I
En aplicación de la disposición transitoria sexta de la Ley 7/2012, de 28 de junio, de montes de Galicia, los montes o terrenos forestales deberán de disponer de un instrumento de ordenación o gestión forestal obligatorio y vigente, como máximo, en el plazo de seis años desde la publicación de las instrucciones de ordenación de Galicia. Es decir, el 8 de mayo de 2020. Pasado este plazo sin aprobación, no se autorizarán aprovechamientos forestales en dichos montes.
Antes de esta fecha y según se establece en la disposición transitoria tercera de la Ley 43/2003, de 21 de noviembre, de montes, a partir del 22 de febrero de 2019 se denegarán los incentivos a los que se refiere su artículo 63, salvo las excepciones que establece.
No obstante, la normativa autonómica fija un plazo más lejano que el anterior, por lo que sería de aplicación para las demás ayudas, subvenciones o beneficios fiscales regulados por la normativa vigente en materia forestal. Este segundo plazo es el 8 de mayo de 2020 señalado anteriormente.
Un caso especial son las ayudas que exijan tener el monte ordenado antes de cualquiera de estas dos fechas. Para estas líneas de financiación, si el monte cumple los requisitos para comunicar su adhesión a los referentes de buenas prácticas y modelos silvícolas o de gestión forestal, puede entenderse que no existe una limitación temporal puesto que es una condición a la que puede acceder el titular en cualquier momento. De no reunir alguno de los requisitos, es necesario tramitar un instrumento de ordenación o gestión forestal que está sujeto a aprobación por la Administración forestal. No obstante, la disposición transitoria segunda del Decreto 52/2014, de 16 de abril, por el que se regulan las instrucciones generales de ordenación y de gestión de montes de Galicia, permite que cualquier persona propietaria o titular de un monte, independientemente de su titularidad, condición o superficie en coto redondo y sólo a los efectos previstos en materia de obtención de beneficios, tales como ayudas relativas al desarrollo rural, comunique su adhesión a los referentes de buenas prácticas y modelos silvícolas o de gestión forestal. En tanto no se modifique, esta excepción caducará el 8 de agosto de 2018.
II
El Reglamento (UE) núm. 1305/2013 del Parlamento Europeo y del Consejo, de 17 de diciembre de 2013, relativo a la ayuda al desarrollo rural a través del Fondo Europeo Agrícola de Desarrollo Rural (Feader), establece la posibilidad de conceder ayudas destinadas a inversiones en el desarrollo de zonas forestales y mejora de la viabilidad de los bosques (artículo 21), señalando que «en el caso de las explotaciones que superen cierto tamaño, que los Estados miembros determinarán en el programa, la ayuda estará supeditada a la presentación de la información pertinente procedente de un plan de gestión forestal o instrumento equivalente que sean compatibles con una gestión forestal sostenible, de acuerdo con la definición de la Conferencia Ministerial sobre Protección de Bosques en Europa de 1993». En consecuencia, la ordenación forestal va a ser esencial para el acceso a las ayudas financiadas por este fondo.
Posteriormente, se aprobó el Reglamento de ejecución (UE) núm. 808/2014 de la Comisión de 17 de julio de 2014 por el que se establecen disposiciones de aplicación del Reglamento (UE) núm. 1305/2013 del Parlamento Europeo y del Consejo, relativo a la ayuda al desarrollo rural a través del Fondo Europeo Agrícola de Desarrollo Rural (Feader). En él se establecen disposiciones de aplicación en lo que respecta a la presentación de los programas de desarrollo rural.
El Programa de desarrollo rural de Galicia 2014-2020 (en adelante, PDR de Galicia 2014-2020) fue aprobado por la Decisión de ejecución de la Comisión C (2015) 8144, de 18 de noviembre de 2015, por la que se aprueba el programa de desarrollo rural de Galicia (España) a efectos de la concesión de ayudas del Fondo Europeo Agrícola de Desarrollo Rural. Recientemente fue modificado por la Decisión de ejecución de la Comisión de 26.7.2017 por la que se aprueba la modificación del programa de desarrollo rural de Galicia (España) a efectos de la concesión de ayudas del Fondo Europeo Agrícola de Desarrollo Rural (Feader). En el programa se contempla la posibilidad de conceder ayudas para la redacción e implementación de instrumentos de ordenación o gestión forestal en varias submedidas:
a) La submedida 8.31 «prevención de los daños causados por incendios, desastres naturales y catástrofes» que desarrolla el apartado 21.1.c) y el artículo 24 del Reglamento (UE) 1305/2013;
b) La submedida 8.50 «inversiones para aumentar la resiliencia y el valor ambiental de los ecosistemas forestales», derivada del apartado 21.1.d) y el artículo 25 del Reglamento (UE) 1305/2013;
c) La submedida 8.60 «inversiones en tecnologías forestales», formulada en aplicación del apartado 21.1.e) y el artículo 26 del Reglamento (UE) 1305/2013.
Las subvenciones que se regulan en la presente orden se corresponden con las tres submedidas indicadas y tienen como objetivo la redacción instrumentos de ordenación o gestión forestal de acuerdo con:
1. El apartado del 8.2.7.3.3.5 del PDR de Galicia 2014-2020 (submedida 8.31): redacción e implementación de instrumentos de ordenación o gestión forestal.
2. El apartado 8.2.7.3.5.5 del PDR de Galicia 2014-2020 (submedida 8.50):
a) Actuaciones puntuales para la modificación de la estructura y composición de los bosques: preparación del proyecto y proyectos de ordenación o instrumentos equivalentes en masas de frondosas caducifolias autóctonas u otras que contribuyan a consolidar su valor ambiental.
b) Inversiones en equipamientos y mejora del carácter público, ambiental y de protección de los ecosistemas forestales: redacción de instrumentos de ordenación o gestión.
3. El apartado 8.2.7.3.6.5 del PDR de Galicia 2014-2020 (submedida 8.60):
Inversiones en la mejora del valor económico de los bosques (se motivarán en relación con las mejoras previstas para los bosques en una o varias explotaciones, y pueden incluir las inversiones en maquinaria): elaboración o adaptación a la legislación de planes de gestión forestal o instrumentos equivalentes e implantación de los sistemas de gestión forestal sostenible en bosques productivos, excluyendo los costes administrativos directos de emisión de los sistemas de certificación forestal.
También resulta de aplicación el Reglamento (UE) 702/2014 de la Comisión, de 25 de junio de 2014, por el que se declaran determinadas categorías de ayuda en los sectores agrícola y forestal y en zonas rurales compatibles con el mercado interior en aplicación de los artículos 107 y 108 del Tratado de funcionamiento de la Unión Europea. De acuerdo con el punto 13.7 del PDR de Galicia 2014-2020, este reglamento regula en sus artículos 34, 35 y 41 las ayudas al sector forestal. Por lo que se refiere a las ayudas a las inversiones que mejoran la resiliencia y el valor medioambiental de los ecosistemas forestales (artículo 35.6.e) los «costes de instauración de planes de gestión forestal o instrumentos equivalentes» están exentos de la obligación de notificación prevista en el artículo 108, apartado 3.
Para cumplir la obligación de publicidad del artículo 9.2 del citado Reglamento (UE) núm. 702/2014 deben comunicarse estas ayudas a la BDNS en los términos del artículo 20 de la Ley 38/2003, de 17 de noviembre, general de subvenciones. Esta medida fue comunicada por el Estado con el número de ayuda SA.43021 al amparo del Reglamento (UE) núm. 702/2014.
III
De acuerdo con el artículo 27.10 de la Ley orgánica 1/1981, de 6 de abril, del Estatuto de autonomía de Galicia, corresponde a la Comunidad Autónoma gallega la competencia exclusiva en materia de montes, aprovechamientos forestales, vías pecuarias y pastos, sin perjuicio de lo dispuesto en el artículo 149.1.23 de la Constitución.
El Decreto 166/2015, de 13 de noviembre, por el que se aprueba la estructura orgánica de la Consellería del Medio Rural, establece que es el órgano de la Administración gallega competente en materia de montes.
En desarrollo de esta competencia fue aprobado el Decreto 52/2014. Como bien se expone en su preámbulo, la escasa superficie ordenada en Galicia no sólo está provocando que los recursos y servicios que produce el monte gallego se abandonen y no se pongan en valor de forma sostenible, sino que, además, está influyendo claramente en la competitividad del sector forestal gallego.
