La Xunta de Galicia es titular de las autopistas de peaje A Coruña-Carballo (AG-55) y Puxeiros-Val Miñor (AG-57), que tienen su recorrido dentro de territorio de la Comunidad Autónoma de Galicia.
La explotación de estas autopistas corresponde a Autoestradas de Galicia, Autopistas de Galicia, Concesionaria de la Xunta de Galicia, S.A. (la sociedad concesionaria) en virtud de la concesión administrativa para la construcción, conservación y explotación de las autopistas de peaje A Coruña-Carballo (AG-55) y Puxeiros-Val Miñor (AG-57), adjudicada a su promotora por el Decreto 23/1995, de 20 de enero.
El contrato de concesión se rige por los pliegos que regulan su adjudicación, por la Ley 8/1972, de 10 de mayo, de construcción, conservación y explotación de autopistas en régimen de concesión, y el Decreto 215/1973, de 25 de enero, por el que se aprueba el pliego de cláusulas generales para la construcción, conservación y explotación de autopistas en régimen de concesión, y demás normas do derecho administrativo.
En fecha 30 de diciembre de 2015, fue firmado un convenio entre la Xunta de Galicia y Autoestradas de Galicia, Autopistas de Galicia, Concesionaria de la Xunta de Galicia, S.A., por el que se regula la bonificación del peaje de las autopistas A Coruña-Carballo (AG-55) y Puxeiros-Val Miñor (AG-57). Dicho convenio agotó su vigencia el 31 de diciembre de 2019.
En fecha 1 de enero de 2020, se firmó un nuevo convenio para dar continuidad a las bonificaciones reguladas hasta el 31 de diciembre de 2023. En fecha 10 de agosto de 2021, se firmó una adenda a este convenio, previamente aprobada por el Decreto 117/2021, de 29 de julio, para recoger una nueva bonificación específica destinada a las familias numerosas y redefinir la aplicación de los descuentos en el viaje de vuelta (viajes realizados en las 24 horas). En fecha 29 de diciembre de 2021, se firmó una segunda adenda, aprobada por el Decreto 172/2021, de 23 de diciembre, en la que se establecía una aportación extraordinaria para mitigar el impacto de la subida de tarifas del año 2022 y se regulaban las bonificaciones del peaje de estas autopistas.
Esta nueva modificación del convenio, que se tramita como texto consolidado, recoge un reajuste del crédito corriente para adecuarlo a la evolución real de los pagos y mantiene la aportación extraordinaria para mitigar el impacto de la subida de las tarifas durante el año 2023.
En su virtud, a propuesta de la conselleira de Infraestructuras y Movilidad, con informe de la Consellería de Hacienda, previa deliberación del Consello de la Xunta de Galicia en su reunión del día veintidós de diciembre de dos mil veintidós,
DISPONGO:
Artículo único. Aprobación del texto consolidado y adenda
Aprobar el texto consolidado y la adenda al convenio entre la Xunta de Galicia y Autoestradas de Galicia, Autopistas de Galicia, Concesionaria de la Xunta de Galicia, S.A., por el que se establecen las aportaciones extraordinarias para mitigar el impacto de la subida de tarifas de los años 2022 y 2023 y se regulan las bonificaciones del peaje de las autopistas A Coruña-Carballo (AG-55) y Puxeiros-Val Miñor (AG-57).
Se publica el texto consolidado como anexo.
Disposición final. Efectividad
Este decreto surtirá efectos a partir del día 1 de enero de 2023.
Santiago de Compostela, veintidós de diciembre de dos mil veintidós
Alfonso Rueda Valenzuela
Presidente
Ethel Mª Vázquez Mourelle
Conselleira de Infraestructuras y Movilidad
Texto consolidado y adenda al convenio entre la Xunta de Galicia y Autoestradas
de Galicia, Autopistas de Galicia, Concesionaria de la Xunta de Galicia, S.A.
por el que se establecen las aportaciones extraordinarias para mitigar el impacto
de la subia de tarifas de los años 2022 y 2023 y se regulan las bonificaciones del peaje de las autopistas A Coruña-Carballo (AG-55) y Puxeiros-Val Miñor (AG-57)
REUNIDOS:
De una parte, Ethel Vázquez Mourelle, presidenta de la Agencia Gallega de Infraestructuras, facultada para la formalización de este convenio por el Decreto 173/2011, de 4 de agosto, por el que se aprueba el estatuto de la Agencia Gallega de Infraestructuras.
De otra, José César Canal Fernández, en nombre y representación de Autoestradas de Galicia, Autopistas de Galicia, Concesionaria de la Xunta de Galicia, S.A., que está facultado para la formalización de la presente adenda en virtud del acuerdo del Consejo de Administración adoptado en su reunión del día 28 de noviembre de 2022.
Ambas partes se reconocen recíprocamente su capacidad para celebrar este convenio y
MANIFIESTAN:
I
La Xunta de Galicia tiene atribuidas competencias sobre las carreteras cuyo itinerario se desarrolle íntegramente en su territorio, en virtud del artículo 27.8 de la Ley orgánica 1/1981, de 6 de abril, de Estatuto de autonomía para Galicia.
Entre otras, la Xunta de Galicia es titular de las autopistas de peaje A Coruña-Carballo (AG-55) y Puxeiros-Val Miñor (AG-57), que tienen su recorrido dentro del territorio de la Comunidad Autónoma de Galicia.
II
La explotación de estas autopistas corresponde a Autoestradas de Galicia, Autopistas de Galicia, Concesionaria de la Xunta de Galicia, S.A. (la sociedad concesionaria), en virtud de la concesión administrativa para la construcción, conservación y explotación de las autopistas de peaje A Coruña-Carballo (AG-55) y Puxeiros-Val Miñor (AG-57), adjudicada a su promotora por el Decreto 23/1995, de 20 de enero.
