como la caracterización de las visitas, difusión de valores naturales y culturales o ciertas tareas de conservación. |
|||
|
Justificación |
El voluntariado ambiental es una vía transversal para la participación pública en la gestión de los espacios naturales, ya que su trabajo es una manera óptima de aprovechar los recursos existentes en la sociedad y de mejorar la calidad del entorno natural. El voluntariado es, además, un medio para participar en la vida de la comunidad y en la búsqueda del bienestar social, un elemento valioso para poder construir una sociedad democrática, potenciando la solidaridad entre la ciudadanía. Determinadas acciones que deban llevarse a cabo en el espacio natural pueden ser desarrolladas por grupos de personas voluntarias, cumpliendo de esta manera con una doble finalidad: ofreciendo un medio para participar en la vida de la comunidad y en la búsqueda del bienestar social, potenciando la solidaridad entre ciudadanos/as, y gestionando de manera eficaz la realización de determinadas tareas. |
|||
|
Período de ejecución |
Corto plazo |
Medio plazo |
Largo plazo |
|
|
Coste estimado |
---- |
|||
TÍTULO V
Seguimiento y evaluación del plan
El seguimiento y evaluación de lo recogido en este plan de conservación permitirá determinar el nivel de ejecución y el grado de desarrollo de las actuaciones propuestas, y la eficacia en la consecución de los objetivos marcados.
El seguimiento y evaluación continuos servirán para identificar con celeridad los problemas en la ejecución de las actuaciones, favoreciendo una gestión adaptativa al espacio protegido y permitiendo identificar los posibles errores en la gestión, de tal manera que se puedan establecer las modificaciones oportunas.
Además, el seguimiento permitirá detectar nuevas presiones o amenazas sobre el ámbito de actuación no existentes anteriormente o no tenidas en cuenta, así como determinar la necesidad de nuevas actuaciones en el espacio protegido para garantizar la conservación de sus valores.
I. Seguimiento.
El seguimiento del Plan de conservación del monumento natural Fraga de Catasós se llevará a cabo mediante el análisis y valoración de los indicadores establecidos para cada una de las actuaciones propuestas en cada una de las dos líneas estratégicas y objetivos definidos.
A continuación se resumen los indicadores por acciones, que deberán ser evaluados y registrados de cara a determinar la efectividad de las acciones propuestas en el plan a lo largo del período de vigencia.
|
Línea estratégica 1: mejora de la conservación de la formación singular, patrimonio natural y paisaje |
||||
|
A. Objetivos relacionados con la conservación de la formación singular, biodiversidad y paisaje |
||||
|
A 1 |
Fomentar la colaboración entre diversas administraciones, así como con otras entidades públicas o privadas, para garantizar la conservación del patrimonio natural, de la biodiversidad y de la calidad del paisaje en el monumento natural. |
|||
|
Indicador |
Periodicidad |
|||
|
Acción A.1.1 |
Adopción de mecanismos de colaboración y cooperación con otras consellerías o administraciones públicas, así como con entidades privadas, de ser necesario. |
Número de reuniones, acuerdos y convenios de colaboración firmados |
Quinquenal |
|
|
A 2 |
Promover la conservación de las especies arbóreas que constituyen los elementos clave: castaños |
|||
|
Indicador |
Periodicidad |
|||
|
Acción A.2.1 |
Elaboración e informatizacion de un registro de los árboles singulares existentes en el monumento natural. |
Realización del registro hecho (sí/no) |
2º quinquenio |
|
|
Acción A.2.2 |
Realización de prácticas silvícolas adecuadas relacionadas con la conservación y con el uso público. |
Número de actuaciones realizadas |
Quinquenal |
|
|
A 3 |
Garantizar la conservación de los hábitats naturales y seminaturales, así como de la flora y de la fauna asociadas, y favorecer su recuperación. |
|||
|
Indicador |
Periodicidad |
|||
|
Acción A.3.1 |
Elaboración de un inventario completo y actualizado de las principales especies de flora, fauna y hongos presentes en la Fraga de Catasós, y descripción de su estado de conservación. |
Elaboración del inventario hecho (sí/no) |
2º quinquenio |
|
|
Acción A.3.2 |
Restauración de áreas que hayan perdido la vegetación original como consecuencia de otros usos o de eventos climáticos, empleando criterios ecológicos. |
Número de trabajos de regeneración |
Quinquenal |
|
|
Acción A.3.3 |
Actuaciones de mantenimiento del estado de conservación del monumento natural. |
Número de actuaciones de mantenimiento |
Quinquenal |
|
|
A 4 |
Reducir los riesgos ambientales que ocasionan la pérdida de biodiversidad y la fragmentación del ecosistema. |
|||
|
Indicador |
Periodicidad |
|||
|
Acción A.4.1 |
Mejora en la prevención de incendios forestales en el monumento natural y en su entorno inmediato, principalmente mediante el incremento de la vigilancia y de la sensibilización de los/las habitantes locales. |