La Ley 9/2007, de 13 de junio, de subvenciones de Galicia, tiene por objeto regular el régimen jurídico propio de las subvenciones cuyo establecimiento y gestión le corresponde a la administración de la Comunidad autónoma de Galicia, organismos y demás entidades vinculadas o dependientes de esta.
En consecuencia, de conformidad con lo previsto en el artículo 30.1.3 del Estatuto de autonomía de Galicia, y en el uso de las facultades que me confieren los artículos 7, 14 y 20 de la Ley 9/2007,
DISPONGO:
TÍTULO I
Preliminar
Artículo 1. Objeto de las subvenciones
Esta orden tiene por objeto establecer las bases reguladoras de las subvenciones dirigidas a la elaboración de instrumentos de ordenación o gestión forestal, cofinanciadas con el Fondo Europeo Agrícola de Desarrollo Rural en el marco del PDR de Galicia 2014-2020 (códigos de procedimiento MR462B y MR462C).
Asimismo, se procede a realizar la convocatoria de subvenciones correspondiente al año 2018.
TÍTULO II
Bases reguladoras
CAPÍTULO I
Requisitos
Artículo 2. Inversiones subvencionables
1. Se establecen siete líneas de subvenciones:
a) Línea 1. Para instrumentos sujetos a aprobación del órgano forestal de la Comunidad Autónoma de Galicia, a través de la submedida 8.31. Engloba:
1ª. Línea 1-Sofor. Reservada a solicitudes realizadas por sociedades de fomento forestal.
2ª. Línea 1-Común. Reservada al resto de solicitantes.
b) Línea 2. Para instrumentos sujetos a aprobación del órgano forestal de la Comunidad Autónoma de Galicia, a través de la submedida 8.50. Engloba:
1ª. Línea 2-Sofor. Reservada a solicitudes realizadas por sociedades de fomento forestal.
2ª. Línea 2-Común. Reservada al resto de solicitantes.
c) Línea 3. Para instrumentos sujetos a aprobación del órgano forestal de la Comunidad Autónoma de Galicia, a través de la submedida 8.60. Engloba:
1ª. Línea 3-Sofor. Reservada a solicitudes realizadas por sociedades de fomento forestal.
2ª. Línea 3-Común. Reservada al resto de solicitantes.
d) Línea 4. Para documentos de adhesión expresa a referentes de buenas prácticas y a los modelos silvícolas o de gestión forestal orientativos, a través de la submedida 8.60.
2. A través de las líneas 1, 2 y 3 (procedimiento MR462B), podrán recibir subvenciones las personas propietarias que gestionen directamente sus montes, las titulares de derechos sobre el monte (ya sea por arrendamientos o contratos plurianuales con la propiedad) y las responsables de la gestión de terrenos forestales para elaborar, conforme a lo establecido en el artículo 10.1.a) y b) del Decreto 52/2014:
a) Proyectos de ordenación.
b) Documentos simples de gestión.
c) Documentos compartidos de gestión.
Los instrumentos cuya elaboración se financie con estas subvenciones no podrán, para el conjunto del monte, aumentar la superficie ocupada por masas de eucaliptos; tampoco podrán, para el conjunto del monte, aumentar la superficie ocupada por masas de Eucalyptus nitens.
3. Las subvenciones del apartado anterior podrán financiar los siguientes conceptos:
a) Redacción del instrumento de ordenación o gestión forestal, incluyendo la realización del inventario de los recursos y servicios forestales necesario para la redacción de proyectos de ordenación.
b) Redacción del estudio de impacto ambiental o documento ambiental asociado al procedimiento simplificado, según corresponda, si fuera obligatorio someter el instrumento a una evaluación de impacto ambiental de proyectos ordinaria o simplificada conforme a lo dispuesto en la Ley 21/2013, de 9 de diciembre, de evaluación ambiental.
c) La instalación del cartel identificativo de la subvención concedida.
4. A través de la línea 4 (procedimiento MR462C), podrán recibir subvenciones para comunicar, conforme a lo establecido en el artículo 9 del Decreto 52/2014, documentos de adhesión expresa a referentes de buenas prácticas y a los modelos silvícolas o de gestión forestal orientativos:
a) Las asociaciones forestales formalmente constituidas e inscritas en el Registro de Asociaciones de la Consellería de Presidencia, Administraciones Públicas y Justicia de Galicia.
b) Los grupos de certificación de gestión forestal formalmente constituidos, que tengan la consideración de pyme, microempresa o pequeña o mediana empresa tal y como se define en la Recomendación 2003/361/CE de la Comisión.
5. El IVA no es subvencionable.
Artículo 3. Definiciones
A los efectos de esta orden, se utilizarán los siguientes términos:
1. Se entiende por monte o terreno forestal toda superficie que se ajuste al concepto establecido en el artículo 2 de la Ley 7/2012.
2. El concepto de «coto redondo» es el recogido en el artículo 8.10 de la Ley 7/2012.
3. Se entenderá por personal técnico competente en materia forestal aquel descrito en el artículo 8.24 de la Ley 7/2012: las personas tituladas en Ingeniería de Montes o Ingeniería Técnica Forestal y las tituladas universitarias de grado o postgrado en materia forestal que sustituyan a las anteriores.
4. Coordinador/a del documento compartido de gestión forestal: aquella persona responsable en la tramitación de la aprobación del documento compartido de gestión forestal a los efectos administrativos de presentación de solicitudes, requerimientos y comunicaciones.
5. Montes abertales, de voces, de varas, de vocerío o de fabeo son aquellos cuyas características se ajusten a la descripción incluida en el artículo 19.1 de la Ley 7/2012.
6. Montes de socios son, de acuerdo con el artículo 27 bis de la Ley 43/2003, aquellos cuya titularidad corresponde, en proindiviso, a varias personas y alguna de ellas es desconocida, con independencia de su denominación y de su forma de constitución. A los efectos de esta orden de subvenciones, no se incluirán aquí los montes abertales, de voces, de varas, de vocerío o de fabeo.
7. Por desastre natural se entiende los daños económicos sufridos en la cubierta vegetal de un monte como consecuencia de plagas, enfermedades y fenómenos climáticos extremos u otros debidamente justificados, sea de forma individual o combinada durante los 5 años anteriores a la convocatoria.
8. Se consideran asociaciones de personas propietarias forestales aquellas entidades jurídicas sin ánimo de lucro formalmente constituidas e inscritas en el Registro de Asociaciones de la Xunta de Galicia que tengan entre sus fines sociales lograr una gestión forestal sostenible para los terrenos que pertenezcan a sus socios/as.
9. Se definen agrupaciones forestales las entidades jurídicas de derecho privado legalmente constituidas que agrupen a personas propietarias forestales con una finalidad de gestión y comercialización en común de los frutos de sus propiedades y que no ostenten la condición de sociedades de fomento forestal (Sofor).
10. Se entiende por grupo de certificación de gestión forestal la entidad, sea persona física o jurídica formalmente constituida, que es titular de un certificado de gestión forestal sostenible y es responsable de asegurar que los requisitos del estándar de gestión forestal sostenible se cumplen en las propiedades forestales que forman parte del grupo.
11. Se consideran «bosques productivos» aquellas masas arbóreas en las que se desarrolla una silvicultura activa, constituidas por eucaliptales o por plantaciones de otras especies realizadas para ser aprovechadas con un turno máximo de 15 años.
12. Los organismos nocivos a los que se refiere el baremo de la submedida 8.31 se citan a continuación: Thaumetopoea pityocampa (procesionaria del pino), Bursaphelenchus xylophilus (nematodo de la madera del pino), limántridos y tortrícidos defoliadores de Quercus, Ips y Tomicus (perforadores de coníferas), Gonipterus spp. (gorgojos defoliadores de eucaliptares), Ctenarytaina eucalypti (pulgón del eucalipto), Glycaspis brimblecombei, Phytophthora cinnamomi (tinta del castaño), Dryocosmus kuriphilus (avispilla del castaño), Fusarium circinatum (chancro resinoso de los pinos), Cryphonectria parasitica (chancro del castaño), Altica quercetorum (pulga defoliadora de robles), Phytophthora alni (afección sobre los alisos), Diplodia pinea, Dothistroma septosporum (banda roja del pino), Dioryctria sylvestrella, etc., u otros de reciente introducción en la península que pueden causar brotes o sucesos catastróficos.