El contrato de concesión se rige por los pliegos que regulan su adjudicación; por la Ley 8/1972, de 10 de mayo, de construcción, conservación y explotación de autopistas en régimen de concesión, y por el Decreto 215/1973, de 25 de enero, por el que se aprueba el pliego de cláusulas generales para la construcción, conservación y explotación de autopistas en régimen de concesión, y demás normas del derecho administrativo.
III
La planificación que está llevando a cabo la Xunta de Galicia en materia de carreteras tiene como objetivos ordenar y jerarquizar la red autonómica de carreteras, coordinar las iniciativas de las distintas administraciones, completar las comunicaciones de Galicia con su entorno, mejorar la accesibilidad a las ciudades, a los espacios urbanos principales y a las grandes áreas industriales y logísticas, integrando la seguridad vial como criterio básico desde el propio diseño de la infraestructura, y pretende facilitar la movilidad de la población, favoreciendo un tránsito fluido, eficaz y seguro de personas y mercancías en la Comunidad Autónoma.
Asimismo, la Comunidad Autónoma de Galicia es consciente de la necesidad de un abordaje más profundo de los efectos derivados del cambio demográfico y de la oportunidad del momento actual para hacerlo. Gestionar con éxito el reto demográfico al que se enfrenta Galicia implica adoptar nuevos enfoques y trabajar de forma conjunta y con visión de futuro, tanto el sector público autonómico como las administraciones locales y los agentes económicos y sociales. La Ley 5/2021, de 2 de febrero, de impulso demográfico de Galicia, tiene el objetivo de servir como marco y orientación de las actuaciones en materia demográfica, ya que las repercusiones que se derivan del cambio demográfico implican la necesidad de incorporar la perspectiva demográfica en el diseño y desarrollo de todas las políticas públicas.
El capítulo segundo del título II de dicha ley regula el apoyo a las familias con el objetivo de apoyar y promover el libre desarrollo de las familias y favorecer que las personas puedan llevar a cabo su proyecto familiar en Galicia, así como tener el número de hijos e hijas que deseen. Con esta finalidad se desarrollan medidas de apoyo específico a las familias numerosas en atención a su especial contribución a la sociedad, dada su aportación al relevo generacional.
Por tanto, el artículo 39 establece que la Administración autonómica establecerá bonificaciones en los peajes de las autopistas de su titularidad y preverá la aplicación de precios reducidos para estas familias en las licitaciones de contratos o concesiones que incluyan la gestión de plazas de aparcamiento en los hospitales públicos y centros dependientes de ella.
En este marco, se considera conveniente seguir adoptando medidas que tengan por objeto bonificar el importe de los peajes por el uso de las autopistas autonómicas, incorporando a las medidas ya adoptadas la regulación de una bonificación específica para las familias numerosas.
IV
En fecha 30 de diciembre de 2015, fue firmado un convenio entre la Xunta de Galicia y Autoestradas de Galicia, Autopistas de Galicia, Concesionaria de la Xunta de Galicia, S.A., por el que se regula la bonificación del peaje de las autopistas A Coruña-Carballo (AG-55) y Puxeiros-Val Miñor (AG-57).
En el citado convenio se estableció que su objeto era fijar las bases para la colaboración entre la Xunta de Galicia y la sociedad concesionaria en la aplicación de bonificaciones por frecuencia de uso de los peajes vigentes en las autopistas A Coruña-Carballo (AG-55) y Puxeiros-Val Miñor (AG-57), y el pago por la Xunta de Galicia a la sociedad concesionaria de los importes que se deriven de esta medida.
El 24 de septiembre de 2019, fue firmada una adenda a dicho convenio, en que se amplió su objeto para incorporar descuentos por tramo horario de uso aplicables a los peajes de las autopistas autonómicas A Coruña-Carballo (AG-55) y Puxeiros-Val Miñor (AG-57).
El 1 de enero de 2020, se firmó un nuevo convenio al objeto de dar continuidad a las bonificaciones reguladas hasta el 31 de diciembre de 2023.
Mediante el Decreto 117/2021, de 29 de julio , se aprobó el texto consolidado y la adenda al convenio entre la Xunta de Galicia y Autoestradas de Galicia, Autopistas de Galicia, Concesionaria de la Xunta de Galicia, S.A., por el que se regulan las bonificaciones del peaje de las autopistas A Coruña-Carballo (AG-55) y Puxeiros-Val Miñor (AG-57).
El objeto de la modificación del convenio fue materializar una nueva bonificación específica destinada a las familias numerosas y redefinir la aplicación de los descuentos en el viaje de vuelta (viajes realizados en las 24 horas).
El nuevo convenio fue firmado el 10 de agosto de 2021.
V
El Plan estratégico de Galicia ( PEG) tiene por objetivo general impulsar el crecimiento económico fomentando un modelo de crecimiento económico basado en la innovación y el capital humano, que favorezca una Galicia moderna y cohesionada social y territorialmente, y que permita disminuir el desempleo, aumentar la productividad y el bienestar de los gallegos y de las gallegas colaborando a retomar la senda del crecimiento demográfico y haciendo de nuestra comunidad un territorio más atractivo para trabajar, invertir y convivir.
Los presupuestos de los años 2021 y 2022 se presentan en términos del PEG 2015-2020 prorrogado con adaptaciones a las nuevas necesidades derivadas de la COVID-19, como son la creación de objetivos operativos en todos los objetivos estratégicos para dar cabida a actuaciones extraordinarias derivadas de las consecuencias de la pandemia.
Por tanto, los presupuestos de la Comunidad Autónoma de Galicia impulsan, entre otras, las acciones destinadas a mejorar las infraestructuras de transporte, en el marco de los ejes prioritarios de actuación que contribuirán al modelo de crecimiento económico planteado.
La medida prevista para regular la limitación de los peajes que abonarían los usuarios de las autopistas de titularidad autonómica durante el año 2022 cumpliría los objetivos marcados en los presupuestos de Galicia. Esta medida debería contribuir a contrarrestar los efectos de la crisis e incrementar la competitividad. Asimismo, se trata de una acción que mejorará el funcionamiento de la red de infraestructuras de transporte.