Número de actuaciones de control de la vegetación |
Quinquenal |
|
|
Acción A.4.2 |
Seguimiento del espacio para la detección temprana de especies alóctonas y su erradicación, en especial de aquellas que tengan un comportamiento invasor. |
Número de actuaciones realizadas |
Quinquenal |
|
|
A 5 |
Mejorar y conservar la calidad paisajística y la conectividad ecológica. |
|||
|
Indicador |
Periodicidad |
|||
|
Acción A.5.1 |
Conservación y protección de los muros tradicionales de piedra. |
Número de actuaciones realizadas |
Quinquenal |
|
|
Acción A.5.2 |
Conservación de troncos de árboles viejos, fragmentos de cortezas, ramas y hojas caídas, y otros elementos que contribuyen a crear alimento y refugio para hongos, invertebrados, aves y pequeños mamíferos. |
Número de actuaciones realizadas |
Quinquenal |
|
|
B. Objetivos relacionados con el uso y aprovechamiento |
||||
|
B 1 |
Promover la conservación de las especies arbóreas que constituyen los elementos clave: castaños |
|||
|
Indicador |
Periodicidad |
|||
|
Acción B.1.1 |
Seguimiento y control de la actividad de aprovechamiento no comercial de setas y castañas |
Número de autorizaciones emitidas |
Quinquenal |
|
|
Línea estratégica 2: mejora del uso público y del estudio y difusión de los valores patrimoniales |
||||
|
C. Objetivos relacionados con el uso público |
||||
|
C 1 |
Promover una gestión ordenada del uso público compatible con la conservación de los valores naturales que motivaron su declaración. |
|||
|
Indicador |
Periodicidad |
|||
|
Acción C.1.1 |
Realización de un estudio para la cuantificación y caracterización de las visitas que recibe el espacio natural. |
Número de seguimientos y encuestas realizadas |
Quinquenal |
|
|
Acción C.1.2 |
Realización de un estudio en el que se propongan y evalúen distintas alternativas para facilitar el acceso al espacio natural, así como un uso público ordenado. |
Realización del estudio hecho (sí/no) |
2º quinquenio |
|
|
C 2 |
Promover la creación y/o adecuación de las infraestructuras de uso público para aportar a la población local y a las personas visitantes los valores del monumento natural. |
|||
|
Indicador |
Periodicidad |
|||
|
Acción C.2.1 |
Actualización de la señalización. |
Número de actuaciones en relación con la señalización |
3er quinquenio |
|
|
Acción C.2.2 |
Mantenimiento de la pista forestal que da acceso al espacio protegido y bordea parte del monumento natural. |
Número de actuaciones de mantenimiento |
Quinquenal |
|
|
Acción C.2.3 |
Creación de acceso peatonal desde el núcleo urbano de Lalín. |
Diseño acceso peatonal hecho (sí/no) |
3er quinquenio |
|
|
Acción C.2.4 |
Creación de un aparcamiento de vehículos para las personas visitantes del monumento natural. |
Diseño aparcamiento hecho (sí/no) |
3er quinquenio |
|
|
D. Objetivos relacionados con la investigación, educación y participación ciudadana |
||||
|
D 1 |
Promover la mejora del conocimiento sobre los valores naturales, los procesos ecológicos y las amenazas para la conservación, así como sobre el patrimonio material e inmaterial del espacio protegido. |
|||
|
Indicador |
Periodicidad |
|||
|
Acción D.1.1 |
Identificación de proyectos y líneas de investigación y estudios. |
Número de propuestas de estudios o investigaciones finalizados |
Quinquenal |
|
|
Acción D.1.2 |
Realización de un estudio sobre los valores patrimoniales culturales, materiales e inmateriales, en el entorno del monumento natural. |
Estudio hecho (sí/no) |
3er quinquenio |
|
|
D 2 |
Favorecer la sensibilización y fomentar la implicación social, en especial de la población del entorno, en la conservación de los valores naturales y culturales del monumento natural. |
|||
|
Indicador |
Periodicidad |
|||
|
Acción C.2.1 |
Realización de actividades de educación ambiental. |
Número de actividades de educación ambiental realizadas |
Quinquenal |
|
|
Acción C.2.2 |
Realización de actividades de voluntariado. |
Número de actividades de voluntariado realizadas |
Quinquenal |
|
II. Evaluación.
El Servicio de Patrimonio Natural de la Jefatura Territorial de la Consellería de Medio Ambiente, Territorio y Vivienda en Pontevedra evaluará, con una periodicidad sexenal, la efectividad de las medidas propuestas, la normativa en vigor, así como la correcta ejecución del plan de actuaciones, analizando fundamentalmente los siguientes aspectos:
– La eficacia y eficiencia en la ejecución de las diversas actuaciones.
– El progreso en la consecución de los objetivos propuestos.
Esta evaluación se entregará a la Dirección General de Patrimonio Natural en un informe que incluya una actualización de los cambios en el diagnóstico del espacio y una propuesta, en su caso, de modificación de la normativa o de nuevas medidas de actuación.




