13. La «superficie del monte» es la superficie total de la propiedad que tiene la consideración de monte o terreno forestal.
14. La «superficie de ordenación» es, para el instrumento que se pretende redactar, la superficie del monte, excluida la superficie donde exista conflicto, duda o litigio.
15. La «superficie inventariable» es la parte de la superficie de ordenación ocupada por estratos de inventario que previsiblemente vayan a ser objeto de aprovechamiento final, en su totalidad o parcialmente, durante el plan especial.
16. «Empresa en crisis» es, de acuerdo con el artículo 2.14 del Reglamento (UE) 702/2014, una empresa en la que concurra al menos una de las siguientes circunstancias:
a) Si se trata de una sociedad de responsabilidad limitada (distinta de una pyme con menos de tres años de antigüedad), cuando haya desaparecido más de la mitad de su capital social suscrito como consecuencia de las pérdidas acumuladas, que es lo que sucede cuando la deducción de las pérdidas acumuladas de las reservas (y de todos los demás elementos que se suelen considerar fondos propios de la sociedad) conduce a un resultado negativo superior a la mitad del capital social suscrito. A efectos de la presente disposición, «sociedad de responsabilidad limitada» se refiere, en particular, a los tipos de sociedades mencionados en el anexo I de la Directiva 2013/34/UE del Parlamento Europeo y del Consejo y, «capital social» incluye, cuando proceda, cualquier prima de emisión.
b) Si se trata de una sociedad en la que al menos algunos socios tienen una responsabilidad ilimitada sobre la deuda de la sociedad (distinta de una pyme con menos de tres años de antigüedad), cuando más de la mitad de su capital, según lo indicado en su contabilidad, haya desaparecido como consecuencia de las pérdidas acumuladas. A efectos de la presente disposición, «sociedad en la que al menos algunos socios tienen una responsabilidad ilimitada sobre la deuda de la sociedad» se refiere, en particular, a los tipos de sociedades mencionados en el anexo II de la Directiva 2013/34/UE.
c) Cuando la empresa se encuentre inmersa en un procedimiento de quiebra o insolvencia o reúna los criterios establecidos en su derecho nacional para ser sometida a un procedimiento de quiebra o insolvencia a petición de sus acreedores.
d) Cuando la empresa haya recibido ayuda de salvamento y todavía no haya reembolsado el préstamo o puesto fin a la garantía, o haya recibido ayuda de reestructuración y esté todavía sujeta a un plan de reestructuración.
e) Si se trata de una empresa distinta de una pyme, cuando durante los dos ejercicios anteriores:
1º. La ratio deuda/capital de la empresa haya sido superior a 7,5, y
2º. La ratio de cobertura de intereses de la empresa, calculada sobre la base del EBITDA, se haya situado por debajo de 1,0.
Artículo 4. Requisitos comunes a todos los beneficiarios
1. Los beneficiarios no estarán incursos en ninguna de las prohibiciones señaladas en los apartados 2 y 3 del artículo 10 de la Ley 9/2007, ni en ninguna de las circunstancias previstas en el artículo 13 de la Ley 38/2003, de 17 de noviembre, general de subvenciones.
2. No se admitirán a trámite solicitudes que incluyan terrenos situados dentro de las zonas consideradas densamente pobladas. Estas zonas son las recogidas en el anexo XII.
3. No se admitirán solicitudes que incluyan:
a) Zonas con un procedimiento de concentración parcelaria en ejecución sin acuerdo firme de reestructuración parcelaria y toma de posesión definitiva.
b) Terrenos con un proceso iniciado de expropiación forzosa.
4. En aplicación del artículo 1.5.a) del Reglamento (UE) 702/2014, no podrán ser beneficiarias las empresas que estén sujetas a una orden de recuperación pendiente tras una decisión previa de la Comisión que haya declarado una ayuda ilegal e incompatible con el mercado interior.
5. En aplicación del artículo 1.6 del Reglamento (UE) 702/2014, no podrán ser beneficiarias las empresas en crisis.
Artículo 5. Requisitos de los beneficiarios de las líneas 1, 2 y 3
1. Podrán solicitar las subvenciones de las líneas 1, 2 y 3 las sociedades de fomento forestal, las personas propietarias particulares de forma individual, las asociaciones de personas propietarias particulares legalmente constituidas e inscritas en el Registro de Asociaciones de la Xunta de Galicia, las cooperativas agrarias, los montes proindivisos, los montes de varas, abertales, de voces, de vocerío y fabeo, los montes de socios, las comunidades de bienes, otras personas jurídicas y las comunidades de montes vecinales en mano común.
2. No se admitirán a trámite solicitudes que incluyan sociedades de fomento forestal con inscripción previa en el Registro de Sociedades de Fomento Forestal, salvo que logren inscribirse de forma definitiva dentro del plazo de solicitud de cada convocatoria.
3. En los montes de varas, abertales, de voces, de vocerío o de fabeo, el solicitante deberá tener capacidad suficiente para solicitar la subvención, en los términos del artículo 45 de la Ley 7/2012.
4. En los montes de socios que cuenten con junta gestora, el solicitante será su presidente. En caso de no haberse constituido una junta gestora, será necesario acreditar el voto favorable de la mayoría de las cuotas de participación de las personas propietarias conocidas, presentes o representadas.
5. En los montes proindivisos distintos de los anteriores, acuerdo de la mayoría de los partícipes y nombramiento de representante.
6. En el caso de personas físicas o jurídicas que tengan la responsabilidad de la gestión del monte será necesario contar con la conformidad expresa de las personas propietarias o de las personas titulares de los derechos sobre el monte.
7. En el caso de montes vecinales en mano común (MVMC):
a) No se admitirán a trámite las solicitudes cuando la comunidad no cumpla alguno de los siguientes requisitos:
1º. Tener sus estatutos vigentes inscritos en el Registro de Montes Vecinales en Mano Común (RMVMC).
2º. Tener actualizado en el RMVMC la composición de la junta rectora vigente.
3º. Tener el censo de comuneros actualizado e inscrito en el RMVMC.
b) No serán admitidas a trámite las solicitudes de MVMC que no cumplan lo dispuesto en el artículo 125.7 de la Ley 7/2012, según el cual, las comunidades de montes vecinales en mano común no podrán ser beneficiarias de ayudas públicas en tanto no presenten las comunicaciones de las inversiones realizadas en el año anterior o, presentadas las comunicaciones, estas no se ajusten a lo establecido en dicha ley.
De conformidad con dicho artículo, y con el artículo 13 del Decreto 23/2016, de 25 de febrero, por el que se regula la reinversión de los ingresos obtenidos por los montes vecinales en mano común en actuaciones de mejora y protección forestal, la comunicación deberá haberse efectuado durante el primer semestre de cada año natural. A estos efectos, en función de la que la solicitud se presente en el primer o segundo semestre del año:
1º. Si la solicitud de subvención se presenta dentro del primer semestre del año, se admitirán las comunicaciones de reinversiones del año en curso o del anterior.
2º. Si la solicitud de subvención se presenta dentro del segundo semestre del año, solo se admitirán las comunicaciones de reinversiones del año en curso.
8. Las agrupaciones forestales, comunidades de bienes, montes de socios, montes en proindiviso y otras entidades formadas por titulares sin necesidad de constituirse con personalidad jurídica para realizar en común las actuaciones previstas en esta orden y en la correspondiente convocatoria, deberán cumplir los requisitos exigidos en el artículo 8.3 de la Ley 9/2007 y deberán hacer constar expresamente los compromisos y obligaciones de ejecución asumidos por cada miembro de la agrupación, que tendrán igualmente la consideración de beneficiarios. Deberán, asimismo, nombrar un representante con poderes bastantes para cumplir las obligaciones que, como beneficiario, corresponden a la agrupación.