Por ello, mediante el Decreto 172/2021, de 23 de diciembre, se aprobó el texto consolidado y la adenda al convenio entre la Xunta de Galicia y Autoestradas de Galicia, Autopistas de Galicia, Concesionaria de la Xunta de Galicia, S.A., por el que se establece la aportación extraordinaria para mitigar el impacto de la subida de tarifas del año 2022 y se regulan las bonificaciones del peaje de las autopistas A Coruña-Carballo (AG-55) y Puxeiros-Val Miñor (AG-57). El nuevo convenio se firmó el 29 de diciembre de 2021.
Teniendo en conta la actual evolución del IPC, la Xunta de Galicia considera necesario prorrogar la medida anterior durante el año 2023, por lo que en la presente modificación del convenio se recoge la regulación de la limitación de los peajes que debe asumir el usuario en dicho ejercicio al objeto de que no experimenten ninguna variación respecto al año 2022.
VI
En la cláusula 6.7 del actual convenio se establece el importe anual máximo de la compensación en el ejercicio 2022 correspondiente a las bonificaciones por frecuencia de uso, por tramo horario de uso y para familias numerosas, el cual asciende a 1.525.000 euros.
En su cláusula 6.8.1, Consignación presupuestaria, se recoge que la Xunta de Galicia abonará el importe de la compensación con cargo a la partida presupuestaria 09.A1.512B.4700 (código de proyecto 2010 00340).
Según lo dispuesto en la cláusula 7 del convenio, la sociedad concesionaria debe remitir a la Agencia Gallega de Infraestructuras sus solicitudes de pago mensuales para proceder, su comprobación y tramitación, recogiendo los importes derivados de la aplicación de las bonificaciones a los tránsitos correspondientes a cada mes natural.
Una vez analizada la evolución de la facturación de Autoestradas de Galicia, C.X.G., S.A., hasta la fecha actual, se estimó que la Agencia Gallega de Infraestructuras tendrá que hacer frente a sus compromisos de gastos relativos a dicho convenio, derivados de la facturación mensual de 2022 presentada por la sociedad concesionaria por un importe total de 1.200.000 €, por lo que, como consecuencia de ello, procede la modificación de la cláusula que establece los importes anuales máximos.
Por lo tanto, procede regularizar y actualizar el compromiso económico entre la Xunta de Galicia y Autoestradas de Galicia, Autopistas de Galicia, Concesionaria de la Xunta de Galicia, S.A. correspondientes a los años 2022 y 2023.
Dado que tanto la Administración autonómica como la sociedad concesionaria estaban interesadas en regular la colaboración para los fines mencionados,
ACUERDAN:
Cláusula 1. Objeto
El objeto del presente convenio es fijar las bases para la colaboración entre la Xunta de Galicia y la sociedad concesionaria para regular la aportación extraordinaria para mitigar el impacto de la subida de tarifas de los años 2022 y 2023 y definir las siguientes bonificaciones de los peajes en las autopistas A Coruña-Carballo (AG-55) y Puxeiros-Val Miñor (AG-57), y el pago por la Xunta de Galicia a la sociedad concesionaria de los importes que se deriven de estas medidas.
Existirán tres tipos de bonificaciones:
– Bonificación por frecuencia de uso.
– Bonificación por tramo horario de uso.
– Bonificación para familias numerosas de Galicia.
Cláusula 2. Definiciones
A los efectos de lo dispuesto en la cláusula 4 y siguientes de este convenio:
a) Se entiende por bonificaciones los descuentos aplicados sobre los peajes vigentes en cada momento que se establecen según el criterio de frecuencia de uso, el criterio de tramo horario de uso y el criterio de familias numerosas.
b) Se entiende por OBE (On Board Equipment) un TAG o transpondedor, es decir, un dispositivo electrónico situado en el interior del vehículo, que contiene los datos del titular del medio de pago y que dialoga con los equipos del peaje de la autopista para concluir la operación precisa en cada momento, y que cumple con los requisitos del Real decreto 94/2006, de 3 de febrero, por el que se regula la interoperabilidad de los sistemas de telepeaje instalados en las carreteras estatales.
c) Se entiende por trayecto de ida y vuelta entre dos enlaces de la autopista el que tiene igual origen y destino, es decir, cuando el vehículo entra en la autopista por un enlace A, sale de la autopista por un enlace B, entra de nuevo en la autopista por el enlace B, y sale de la autopista por el enlace A, siendo A y B dos enlaces cualesquiera de la autopista.
d) Se entiende que los trayectos tienen lugar en 24 horas cuando el pago del viaje de vuelta se realiza dentro de un plazo máximo de 24 horas desde el pago del viaje de ida.
e) Se entiende que el término «vehículos» incluirá a los vehículos de todas las categorías I, II y III, contempladas en el contrato concesional, es decir, ligeros, pesados I y pesados II, excepto en el caso de las bonificaciones para familias numerosas, que se entenderá referido únicamente a la categoría de ligeros.
f) Se entiende como «importe del peaje» el importe total que pagará el usuario (IVA incluido, el tipo impositivo que esté vigente en cada momento de acuerdo con la normativa aplicable) antes de la aplicación de las bonificaciones objeto de este convenio.
g) Se entiende por tramo horario nocturno el comprendido entre las 0.00 horas y las 6.00 horas.
h) Se entiende como «concurrencia de bonificaciones» cuando un dispositivo OBE tiene derecho a la aplicación tanto de la bonificación por frecuencia de uso, como por tramo horario de uso o como por familia numerosa para un mismo trayecto.
i) A efectos de este convenio, se entiende por familia numerosa la familia que tenga reconocida dicha condición en el título oficial establecido al efecto expedido por la Xunta de Galicia.
Cláusula 3. Aportaciones extraordinarias para mitigar el impacto de la subida de tarifas de los años 2022 y 2023
1. Peajes a aplicar durante el año 2022.
Con el objetivo de contrarrestar los efectos de la crisis e incrementar la competitividad, la Agencia Gallega de Infraestructuras realizará una aportación extraordinaria a la sociedad concesionaria para mitigar el impacto de la subida del peaje del año 2022 a los usuarios de las autopistas AG-55 y AG-57.