Artículo 6. Requisitos de los beneficiarios de la línea 4
1. Podrán solicitar las subvenciones de la línea 4:
a) Las asociaciones de personas propietarias forestales inscritas en el Registro de Asociaciones de la Consellería de Presidencia, Administraciones Públicas y Justicia de Galicia.
b) Los grupos de certificación de gestión forestal, que tengan la consideración de pyme, microempresa o pequeña o mediana empresa tal y como se define en la Recomendación 2003/361/CE de la Comisión.
2. Las entidades solicitantes deberán cumplir los siguientes requisitos:
a) Estar formalmente constituidas e inscritas en el registro correspondiente.
b) Tener un mínimo de 100 socios que sean personas propietarias o titulares de derechos forestales sobre terrenos forestales dentro de la Comunidad autónoma de Galicia.
c) Tener entre sus fines sociales lograr una gestión forestal sostenible de los terrenos que pertenezcan a sus asociados.
d) Cuando la beneficiaria sea una empresa forestal, deberá estar inscrita en el Registro de empresas del sector forestal de Galicia.
3. No se admitirán a trámite solicitudes para comunicar documentos de adhesión expresa a referentes de buenas prácticas y a los modelos silvícolas o de gestión forestal orientativos de menos de 100 socios.
Artículo 7. Requisitos según la submedida a través de la cual se financien las subvenciones
1. Los instrumentos de ordenación o gestión forestal para los que se solicita la subvención a través de la submedida 8.31 (línea 1) deberán cumplir que los terrenos se encuentren declarados previamente como de medio o alto riesgo de incendios conforme a lo establecido en la Orden de 18 de abril de 2007 por la que se zonifica el territorio en base a riesgo espacial de incendio forestal.
2. Los instrumentos de ordenación o gestión forestal para los que se solicita la subvención a través de la submedida 8.50 (línea 2) deberán cumplir al menos uno de los siguientes requisitos:
a) Tratarse de montes que, al menos parcialmente, estén cubiertos por masas consolidadas de frondosas autóctonas según se describen en el artículo 93.1 de la Ley 7/2012, que deberán estar inscritas en el Registro de masas consolidadas de frondosas autóctonas, de acuerdo con el artículo 126.1.m) de la Ley 7/2012. Este requisito deberá cumplirse antes de solicitar el pago final de la ayuda y de que finalice el plazo de justificación de la subvención.
b) Ordenar terrenos forestales cuya superficie esté dentro de la Red Natura 2000, al menos parcialmente, para contribuir a consolidar su valor ambiental.
c) La Directiva 2007/60/CE del Parlamento Europeo y del Consejo de 23 de octubre de 2007 relativa a la evaluación y gestión de los riesgos de inundación, considera que es posible y conveniente reducir el riesgo de consecuencias negativas, en particular para la salud y la vida humana, el medio ambiente, el patrimonio cultural, la actividad económica y las infraestructuras asociadas a las inundaciones. Consecuentemente, también se admitirán los instrumentos elaborados sobre montes situados, al menos parcialmente, en la zona de policía de áreas de riesgo potencial significativo de inundación (ARPSI), para contribuir a consolidar su valor ambiental.
3. Los instrumentos de ordenación o gestión forestal para los que se solicita la subvención a través de la submedida 8.60 (líneas 3 y 4) deberán estar cubiertos por bosques productivos al menos en un 50 %.
En las solicitudes de la línea 4, el cumplimiento de este requisito será exigible considerando el conjunto de terrenos forestales incluidos en la solicitud, no parcela a parcela.
Artículo 8. Otros requisitos
1. Para aquellos montes que dispongan de un instrumento de ordenación o gestión forestal en vigor, sólo podrán solicitar las ayudas durante su último año de vigencia; también podrán hacerlo antes en caso de sufrir (con posterioridad a la solicitud de aprobación del instrumento) incendios, desastres naturales y catástrofes que hayan causado la destrucción del 20 % del potencial forestal como mínimo.
2. Los instrumentos se aplicarán sobre la totalidad de la superficie de ordenación de cada monte, no admitiendo aquellas solicitudes que excluyan una parte del monte. En particular, las comunidades de montes vecinales en mano común ordenarán todos los montes que estén clasificados a su nombre, excepción hecha de los arrendamientos y derechos de superficie para gestión diferenciada que pueden ser ordenados de forma separada (contando siempre con el visto bueno de la comunidad vecinal).
3. No se admitirán solicitudes que ordenen o gestionen superficies que se hayan beneficiado de una subvención anterior dirigida a la elaboración o comunicación de un instrumento de ordenación o gestión forestal, cofinanciada con el Feader dentro del PDR de Galicia 2014-2020, salvo los casos contemplados en el apartado 1 por una sóla vez.
Artículo 9. Plazo para acreditar los requisitos de los beneficiarios
Todos los requisitos deberán cumplirse dentro del plazo de solicitud de cada convocatoria de ayudas, salvo los contenidos en el artículo 7.2.a), que lo serán en los términos allí establecidos. En el trámite de subsanación de solicitudes no se admitirán documentos que se deriven de un cumplimiento de los requisitos posterior al término del plazo de presentación de solicitudes.
CAPÍTULO II
Procedimiento de solicitud
Artículo 10. Solicitantes en subvenciones de las líneas 1, 2 y 3
1. En el caso de instrumentos de ordenación o gestión forestal que planifiquen los usos y aprovechamientos de terrenos forestales cuya titularidad corresponda a una pluralidad de personas, sean físicas o jurídicas, se presentará la relación de titulares según el anexo II. Mediante este anexo II, los firmantes delegarán su representación en un solicitante común a todos ellos, que tendrá plena capacidad para presentar la solicitud y realizar todos los trámites administrativos oportunos que se deriven de la tramitación de la subvención.
2. En el resto de los casos, el único titular actuará como solicitante. A los efectos de esta orden, se entiende que son titulares únicos los siguientes:
a) Comunidades de montes vecinales en mano común.
b) Montes de varas, abertales, de voces, de vocerío o de fabeo, actúen mediante junta gestora o en asamblea.
c) Juntas gestoras de montes de socios.
d) Sociedades de fomento forestal.
e) Personas físicas o jurídicas que sean titulares únicas de todo el monte.
f) Agrupaciones forestales.
Artículo 11. Solicitantes en subvenciones de la línea 4
1. Las subvenciones financiadas dentro de la línea 4 sólo podrán ser solicitadas por las asociaciones de personas propietarias forestales inscritas en el Registro de Asociaciones de la Consellería de Presidencia, Administraciones Públicas y Justicia de Galicia o por los grupos de certificación de gestión forestal, que tengan la consideración de pyme, microempresa o pequeña o mediana empresa, tal y como se define en la Recomendación 2003/361/CE de la Comisión, a través de los representantes que designen.
2. Cada asociación de personas propietarias forestales o grupo de gestión de certificación forestal sólo podrá presentar una solicitud en cada convocatoria. En el supuesto de presentarse varias, se admitirá a trámite la última, resolviendo por desistimiento las demás.
3. Para incluir un terreno forestal en una solicitud presentada por una asociación de personas propietarias forestales o grupo de certificación de gestión forestal será necesario que sus titulares hayan delegado en la entidad solicitante capacidad suficiente para presentar una comunicación en su nombre, o delegación equivalente suficiente.
4. Se cubrirá el anexo II.1 para cada una de las titularidades.
Artículo 12. Solicitudes
1. Los solicitantes de las líneas 1, 2 y 3 presentarán la solicitud del anexo I.1.
Las solicitudes en las que el tipo de solicitante sea una sociedad de fomento forestal, optarán a las líneas 1-Sofor, 2-Sofor y 3-Sofor; las demás optarán a las líneas 1-Común, 2-Común y 3-Común.
2. Los solicitantes de la línea 4 presentarán la solicitud del anexo I.2.
3. La solicitud, tanto de las líneas 1, 2 y 3 como de la línea 4, se dirigirá al Servicio de Montes de la provincia en la que se encuentren los terrenos a ordenar. Si los terrenos se localizan en varias provincias, le corresponderá la tramitación al servicio en cuya provincia esté la mayor parte de la superficie de ordenación.
4. En todo caso, las personas titulares y solicitantes podrán actuar mediante representantes.
5. Los datos que no figuren en la solicitud y que sean esenciales para su puntuación no serán considerados al aplicar los baremos de puntos.