La sociedad concesionaria calculará los peajes a aplicar durante el año 2022, tomando como base las tarifas vigentes en 2021 de acuerdo con la Resolución de la Agencia Gallega de Infraestructuras, de 27 de noviembre de 2020, incrementándolas en tan solo un 2,5 %.
Los peajes resultantes del anterior cálculo fueron aprobados por la Resolución de la Agencia Gallega de Infraestructuras de 29 de diciembre de 2021.
En el marco del presente convenio, los usuarios se beneficiarán de la anterior medida únicamente desde el 1 de enero de 2022 hasta el 31 de diciembre de 2022.
2. Aportación extraordinaria para el año 2022.
Al objeto de garantizar el equilibrio económico del contrato concesional, la Agencia Gallega de Infraestructuras realizará una aportación extraordinaria a la sociedad concesionaria para mitigar el impacto de la subida del peaje del año 2022.
Dicha aportación se corresponderá con la variación con IVA entre los ingresos resultantes de los peajes aplicados al usuario en el año 2022 según el apartado anterior y los ingresos resultantes de los peajes aprobados por la Resolución de la Agencia Gallega de Infraestructuras de 26 de noviembre de 2021.
3. Peajes a aplicar durante el año 2023.
Con el objetivo de contrarrestar los efectos de la crisis e incrementar la competitividad, la Agencia Gallega de Infraestructuras realizará una aportación extraordinaria a la sociedad concesionaria para mitigar el impacto de la subida del peaje del año 2023 a los usuarios de las autopistas AG-55 y AG-57.
En el período comprendido entre el 1 de enero de 2023 e o 31 de diciembre de 2023, la sociedad concesionaria mantendrá la aplicación de los peajes aprobados para las autopistas A Coruña-Carballo (AG 55) y Puxeiros-Val Miñor (AG 57) en las resoluciones de la Agencia Gallega de Infraestructuras de 29 de diciembre de 2021.
En el marco del presente convenio, los usuarios se beneficiarán de la anterior medida únicamente desde el 1 de enero de 2023 hasta el 31 de diciembre de 2023.
A partir del día 1 de enero de 2024 se aplicarán los peajes que resulten de la correspondiente revisión tarifaria, calculados de acuerdo con lo establecido en el Real decreto 210/1990, de 16 de febrero, y con la redacción dada mediante el Decreto 100/2008, de 17 de abril, de la Xunta de Galicia, con base en las tarifas oficiales según la Resolución de la Agencia Gallega de Infraestructuras de 23 de noviembre de 2022.
4. Aportación extraordinaria para el año 2023.
Al objeto de garantizar el equilibrio económico del contrato concesional, la Agencia Gallega de Infraestructuras realizará una aportación extraordinaria a la sociedad concesionaria para mitigar el impacto de la subida del peaje del año 2023.
Esta aportación se corresponderá con la variación con IVA entre los ingresos resultantes de los peajes aplicados al usuario en el año 2023, según el apartado anterior, y los ingresos resultantes de los peajes aprobados por la Resolución de la Agencia Gallega de Infraestructuras de 23 de noviembre de 2022.
5. Importe a abonar a la sociedad concesionaria y procedimiento de pago.
Para dar cumplimiento a lo dispuesto en los apartados 2 y 4 anteriores, la Xunta de Galicia abonará mensualmente a la sociedad concesionaria las aportaciones extraordinarias reguladas en esta cláusula.
Durante os ejercicios 2022 y 2023, la sociedad concesionaria remitirá a la Agencia Gallega de Infraestructuras, dentro de los quince primeros días siguientes al mes de devengo, la liquidación mensual de las diferencias de recaudación, presentando el importe desglosado por trayectos y medios de pago.
La Agencia Gallega de Infraestructuras dispondrá de quince (15) días para revisar la liquidación aportada por la sociedad concesionaria.
Una vez prestada conformidad a la liquidación, la sociedad concesionaria emitirá la factura correspondiente. El importe de dichas facturas deberá ser abonado por la Agencia Gallega de Infraestructuras dentro del plazo de cuarenta y cinco días a contar desde la presentación de la misma.
Si la Xunta de Galicia no hace efectivo a la sociedad concesionaria el pago de dichos importes en el plazo de los cuarenta y cinco días desde la recepción de la factura, la sociedad concesionaria tendrá derecho al abono de los correspondientes intereses de demora sobre la cantidad debida, contado desde el vencimiento de dicho plazo de cuarenta y cinco días, al tipo del interés legal del dinero, siempre que reclame previamente y por escrito el cumplimiento del deber.
En el primer semestre del año siguiente se efectuará una liquidación anual correspondiente al ejercicio anterior, en la que, en función de la revisión y comprobación practicada, podrán realizarse las correcciones que procedan emitiendo la factura que, en su caso, corresponda, si procede.
Las cuentas anuales de la sociedad concesionaria recogerán de forma separada los ingresos procedentes de los usuarios y los importes abonados por la Administración, regulados en este convenio.
6. Consignación presupuestaria.
La Xunta de Galicia consignará el importe estimativo de las aportaciones extraordinarias para mitigar el impacto de la subida del peaje de los años 2022 y 2023 recogidas en los apartados 2 y 4 anteriores con cargo a la partida presupuestaria 09.A1.512B.4700 (código de proyecto 2010 00340) según el siguiente desglose anual:
|
Anualidad |
Importe (€) |
|
2022 |
475.000 |
|
2023 |
2.000.000 |
Los anteriores importes son de carácter meramente estimativo y no constituyen ningún límite máximo, debiendo estarse a lo que resulte de las correspondientes liquidaciones anuales.
En el supuesto de que se superen las consignaciones presupuestarias, se tramitarán y se fiscalizarán las correspondientes adendas con las cantidades que superen esas cuantías.