6. Cuando se detecte que una solicitud contiene datos inexactos o falsos que sean esenciales para su puntuación, determinarán la imposibilidad de continuar con su tramitación y dará lugar a inadmisión de la solicitud, sin perjuicio de las responsabilidades penales, civiles o administrativas a las que hubiera lugar. Cuando se trate de datos de superficies, su valoración se realizará en el momento procesal en el que se aplica el artículo 24.10.
Artículo 13. Forma de solicitud de las subvenciones
Las solicitudes se presentarán preferiblemente por vía electrónica a través del formulario normalizado disponible en la sede electrónica de la Xunta de Galicia, https://sede.xunta.gal.
La presentación electrónica será obligatoria para los sujetos relacionados en el artículo 14.2 de la Ley 39/2015, de 1 de octubre, del procedimiento administrativo común de las administraciones públicas.
Si alguna de las personas interesadas obligadas a la presentación electrónica presenta su solicitud presencialmente, se le solicitará para que la subsane a través de su presentación electrónica. A estos efectos, se considerará como fecha de presentación de la solicitud aquella en la que haya sido realizada la enmienda.
Para la presentación de las solicitudes podrá utilizarse cualquiera de los mecanismos de identificación y firma admitidas por la sede electrónica de la Xunta de Galicia, incluido el sistema de usuario y clave Chave365 (https://sede.xunta.gal/chave365).
Aquellas personas no obligadas a la presentación electrónica, opcionalmente, podrán presentar las solicitudes presencialmente en cualquiera de los lugares y registros establecidos en la normativa reguladora del procedimiento administrativo común, utilizando el formulario normalizado disponible en la sede electrónica de la Xunta de Galicia.
Artículo 14. Plazos de solicitud de las subvenciones
El plazo de solicitud se establecerá en cada convocatoria, no siendo inferior a 1 mes.
Artículo 15. Documentación a presentar con las solicitudes de las líneas 1, 2 y 3
1. Documentación general:
a) Las personas físicas que actúen como representantes, acreditación de la representación.
b) Relación de titulares mediante el anexo II.
2. Documentación específica:
a) Cuando se trate de documentos compartidos de gestión, el solicitante designado por todos los titulares firmantes actuará como coordinador a los efectos del Decreto 52/2014, debiendo presentar:
1º. La correspondiente designación a través del anexo II.
2º. Acuerdo de compromisos y obligaciones según el anexo IV.
b) Para los terrenos que sean montes vecinales en mano común:
1º. Certificación expedida por la secretaría de la comunidad en la que figure la fecha de aprobación de los estatutos vigentes, la fecha de la última actualización del censo de comuneros, la composición de la junta rectora vigente, un listado de todos los actos de disposición sobre el monte que se encuentren en vigor, especificando la superficie de cada uno de ellos, y la fecha de presentación de la comunicación de las inversiones efectuadas en el año anterior.
2º. Acuerdo previo de la asamblea general de la comunidad propietaria, bien por medio de copia del acta de la asamblea o mediante certificación expedida por la secretaría de la comunidad, que habilite al solicitante a la solicitud de estas subvenciones y la elaboración del instrumento de ordenación o de gestión forestal. Se admitirá tanto un acuerdo específico como genérico.
c) En los montes de varas, abertales, de voces, de vocerío o de fabeo:
1º. Si existe una junta gestora en vigor, se presentará un certificado de la persona que desarrolle la función de secretaría en la que figure la fecha de constitución de la junta gestora, el período de vigencia y la identificación de las personas que ostenten las funciones de presidencia, secretaría y tesorería. Además, de acuerdo con el artículo 45.8 de la Ley 7/2012, se adjuntará el acta de la asamblea en la que se autoriza a la junta gestora para la solicitud de estas subvenciones y la elaboración del instrumento de ordenación o de gestión forestal.
2º. En caso de no existir junta gestora en vigor, acta de la asamblea de personas propietarias constituida en los términos del artículo 45.4 de la Ley 7/2012, en la que se apruebe la solicitud de estas subvenciones y la elaboración del instrumento de ordenación o de gestión forestal y se nombren a las personas para ejercer las funciones de presidencia y secretaría.
d) En los montes de socios:
1º. Si existe una junta gestora válidamente constituida de conformidad con el artículo 27 bis de la Ley 43/2003, se presentará la acta de la constitución de la junta gestora en la que figure la identificación del monte o montes afectados, la designación al menos de un presidente y un secretario y las normas de funcionamiento interno, que deberán incluir el criterio de incorporación de nuevos miembros.
La junta gestora constituida presentará la identificación fiscal que tenga asignada para la realización de negocios jurídicos de su competencia, así como el acuerdo en el que se apruebe la solicitud de estas subvenciones y la elaboración del instrumento de ordenación o de gestión forestal.
2º. En caso de no existir junta gestora en vigor, acuerdo de las personas copropietarias con el voto favorable de la mayoría de las cuotas de participación de las personas propietarias conocidas, presentes o representadas en el que se apruebe la solicitud de estas subvenciones y la elaboración del instrumento de ordenación o de gestión forestal. El acuerdo identificará las personas propietarias conocidas, la cuota de participación de cada una, la cuota de participación de las desconocidas, la suma total de las cuotas de quienes votaron favorablemente y la designación de la persona solicitante a los efectos de estas subvenciones.
e) En los montes proindivisos distintos de los anteriores, acuerdo de la mayoría de los partícipes para la solicitud de estas subvenciones y la elaboración del instrumento de ordenación o de gestión forestal y nombramiento de representante.
No habrá mayoría sino cuando el acuerdo esté tomado por los partícipes que representen la mayor cantidad de los intereses que constituyan el objeto de la comunidad. El acuerdo identificará la persona solicitante, las cuotas de participación de todas las personas copropietarias y la suma total de las cuotas de quienes votaron favorablemente.
f) En el caso de las agrupaciones forestales no inscritas en el Registro de sociedades de fomento forestal (Registro de Sofor), deberá presentarse:
1º. Documento constitutivo de la agrupación.
2º. Anexo III de acuerdo de cesión de los titulares forestales para la gestión.
3º. Anexo IV de acuerdo de compromisos y obligaciones establecidos en la orden.
g) Las comunidades de bienes, cooperativas agrarias y otras entidades jurídicas, presentarán:
1º. Documento constitutivo.
2º. Estatutos, en su caso.
3º. Anexo III de acuerdo de cesión de los titulares forestales para la gestión.
4º. Anexo IV de acuerdo de compromisos y obligaciones establecidos en la orden.
h) En el caso de terrenos forestales en los que los derechos de gestión o aprovechamiento los ostente persona distinta a la persona propietaria, contrato que justifique quién tiene la titularidad de esos derechos. Este caso se admitirá, en particular, para partes de montes vecinales en mano común de acuerdo con lo señalado en el artículo 8.2. Se excluye de este requisito a las sociedades de fomento forestal.
i) Para aquellos montes que dispongan de un instrumento de ordenación o gestión forestal en vigor, acreditación de que se encuentran en alguna de las siguientes circunstancias:
1º. El instrumento se encuentra en su último año de vigencia.
2º. La superficie de ordenación sufrió (con posterioridad a la solicitud de aprobación del instrumento) incendios, desastres naturales y catástrofes que han causado la destrucción de al menos el 20 % del potencial forestal.
j) En su caso, acreditación de que cuenta con gestión forestal sostenible.
k) A los efectos del artículo 4.5, cuando se trate de sociedades, fotocopia de los balances y cuentas de explotación de los tres últimos años.
3. Declaraciones incluidas en la solicitud:
a) Declaración de que los terrenos objeto de ordenación no se encuentran en zonas con un procedimiento de concentración parcelaria en ejecución sin acuerdo firme de reestructuración parcelaria y toma de posesión definitiva.
b) Declaración de que los terrenos no están afectados por un proceso iniciado de expropiación forzosa.
c) En caso de querer acogerse a la línea 1:
1º. Declaración del porcentaje de daños causados por incendios forestales, los organismos nocivos señalados en el apartado 12 del artículo 3 (lista de especies de organismos nocivos para las plantas que puedan provocar una catástrofe) o vendavales, durante los dos (2) últimos años, siempre que los daños supongan al menos un 20% de pérdida de vuelo arbóreo.
2º. En su caso, declaración de que los montes están situados en parroquias de alta actividad incendiaria.