7. Base para la aplicación de las bonificaciones reguladas en el presente convenio.
La base para la aplicación de las bonificaciones por frecuencia de uso, por tramo horario de uso y para familias numerosas de Galicia, reguladas en el presente convenio, serán los peajes calculados según lo establecido en los apartados 1 y 3 de esta cláusula.
A partir del día 1 de enero de 2024, la base para la aplicación de las bonificaciones por frecuencia de uso, por tramo horario de uso y para familias numerosas de Galicia serán los peajes que resulten de la correspondiente revisión tarifaria, calculados de acuerdo con lo establecido en el Real decreto 210/1990, de 16 de febrero, y con la redacción dada mediante el Decreto 100/2008, de 17 de abril, de la Xunta de Galicia, con base en las tarifas oficiales según la Resolución de la Agencia Gallega de Infraestructuras de 23 de noviembre de 2022.
Cláusula 4. Requisitos para la aplicación de las bonificaciones
1. La aplicación de la bonificación del peaje según el criterio de frecuencia de uso estará condicionada al cumplimiento de los siguientes requisitos:
a) Que se trate del mismo vehículo que realice el pago del trayecto o trayectos de vuelta en un plazo máximo de 24 horas desde el pago del viaje de ida.
b) Que el vehículo utilice como sistema de pago un sistema de peaje dinámico o telepeaje, con OBE que sea interoperable.
No se aplicará esta bonificación en caso de que tanto el viaje de ida como el correspondiente viaje de vuelta tengan lugar en el mismo domingo, día festivo en el territorio de la Comunidad Autónoma o día festivo de ámbito nacional.
2. La aplicación de la bonificación del peaje según el criterio de tramo horario de uso estará condicionada al cumplimiento de los siguientes requisitos:
a) Que se realice el pago del recorrido en el tramo horario nocturno comprendido entre las 00.00 horas y las 6.00 horas.
b) Que el vehículo utilice como sistema de pago un sistema de peaje dinámico o telepeaje, con OBE que sea interoperable.
3. La aplicación de la bonificación del peaje para familias numerosas estará condicionada al cumplimiento de los siguientes requisitos:
a) Ser una familia numerosa y que la unidad familiar esté en posesión de un título de familia numerosa en vigor, expedido por la Xunta de Galicia de conformidad con lo dispuesto en el artículo 2 del Reglamento de la Ley 40/2003, de 18 de noviembre, de protección de las familias numerosas.
b) Cumplimentar el impreso de solicitud de alta en el apartado de la página web que la sociedad concesionaria desarrollará al efecto y que estará disponible en www.autoestradas.com
Dicho impreso también estará disponible en la anterior web en formato imprimible para su presentación de forma presencial en las oficinas de la sociedad concesionaria, sitas en la calle Alfredo Vicenti, 13, 15004 A Coruña.
El impreso de solicitud deberá ir acompañado, en todo caso, de la siguiente documentación:
• Título oficial en vigor de familia numerosa expedido por la Xunta de Galicia, en el que se incluya su fecha de vigencia.
• Certificado de titularidad del dispositivo Vía-T, expedido por la entidad financiera o de cualquier otra índole en la que se adquirió, en el que se incluya la vigencia del mismo.
• El titular del dispositivo deberá ser miembro de la familia numerosa de que se trate.
• Copia del permiso de circulación del vehículo ligero que emplee la familia numerosa.o, en su caso, del contrato de alquiler del vehículo.
• El/los titular/es del/de los vehículo/s o del contrato de alquiler deberá/n ser miembro/s de la familia numerosa de que se trate.
• Únicamente se podrá asociar un dispositivo de telepeaje por cada familia numerosa, excepto en los siguientes casos, en que se podrán asociar dos:
– Familia numerosa integrada por padres divorciados, siempre y cuando se presente la resolución judicial de custodia compartida o, en su caso, resolución judicial en la que se declare la obligación de prestación de alimentos.
– Familia numerosa de categoría especial.
La presentación del formulario de solicitud del alta ante la sociedad concesionaria, ya sea por medios telemáticos o presenciales, se entenderá como declaración de responsabilidad del beneficiario de la bonificación sobre la vigencia de la totalidad de los datos cumplimentados y documentación que se acompaña.
c) Que el/los vehículo/s que desee asociar la familia numerosa emplee/n como sistema de pago el sistema de peaje dinámico o telepeaje, con OBE que sea interoperable, comunicado a la sociedad concesionaria en el formulario del alta.
d) El trayecto o trayectos a los que resulte aplicable la bonificación deberán ser realizados por el mismo vehículo ligero comunicado a la sociedad concesionaria a través del formulario de alta al que se hizo mención en el apartado b) del presente artículo y, a su vez, este deberá portar siempre y en todo caso el dispositivo Vía-T también comunicado a la sociedad.
e) Los interesados estarán obligados a mantener actualizada permanentemente la información y documentación facilitada a la sociedad concesionaria, y deberán comunicar por escrito a esta cualquier variación de la misma.
f) En caso de pérdida o extravío del OBE, este hecho deberá ser comunicado de inmediato y por escrito a la sociedad concesionaria.
Cláusula 5. Bonificaciones del peaje
1. Bonificación por frecuencia de uso.
En los casos en que proceda, el importe que la concesionaria cobrará a los usuarios será el que resulte de aplicar, en el importe de los peajes vigentes en cada momento, la bonificación siguiente:
Cuando se realice con cargo a un OBE el pago de un trayecto con ida y vuelta entre dos enlaces de la autopista en un plazo máximo de 24 horas, la sociedad concesionaria realizará los siguientes descuentos:
a) Una bonificación del 25 por ciento sobre el importe del viaje de vuelta, si el usuario realiza un único viaje de vuelta en 24 horas.
b) Una bonificación del 50 por ciento sobre el importe del segundo y ulteriores trayectos de vuelta, si el usuario realiza dos o más viajes de vuelta en 24 horas.
2. Bonificación por tramo horario de uso.
En los casos en que proceda, cuando se realice con cargo a un OBE el pago de un trayecto en el tramo horario nocturno que comprende desde las 00.00 horas hasta las 6.00 horas, la sociedad concesionaria aplicará una bonificación del 50 por ciento sobre el importe del peaje en vigor en cada momento.