3º. Declaración de que los terrenos se encuentran en zonas de medio riesgo o zonas de alto riesgo de incendio forestal.
d) En caso de querer acogerse a la línea 2, declaración de cuál o cuáles de los requisitos establecidos en el artículo 7.2 se cumple o se está en disposición de cumplir (apartado a).
e) En caso de querer acogerse a la línea 3:
1º. Declaración de que los terrenos cumplen el requisito establecido en el artículo 7.3.
2º. Declaración de las circuntancias baremables recogidas en el artículo 21.5.
3º. Declaración del porcentaje de superficie forestal con fracción de cubierta arbolada superior al 20 % sobre la superficie del monte. De no indicarse, se entenderá que el porcentaje es cero.
f) En el caso de los proyectos de ordenación:
1º. Compromiso o no de que el plan especial tendrá una duración de 10 años.
2º. Superficie de ordenación prevista.
g) Declaración de la superficie del monte.
h) En caso de prever que fuera obligatorio someter el instrumento a una evaluación de impacto ambiental de proyectos ordinaria o simplificada, declaración del apartado de los anexos I o II de la Ley 21/2013 que determina tal obligatoriedad.
i) A los efectos del artículo 4.5, cuando se trate de empresas, una declaración de no encontrarse en situación de crisis conforme a la normativa comunitaria.
Artículo 16. Documentación a presentar con las solicitudes de la línea 4
1. Documentos de identificación:
a) Las personas físicas que actúen como representantes, acreditación de la representación.
2. Para las solicitudes efectuadas por asociaciones forestales o grupos de certificación de gestión forestal:
a) Documentos que acrediten que los socios titulares de los terrenos forestales para los que se pretenden realizar las comunicaciones hayan delegado en la asociación o grupo capacidad suficiente para presentar una comunicación en su nombre, o documentación equivalente suficiente.
Se presentará el anexo II.2 con la relación de todas las personas socias titulares y los anexos II.1 de cada uno de los titulares para los que se vayan a realizar las adhesiones.
b) Acreditación de la condición de asociación de personas propietarias forestales:
1º. Nombre completo y número de inscripción en el registro correspondiente.
2º. Acreditación de tener entre sus fines sociales lograr una gestión forestal sostenible de los terrenos que pertenezcan a sus asociados.
c) Acreditación de la condición de grupo de certificación de gestión forestal:
1º. Certificación de gestión forestal en vigor.
2º. Objetivos para los que se creó el grupo.
d) A los efectos del artículo 4.5, cuando se trate de sociedades, fotocopia de los balances y cuentas de explotación de los tres últimos años.
3. En caso de que corresponda, acreditación de que el terreno forestal cuenta con gestión forestal sostenible.
4. Declaraciones incluidas en la solicitud:
a) Declaración de que los terrenos objeto de ordenación no se encuentran en zonas con un procedimiento de concentración parcelaria en ejecución sin acuerdo firme de reestructuración parcelaria y toma de posesión definitiva.
b) Declaración de que los terrenos no están afectados por un proceso iniciado de expropiación forzosa.
c) Declaración de que los terrenos cumplen el requisito establecido en el artículo 7.3.
d) Declaración de las circuntancias baremables recogidas en el artículo 21.5.
e) Declaración del porcentaje de superficie con fracción de cubierta arbolada superior al 20 % sobre la superficie del monte. De no indicarse, se entenderá que el porcentaje es cero.
f) A los efectos del artículo 4.5, cuando se trate de empresas, una declaración de no encontrarse en situación de crisis conforme a la normativa comunitaria.
Artículo 17. Documentación complementaria necesaria para la tramitación del procedimiento
1. La documentación complementaria se presentará preferiblemente por vía electrónica. Las personas interesadas se responsabilizarán de la veracidad de los documentos que presenten. Excepcionalmente, la Administración podrá requerir la exhibición del documento original para compararlo con la copia electrónica presentada.
La presentación electrónica será obligatoria para los sujetos obligados a la presentación electrónica de la solicitud. Si alguna de las personas interesadas presenta la documentación complementaria presencialmente, se le requerirá para que la enmiende a través de su presentación electrónica. A estos efectos, se considerará como fecha de presentación aquella en la que fuera realizada la enmienda.
Aquellas personas no obligadas a la presentación electrónica, opcionalmente, podrán presentar la documentación complementaria presencialmente en cualquiera de los lugares y registros establecidos en la normativa reguladora del procedimiento administrativo común.
2. Siempre que se realice la presentación de documentos separadamente de la solicitud se deberá indicar el código y el órgano responsable del procedimiento, el número de registro de entrada de la solicitud y el número de expediente, si se dispone de él.
3. En el caso de que alguno de los documentos que se van a presentar de forma electrónica superara los tamaños máximos establecidos o tuviera un formato no admitido por la sede electrónica de la Xunta de Galicia, se permitirá la presentación de éste de forma presencial dentro de los plazos previstos y en la forma indicada en el párrafo anterior. La información actualizada sobre el tamaño máximo y los formatos admitidos puede consultarse en la sede electrónica de la Xunta de Galicia.
Artículo 18. Comprobación de datos
1. Para la tramitación de este procedimiento se consultarán automáticamente los datos incluidos en los siguientes documentos elaborados por las administraciones públicas:
a) Los documentos de identificación de las personas solicitantes, titulares de terrenos forestales (incluyendo personas propietarias, cesionarias, socias, miembros de agrupaciones, etc.), en su caso tutores de menores, personas que acepten la responsabilidad de la gestión, personas que asumen los compromisos establecidos en la orden, personal técnico competente en materia forestal, personas proveedoras y personas beneficiarias (DNI o NIE en el caso de personas físicas y NIF en el caso de personas jurídicas, según corresponda), personas cesionarias y personas representantes (DNI o NIE).
b) Las certificaciones que deban emitir la Agencia Estatal de la Administración Tributaria, la Tesorería General de la Seguridad Social y la consellería competente en materia de hacienda de la Xunta de Galicia, según lo establecido en el artículo 20.3 de la Ley 9/2007.
2. Se consultarán, además, los siguientes datos cuando la persona interesada haga constar en la solicitud que le es de aplicación a la circunstancia que acredita el documento correspondiente:
a) Para aquellos montes que dispongan de un instrumento de ordenación o gestión forestal en vigor inscrito en el Registro de montes ordenados, acreditación de que el instrumento se encuentra en su último año de vigencia.
b) Para montes de gestión pública, acreditación de que cuenta con gestión forestal sostenible.
c) Si los terrenos se encuentran declarados previamente como de medio o alto riesgo de incendios conforme a lo establecido en la Orden de 18 de abril de 2007 por la que se zonifica el territorio en base a riesgo espacial de incendio forestal.
3. En el caso de que las personas interesadas se opongan a esta consulta, deberán indicarlo en el cuadro habilitado en el formulario y presentar dichos documentos.
4. Excepcionalmente, en el caso de que alguna circunstancia imposibilitara la obtención de los citados datos, se podrá solicitar a las personas interesadas la presentación de los documentos correspondientes.
5. En aplicación del artículo 71 del Reglamento (UE) 1305/2013, los beneficiarios se comprometen a proporcionar a la autoridad de gestión, a los evaluadores designados o a otros organismos en que dicha autoridad haya delegado la realización de tareas, toda la información necesaria para poder realizar el seguimiento y la evaluación del programa, en particular, en relación con el cumplimiento de determinados objetivos y prioridades.
Artículo 19. Trámites administrativos posteriores a la presentación de solicitudes
La sede electrónica de la Xunta de Galicia tiene a disposición de las personas interesadas una serie de modelos normalizados para facilitar la realización de trámites administrativos después de la presentación de las solicitudes de inicio. Estos modelos se presentarán por medios electrónicos accediendo a la Carpeta del ciudadano de la persona interesada disponible en la sede electrónica de la Xunta de Galicia. Cuando las personas interesadas no resulten obligadas a la presentación electrónica de las solicitudes también podrán presentarlos presencialmente en cualquiera de los lugares y registros establecidos en la normativa reguladora del procedimiento administrativo común.