3. Bonificación para familias numerosas.
En los casos en que proceda, el importe que la concesionaria cobrará a los usuarios será el que resulte de aplicar, en el importe de los peajes vigentes en cada momento, la bonificación siguiente:
Cuando se realice con cargo a un OBE el pago de un trayecto de vuelta en un plazo máximo de 24 horas desde el pago del viaje de ida, la sociedad concesionaria aplicará en el trayecto de vuelta una bonificación del 100 por cien sobre el importe del peaje en vigor en cada momento.
Cláusula 6. Importe que pagará la Administración
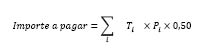
1. Importe de la compensación que pagará por la bonificación por frecuencia de uso.

Donde:
i: son los itinerarios de cada una de las autopistas.
Ti: son los primeros viajes de ida y vuelta cuando el viaje de vuelta se abone en un plazo máximo de 24 horas desde el pago del viaje de ida y cuyo origen y destino son los mismos puntos de entrada y salida (definidos en la cláusula 2.c) del presente convenio).
Pi: es el importe del peaje vigente en cada momento, correspondiente a cada uno de los trayectos.
ti: son los segundos y ulteriores viajes de ida y vuelta cuando el viaje de vuelta se abone en un plazo máximo de 24 horas desde el pago del viaje de ida y cuyo origen y destino son los mismos puntos de entrada y salida (definidos en la cláusula 2.c) del presente convenio).
2. Importe de la compensación que se pagará por la bonificación por tramo horario de uso.
Para llevar a efecto la bonificación por tramo horario de uso regulada en el presente convenio, la Administración abonará a la sociedad concesionaria el importe diferencial entre los ingresos del peaje que obtendría si no se practicase la bonificación regulada en el apartado 2 de la cláusula 5 y los ingresos realmente obtenidos.
El importe de la compensación que pagará la Administración a la sociedad concesionaria se determinará de acuerdo con la siguiente fórmula:

Donde:
i: son los itinerarios de cada una de las autopistas.
Ti: son los viajes realizados en el tramo horario nocturno desde las 00.00 horas hasta las 6.00 horas.
Pi: es el importe del peaje vigente en cada momento, correspondiente a cada uno de los trayectos.
3. Importe de la compensación que se pagará por la bonificación destinada a las familias numerosas.
El importe de la compensación que pagará la Administración a la sociedad concesionaria se determinará de acuerdo con la siguiente fórmula:

Donde:
i: son los itinerarios de cada una de las autopistas.
Ti: son los viajes de ida y vuelta cuando el viaje de vuelta se abone en un plazo máximo de 24 horas desde el pago del viaje de ida y cuyo origen y destino son los mismos puntos de entrada y salida (definidos en la cláusula 2.c) del presente convenio).
Pi: es el importe del peaje vigente en cada momento, correspondiente a cada uno de los trayectos.
4. Concurrencia de bonificaciones.
En caso de que sean de aplicación las tres compensaciones, primero se calculará la bonificación por tramo horario de uso; posteriormente, sobre dicho resultado se aplicará la bonificación correspondiente por frecuencia de uso con la regulación específica, en su caso, de la bonificación destinada a las familias numerosas.
5. Itinerarios.
a) Los itinerarios existentes actualmente en la autopista AG-55 son:
A Coruña-Arteixo;
Arteixo-Paiosaco;
Arteixo-A Laracha;
Arteixo-Carballo;
Paiosaco-A Laracha;
Paiosaco-Carballo;
A Laracha-Carballo.
b) Los itinerarios existentes actualmente en la autopista AG-57 son:
Puxeiros-Vincios;
Puxeiros-Gondomar;
Puxeiros-Nigrán;
Puxeiros-A Ramallosa;
Puxeiros-Baiona;
Vincios-Gondomar;
Vincios-Nigrán;
Vincios-A Ramallosa;
Vincios-Baiona.
Nigrán-A Ramallosa;
Nigrán-Baiona;
A Ramallosa-Baiona;
6. Importes anuales máximos.
6.1. Considerando que las bonificaciones por frecuencia de uso, por tramo horario de uso y para familias numerosas podrían ocasionar un incremento en el uso de las autopistas, como tráfico inducido, se establecen como límites de pago anuales máximos los siguientes importes de la compensación:
|
Anualidad |
Importe (€) |
|
2022 |
1.200.000 |
|
2023 |
1.525.000 |
En caso de que la Administración pague el importe máximo, la Agencia Gallega de Infraestructuras tendrá derecho a prorrogar el régimen de bonificación o a suspender su aplicación hasta el final del año natural.
En caso de que la Administración acuerde la prórroga, la sociedad concesionaria estará obligada a aplicar la bonificación hasta el final del año natural
7. Consignación presupuestaria
1. La Xunta de Galicia abonará el importe de la compensación por las bonificaciones reguladas con cargo a la partida presupuestaria 09.A1.512B.4700 (código de proyecto 2010 00340), de acuerdo con la siguiente distribución:
|
Anualidad |
Importe (€) |
|
2022 |
1.200.000 |
|
2023 |
1.525.000 |
Estas partidas presupuestarias serán adicionales a las partidas presupuestarias previstas en la cláusula 3.2 y 3.4 para las aportaciones extraordinarias para mitigar el impacto de la subida de los peajes de los años 2022 y 2023.
Cláusula 7. Procedimiento de pago
1. Devengo.
El derecho de la sociedad concesionaria al abono de los importes definidos en la cláusula 6 se entenderá devengado mensualmente el último día de cada mes.
2. Procedimiento de liquidación.
La sociedad concesionaria remitirá a la Agencia Gallega de Infraestructuras de la Xunta de Galicia, dentro de los quince primeros días siguientes al mes de devengo, su solicitud de pago mensual presentando la siguiente documentación:
a) Liquidación mensual.
b) Información sobre el número, la fecha y el tipo de trayectos beneficiarios del descuento en el mes precedente, el importe desglosado por trayectos y el importe total de los descuentos aplicados.