Artículo 20. Transparencia y buen gobierno
1. En virtud de lo dispuesto en el artículo 4 de la Ley 1/2016, de 18 de enero, de transparencia y buen gobierno, las personas físicas y jurídicas beneficiarias de subvenciones están obligadas a suministrar a la Administración, al organismo o a la entidad de las previstas en el artículo 3.1 de esa ley, a la que se encuentren vinculadas, previo requerimiento, toda la información necesaria para el cumplimiento por aquellas de las obligaciones previstas en el título I de la citada ley.
2. De conformidad con el artículo 17 de la Ley 1/2016, de 18 de enero, de transparencia y buen gobierno, y con el artículo 15 de la Ley 9/2007, la consellería responsable de la iniciativa publicará en su página web oficial la relación de las personas beneficiarias y el importe de las ayudas concedidas. Incluirá, igualmente, las referidas ayudas y las sanciones que, como consecuencia de ellas, pudieran imponerse en los correspondientes registros públicos, por lo que la presentación de la solicitud lleva implícita la autorización para el tratamiento necesario de los datos de las personas beneficiarias y la referida publicidad.
3. Por otra parte, de conformidad con el previsto en los artículos 17.3.b) y 20.8.la) de la Ley 38/2003, se transmitirá a la Base de datos nacional de subvenciones la información requerida por ésta, el texto de la convocatoria para su publicación en la citada base y su extracto en el Diario Oficial de Galicia.
CAPÍTULO III
Criterios y cuantías
Artículo 21. Baremos
1. Para ajustar la concesión de las subvenciones a los principios de publicidad, transparencia, concurrencia, objetividad, igualdad y no discriminación establecidos en el artículo 5.2.a) de la Ley 9/2007, se establecen distintos baremos en función de la línea de subvención a la que se quiera acoger cada solicitud.
2. Se empleará un baremo de puntuación, conforme con el PDR de Galicia 2014-2020, que se compone de una parte común y otra específica. La parte común a todas las líneas es la siguiente:
A. En función del tipo de monte (se puntuará utilizando solo el mayor de los valores):
a) Los montes inscritos en el Catálogo de montes de utilidad pública, 1 punto.
b) Los montes protectores, 1 punto.
c) Los montes vecinales en mano común, 3 puntos.
d) Los montes de varas, abertales, de voces, de vocerío o de fabeo, 3 puntos.
e) Cualquier otra forma de agrupación de la propiedad o de la gestión forestal reconocida por la Administración forestal, 3 puntos.
A los efectos de esta orden, se puntuarán específicamente como tales los solicitantes de la línea 4.
f) Las sociedades de fomento forestal, 5 puntos.
B. En función de las características del monte:
a) Los montes que dispongan de un proyecto de ordenación o instrumento de gestión forestal aprobado por la Administración forestal y cursen la solicitud durante su último año de vigencia, 1 punto.
b) Los montes que dispongan de un proyecto de ordenación o instrumento de gestión forestal aprobado por la Administración forestal y cursen la solicitud antes de su último año de vigencia, en caso de sufrir (con posterioridad a la solicitud de aprobación del instrumento) incendios, desastres naturales y catástrofes que hayan causado la destrucción del 20 % del potencial forestal como mínimo, 1 punto.
c) Los montes con certificación de gestión forestal sostenible, 1 punto.
C. En función de la superficie de ordenación y el tipo de instrumento:
a) Montes que puedan ordenarse mediante un documento de adhesión expresa a referentes de buenas prácticas y a los modelos selvícolas o de gestión forestal orientativos, salvo que opten por integrarse en un documento compartido de gestión, 0 puntos.
b) Montes que se ordenen mediante un documento compartido de gestión, siempre que la superficie ordenada forme, al menos, un coto redondo de 15 a 25 ha, 10 puntos.
c) Montes que se ordenen mediante un documento compartido de gestión, siempre que la superficie ordenada forme, al menos, un coto redondo de 25 a 50 ha, 15 puntos.
d) Montes que se ordenen mediante un documento compartido de gestión, siempre que la superficie ordenada forme, al menos, un coto redondo de 50 a 75 ha, 20 puntos.
e) Montes que se ordenen mediante un documento compartido de gestión, siempre que la superficie ordenada forme, al menos, un coto redondo de más de 75 ha, 25 puntos.
f) Montes que deban ordenarse mediante un documento simple de gestión, 20 puntos.
g) Montes que deban ordenarse mediante un proyecto de ordenación (excluidos los del artículo 7.a del Decreto 52/2014), cuando la superficie sea inferior a 50 ha, 5 puntos.
h) Montes que deban ordenarse mediante un proyecto de ordenación (excluidos los del artículo 7.a del Decreto 52/2014), cuando la superficie esté entre 50 y 100 ha, 10 puntos.
i) Montes que deban ordenarse mediante un proyecto de ordenación (excluidos los del artículo 7.a del Decreto 52/2014), cuando la superficie esté entre 100 y 200 ha, 15 puntos.
j) Montes que deban ordenarse mediante un proyecto de ordenación (excluidos los del artículo 7.a del Decreto 52/2014), cuando la superficie esté entre 200 y 500 ha, 20 puntos.
k) Montes que deban ordenarse mediante un proyecto de ordenación (excluidos los del artículo 7.a del Decreto 52/2014), cuando la superficie sea mayor o igual a 500 ha, 25 puntos.
D. Proyectos de ordenación cuyo plan especial tenga una duración de 10 años, 1 punto.
3. Para las líneas 1-Sofor y 1-Común, la parte común del baremo establecido en el apartado 2 de este artículo se completará con la parte específica que se indica a continuación:
E. En función de la ubicación del monte:
a) Montes situados en parroquias de alta actividad incendiaria, 8 puntos.
b) Montes situados en zonas de alto riesgo de incendio forestal (ZAR), 9 puntos.
4. Para las líneas 2-Sofor y 2-Común, la parte común del baremo establecido en el apartado 2 de este artículo se completará con la parte específica que se indica a continuación:
E. En función de la ubicación del monte:
a) Montes que, al menos parcialmente, estén cubiertos por masas consolidadas de frondosas autóctonas según se describen en el artículo 93.1 de la Ley 7/2012, que deberán ser inscritas en el Registro de masas consolidadas de frondosas autóctonas, 6 puntos.
b) Terrenos forestales cuya superficie esté dentro de la Red Natura 2000, al menos parcialmente, 6 puntos.
c) Montes situados, al menos parcialmente, en la zona de policía de áreas de riesgo potencial significativo de inundación (ARPSI), 5 puntos.
5. Para las líneas 3-Sofor, 3-Común y 4, la parte común del baremo establecido en el apartado 2 de este artículo se completará con la parte específica que se indica a continuación:
C. En función de la superficie de ordenación y el tipo de instrumento:
l) Comunicaciones, conforme a lo establecido en el artículo 9 del Decreto 52/2014, de documentos de adhesión expresa a referentes de buenas prácticas y a los modelos silvícolas o de gestión forestal orientativos. Cuando se comunique terrenos de al menos 100 titulares, 25 puntos.
E. En función de la ubicación del monte:
a) Terrenos forestales cuya superficie esté fuera de la Red Natura 2000, 4 puntos.
b) Montes situados fuera de la zona de policía de áreas de riesgo potencial significativo de inundación (ARPSI), 3 puntos.
c) Montes situados fuera de parroquias de alta actividad incendiaria, 3 puntos.
d) Montes situados fuera de zonas de alto riesgo de incendio forestal (ZAR), 3 puntos.
e) Montes situados fuera de los distritos de aplicación de los modelos silvícolas EG1 y EG2 establecidos en la Orden de 19 de mayo de 2014 por la que se establecen los modelos silvícolas o de gestión forestal orientativos y referentes de buenas prácticas forestales para los distritos forestales de Galicia. Cuando la superficie ocupada por masas de Eucalyptus globulus sea inferior al 10 % de la superficie del monte, 2 puntos.
f) Montes situados fuera de los distritos de aplicación de los modelos silvícolas EN1 y EN2 establecidos en la Orden de 19 de mayo de 2014 por la que se establecen los modelos silvícolas o de gestión forestal orientativos y referentes de buenas prácticas forestales para los distritos forestales de Galicia. Cuando la superficie ocupada por masas de Eucalyptus nitens sea inferior al 10 % de la superficie del monte, 2 puntos.