3. Aprobación de la liquidación.
Una vez recibida la liquidación mensual e información complementaria, la Agencia Gallega de Infraestructuras comprobará su contenido y que este se ajusta a las justificaciones establecidas en el presente convenio.
La Xunta de Galicia deberá notificar a la sociedad concesionaria la aprobación o el rechazo de la solicitud de pago en el plazo de treinta (30) días naturales desde su recepción. El incumplimiento de este plazo no se podrá entender en ningún caso como aprobación de la liquidación.
A efectos de lo dispuesto en esta cláusula, la Xunta de Galicia realizará las comprobaciones que considere oportunas.
Para efectuar las citadas comprobaciones, se desarrollará una aplicación informática que permita analizar la información con un desglose por tránsitos, peajes aplicados y bonificaciones efectivas.
La Xunta de Galicia podrá aprobar solo parte del importe de la solicitud de pago y dejar otra parte pendiente si considera que alguna de las circunstancias que dan derecho al descuento, o la aplicación por la sociedad concesionaria del descuento a los usuarios, no están suficientemente acreditadas, y debe motivar tal rechazo.
4. Pago de los importes correspondientes a las bonificaciones.
La Administración procederá a abonar la liquidación mensual dentro de los sesenta días siguientes a la fecha en que la sociedad concesionaria presente la liquidación.
El importe abonado por la Administración se considerará como precio a efectos del IVA. La liquidación mensual no deberá incluir el IVA.
La Xunta de Galicia entiende que las bonificaciones cumplen los requisitos para ser consideradas subvención vinculada al precio, por lo que los importes percibidos por la sociedad concesionaria en virtud de este convenio se integrarán en la base imponible del impuesto sobre el valor añadido, y la sociedad concesionaria repercutirá dicho impuesto íntegramente en los usuarios.
5. Intereses de demora.
Si la Xunta de Galicia no hace efectivo a la sociedad concesionaria el pago del importe de la compensación en el plazo de los sesenta días desde la recepción de la liquidación mensual, la sociedad concesionaria tendrá derecho al abono de los correspondientes intereses de demora sobre la cantidad debida, contado desde el vencimiento de dicho plazo de sesenta días, al tipo del interés legal del dinero, siempre que reclame previamente y por escrito el cumplimiento de la obligación.
6. Liquidación anual por reajuste.
En el primer semestre de cada año natural se efectuará la liquidación anual por reajuste correspondiente al ejercicio anterior.
La Xunta de Galicia efectuará un análisis de la aplicación de los descuentos a lo largo del año natural anterior, según la información sobre tránsitos y facturación, presentada por la sociedad concesionaria y la entidad financiera.
Dicha comprobación tendrá como objeto corregir irregularidades o pagos que la Xunta de Galicia no considere debidamente acreditados.
Cláusula 8. Información sobre tránsitos y pagos
1. Entidad emisora.
A efectos de este convenio, se entiende por entidad emisora aquella o aquellas que realicen la gestión del cobro del sistema de Vía-T en las autopistas AG-55 y AG-57. A título informativo, las entidades emisoras actuales son:
– Abanca Corporación Bancaria, S.A.
– Bip & Drive E.D.E.S.A.
– Ingénico Iberia, S.L.
– Pagatelia, S.L.
– Red Española de Servicios, S.A.U.
– Solred.
– Vía Verde Portugal-Gestão de Sistemas Eletrónicos de Cobrança, S.A.
– Tolltickets.
2. Información ordinaria.
Autoestradas de Galicia transmitirá mensualmente, de forma informatizada y en documento ejecutable, a la Agencia Gallega de Infraestructuras de la Xunta de Galicia, un resumen diario y mensual de la información correspondiente al mes precedente, con su importe correspondiente, junto con un certificado emitido por cada una de las entidades emisoras, con los importes correspondientes.
3. Información adicional.
Asimismo, la sociedad concesionaria facilitará a la Agencia Gallega de Infraestructuras de la Xunta de Galicia cualquier información adicional que esta considere oportuna en relación con la aplicación de la medida objeto del presente convenio y con la verificación de los sistemas.
Cláusula 9. Datos de carácter personal
1. La aplicación de este convenio se llevará a cabo de forma que el tratamiento de los datos personales necesarios para su aplicación se haga conforme a las normas de protección de las libertades y derechos fundamentales de las personas, incluida su vida privada y, en particular, de conformidad con la Ley orgánica 3/2018, de 5 de diciembre, de protección de datos personales y garantía de los derechos digitales.
2. Igualmente será de obligado cumplimiento, en su aplicación específica al servicio de telepeaje, lo que disponen, a ese respecto, la Ley 9/2014, de 9 de mayo, general de telecomunicaciones, y la Ley 34/2002, de 11 de julio, de servicios a la sociedad de la información y de comercio electrónico.
Cláusula 10. Prevención del fraude
1. General.
Las partes se comprometen a procurar una correcta utilización de las medidas por parte de los usuarios, respetuosa y acorde con la finalidad pretendida por la Xunta de Galicia, evitando su aplicación fraudulenta.
2. Conductas fraudulentas respecto de la bonificación por frecuencia de uso.
En particular, no será de aplicación la medida de bonificación del peaje cuando pueda acreditarse cualquiera de los aspectos recogidos en los apartados siguientes:
a) En caso de que un vehículo realice el trayecto de ida y ceda el OBE a un segundo vehículo que realice el trayecto de vuelta, y se beneficie de la bonificación del 25 por ciento en el trayecto de vuelta.
b) En caso de que un vehículo realice un trayecto de ida y vuelta con derecho a bonificación y ceda el OBE a otro(s) vehículo(s) que realicen un nuevo o ulteriores trayectos de ida y vuelta con derecho a bonificación del 50 por ciento en el trayecto de vuelta.
c) En caso de que no se detecte el dispositivo Vía-T o que este no sea correctamente leído por el sistema y este hecho no sea atribuible a la sociedad concesionaria.
d) Aquellos otros supuestos que la Administración defina en el futuro y notifique a la sociedad concesionaria como actuaciones fraudulentas en relación con la aplicación de la medida regulada en el presente convenio.
Serán responsables de la conducta fraudulenta los que la realicen y los que presten su colaboración.
3. Control de uso indebido respecto de la bonificación por familia numerosa.
En particular, no será de aplicación la medida de bonificación del peaje por familia numerosa:
a) En caso de que se emplee un vehículo distinto al/a los comunicado/s a la sociedad concesionaria.
b) En caso de que se emplee un dispositivo Vía-T distinto al/a los comunicado/s a la sociedad concesionaria.
c) En caso de que no se detecte el dispositivo Vía-T o que este no sea correctamente leído por el sistema y este hecho no sea atribuible a la sociedad concesionaria.
d) En caso de que la matrícula del vehículo no sea legible.
4. Persecución del fraude.
Lo dispuesto en la presente cláusula se entiende sin perjuicio del derecho que corresponda a la Administración para perseguir y sancionar las conductas fraudulentas en relación con la aplicación del peaje, de conformidad con la legislación vigente.
Cláusula 11. Regulación de las medidas
La sociedad concesionaria incorporará las medidas recogidas en el presente convenio a los reglamentos del servicio de la AG-55 y de la AG-57, previa aprobación de su texto por la Agencia Gallega de Infraestructuras.
Cláusula 12. Publicidad
La sociedad concesionaria deberá realizar actuaciones de difusión de las medidas de bonificación del peaje de forma que llegue al conocimiento de los usuarios.
Cláusula 13. Equilibrio económico
Las partes entienden que el pago de la Agencia Gallega de Infraestructuras de la Xunta de Galicia de los importes regulados en las cláusulas 3 y 5 es suficiente para cubrir la pérdida de ingresos que les ocasiona la aplicación, durante los años 2022 y 2023, de los peajes establecidos en la cláusula 3 y la aplicación de las bonificaciones por frecuencia de uso, por tramo horario de uso y para familias numerosas, así como cualquier gasto que se derive del cumplimiento del presente convenio.
Cláusula 14. Régimen jurídico
El presente convenio se regirá por lo dispuesto en sus cláusulas, por las normas que regulan el contrato de concesión suscrito entre la Xunta de Galicia y Autoestradas de Galicia, Autopistas de Galicia, Concesionaria de la Xunta de Galicia, S.A. en fecha 11 de septiembre de 1995, por la Ley 8/1972, de 10 de mayo, de construcción, conservación y explotación de autopistas en régimen de concesión, y por el Decreto 215/1973, de 25 de enero, por el que se aprueba el pliego de cláusulas generales para la construcción, conservación y explotación de autopistas en régimen de concesión, y demás normas del derecho administrativo.
Cláusula 15. Comisión de Seguimiento
Para el seguimiento y desarrollo del presente convenio se constituirá una comisión de seguimiento y control compuesta por dos vocales, uno en representación de la Xunta de Galicia, a propuesta de la Agencia Gallega de Infraestructuras, y uno en representación de Autoestradas de Galicia, Autopistas de Galicia, Concesionaria de la Xunta de Galicia, S.A.
La Comisión de Seguimiento y Control estará presidida por el representante de la Xunta de Galicia. A las reuniones podrán asistir, como asesores, los técnicos que se estime conveniente.
La Comisión se reunirá a lo largo de la vigencia del convenio en sesión ordinaria una vez al año y extraordinaria siempre que lo requiera el asunto a tratar, a solicitud de una de las partes.
Cláusula 16. Suspensión y resolución
La Administración podrá suspender la aplicación o acordar la resolución del presente convenio en cualquier momento si se alteran los motivos tenidos en cuenta para el establecimiento de las bonificaciones o concurren causas objetivas que de algún modo lo justifiquen. La suspensión de la aplicación o acuerdo de resolución deberá notificarse por escrito con una antelación mínima de tres meses a la fecha de su efectividad y con expresión de sus motivos o causas.
Serán causas de extinción de este convenio:
• El no cumplimiento de su objeto.
• La inviabilidad de la realización de las actuaciones descritas en este convenio por causas no imputables a las partes.
• El incumplimiento de carácter total o parcial de cualquiera de las cláusulas del convenio. Se entenderá por incumplimiento parcial aquel que implica, en mayor o menor grado, la no consecución de los fines propios del convenio o impida, de manera directa o indirecta, las actuaciones previstas en él.
• Renuncia por causas de interés público, a instancia de cualquiera de las partes.
Cada una de las situaciones descritas, por si sola es causa suficiente de rescisión del convenio.
Cláusula 17. Cláusula de jurisdicción
La jurisdicción contencioso-administrativa será la competente para entender de cualquier litigio, discrepancia, cuestión o reclamación que surja entre las partes, relacionado con la interpretación y ejecución del presente convenio.
Cláusula 18. Vigencia del convenio
1. El presente convenio se aplicará desde el momento de la entrada en vigor del decreto por el que se apruebe y permanecerá en vigor hasta su extinción el 31 de diciembre de 2023. Este plazo podrá ser prorrogado por acuerdo de las partes mediante la suscripción de la pertinente adenda.
2. La sociedad concesionaria deberá presentar a la Administración la propuesta de modificación de los reglamentos del servicio para la aplicación de las bonificaciones, en el plazo de quince días desde la entrada en vigor del convenio.
3. Una vez que se produzca la extinción del convenio, la Xunta de Galicia no estará obligada a efectuar el pago previsto en la cláusula 6. De forma correlativa, la sociedad concesionaria tampoco estará obligada a aplicar las bonificaciones previstas en la cláusula 5.
Así lo otorgan en el lugar y fecha del encabezamiento, suscribiendo el presente convenio por triplicado ejemplar.
|
Ethel Vázquez Mourelle |
José César Canal Fernández Autoestradas de Galicia, Autopistas de Galicia, Concesionaria de la Xunta de Galicia, S.A. |