6. Para todas las líneas, la puntuación máxima es de 50 puntos y no se admitirán solicitudes con menos de 15 puntos.
Artículo 22. Criterios de adjudicación de las subvenciones
1. Las solicitudes se ordenarán de mayor a menor puntuación de acuerdo con los baremos establecidos en el anterior artículo. Dentro de cada línea, en caso de empate en la puntuación, se ordenarán conforme a los siguientes criterios:
a) Líneas 1-Sofor y 1-Común:
1º. Primero, los montes situados, total o parcialmente, en zonas de alto riesgo de incendio forestal.
2º. A continuación, de mayor a menor superficie de ordenación.
b) Líneas 2-Sofor y 2-Común:
1º. Primero, los montes situados, total o parcialmente, dentro de la Red Natura 2000.
2º. A continuación, de mayor a menor superficie de ordenación.
c) Líneas 3-Sofor, 3-Común y 4:
1º. Primero, de mayor a menor superficie de ordenación.
2º. A continuación, de mayor a menor porcentaje de superficie con fracción de cubierta arbolada superior al 20 % sobre el total del monte.
2. La disponibilidad presupuestaria limitará el número de expedientes que se aprobarán. Se irán concediendo las ayudas siguiendo el orden establecido hasta agotar la cuantía económica asignada en cada convocatoria.
3. Cuando a una solicitud se le pueda conceder una ayuda por más de una línea se actuará del siguiente modo:
a) Se concederá la subvención por la línea a la que pueda optar siguiendo el orden especificado en la solicitud.
b) Si el solicitante no establece un orden, se aplicará el siguiente: primero la línea 1 (1-Sofor o 1-Común), después la línea 2 (2-Sofor o 2-Común), por último la línea 3 (3-Sofor o 3-Común).
Artículo 23. Cuantía máxima de las subvenciones
1. Redacción del instrumento de ordenación o gestión forestal.
El coste máximo de redacción de un instrumento de ordenación o gestión forestal se determinará a partir del coste de elaboración de un proyecto de ordenación (PO). A los efectos de esta orden, este coste se calculará en función de la superficie de ordenación (SO) y la superficie inventariable (SI) mediante la siguiente fórmula:

En el caso de los documentos simples de gestión, al valor calculado mediante la ecuación anterior se le aplicará la siguiente para establecer el coste de este instrumento:

Por último, para los documentos compartidos de gestión, el coste del instrumento será el resultado de realizar el siguiente cálculo:
2. Redacción del estudio de impacto ambiental o documento ambiental simplificado, en caso de que fuera obligatorio someter el instrumento a una evaluación de impacto ambiental de proyectos ordinaria o simplificada conforme a lo dispuesto en la Ley 21/2013.
Este concepto solo se subvencionará si se justifica suficientemente al solicitar la ayuda.
El coste de un estudio de impacto ambiental o documento ambiental no puede determinarse a priori, pues depende de los estudios que el documento de alcance exija; en consecuencia, se establece una cuantía máxima de 2.000 € en el caso del estudio de impacto ambiental y de 300 € en el caso de un documento ambiental.
3. Comunicación de documentos de adhesión expresa a referentes de buenas prácticas y a los modelos silvícolas o de gestión forestal orientativos. Se establece un importe máximo subvencionable de 30,00 € por cada socio cuyas propiedades se adhieran.
4. La concesión de la subvención incluye en todos los casos una partida para la instalación de un cartel cuyas características se especifican en el anexo XI. El coste unitario del cartel es de 255,00 €.
El cartel se instalará en un lugar visible, preferentemente en el punto de acceso al monte por la vía con mayor intensidad de tráfico.
5. En las líneas 1, 2 y 3, el coste máximo de la inversión se calculará sumando el coste de redacción del instrumento de ordenación o de gestión forestal (apartado 1), el estudio de impacto ambiental o documento ambiental, si fuera obligatorio, (apartado 2) y la instalación del cartel (apartado 4).
En la línea 4, la cuantía máxima será el resultado de multiplicar el importe máximo subvencionable establecido en el apartado 3 de este artículo por el número de socios cuyas propiedades forestales se adhieran.
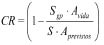
6. Cuando se trate de montes gestionados por la Administración forestal que tengan un instrumento de ordenación o gestión forestal en vigor sobre la parte de gestión pública, el coste máximo de la inversión calculado según se ha descrito en el apartado anterior se reducirá multiplicándolo por un coeficiente reductor (CR).
Este coeficiente se calculará en función de la superficie de gestión pública (Sgp) sobre la superficie del monte (S) y el cociente entre los años que aún restan de vida al instrumento (Avida) y el plazo de duración previsto (Aprevistos) para su revisión:
7. La intensidad de la ayuda será del 100 % en las líneas 1 y 2 y del 40 % en las líneas 3 y 4.
8. Todos los precios indicados son sin IVA.
CAPÍTULO IV
Procedimiento de concesión de la subvención
Artículo 24. Instrucción de las solicitudes
1. El procedimiento de concesión se tramitará en régimen de concurrencia competitiva, separando las solicitudes en función de las líneas de subvenciones a las que opten.
2. Los servicios de montes efectuarán una preevaluación de cada expediente de solicitud, verificando el cumplimiento de las condiciones impuestas para adquirir la condición de posible beneficiario de la subvención.
Si la solicitud no reúne los requisitos establecidos en las bases reguladoras y en la correspondiente convocatoria, se requerirá al interesado para que la subsane en el plazo máximo e improrrogable de 10 días, indicándole que, si no lo hiciese, se le tendrá por desistido de su solicitud, previa resolución que deberá ser dictada en los términos previstos en el artículo 68 de la Ley 39/2015.
3. Superado este plazo, los servicios de montes emitirán un informe en el que se clasifiquen las solicitudes en dos grupos:
a) Solicitudes correctamente presentadas, puntuadas aplicando los baremos del artículo 21.
b) Solicitudes con defectos no subsanados, indicando para cada una de ellas las causas por las que no se ajustan a la convocatoria.
4. Para el grupo de solicitudes correctamente presentadas, los informes indicarán para cada solicitud:
a) Las líneas de subvenciones a las que puede optar y la puntuación alcanzada en cada una de ellas de conformidad con los baremos establecidos en el artículo 21.
b) El tipo de instrumento a elaborar.
c) Si, de acuerdo con la declaración de solicitud, se pretende someter el instrumento o no a una evaluación de impacto ambiental, diferenciando en caso afirmativo si es simplificada (documento ambiental) u ordinaria (estudio de impacto ambiental).
d) En el caso de la línea 4, el número de socios que van a adherirse.
e) En función de la información anterior y de las especificaciones del artículo 23, la cuantía máxima de la subvención en cada una de las líneas a las que opte.
f) El plazo máximo de justificación.
5. Los informes de los servicios de montes se remitirán, junto con los expedientes, a la Subdirección general de Recursos Forestales.
6. El Servicio de Gestión Forestal emitirá informe señalando los terrenos forestales para los cuales ha iniciado la redacción de un instrumento de ordenación forestal por estar gestionados por la Administración forestal. Las solicitudes de las líneas 1, 2 y 3 que se refieran a estos montes no podrán ser objeto de subvención.
7. Una vez reunidos todos los expedientes, se constituirá un órgano colegiado compuesto por las personas que dirigen la Subdirección General de Recursos Forestales, el Servicio de Fomento Forestal, el Servicio de Gestión Forestal y el Servicio de Montes Vecinales en Mano Común y Estructuras Forestales.
En aplicación de los artículos 17.3 y 12.1 de la Ley 16/2010, de 17 de diciembre, de organización y funcionamiento de la Administración general y del sector público autonómico de Galicia, en los casos de ausencia, enfermedad o vacante de alguno de los miembros del órgano colegiado, la persona titular de la Dirección general de Ordenación Forestal designará a los suplentes que fueren necesarios dentro de los respectivos órganos.
Este órgano colegiado ordenará, dentro de cada línea de subvenciones, el conjunto de solicitudes correctamente presentadas siguiendo los criterios de adjudicación establecidos en el artículo 22 y emitirá, de acuerdo con el artículo 21.4 de la Ley 9/2007, un informe en el que se concrete el resultado de la evaluación efectuada, formulando una propuesta provisional de concesión con la relación de solicitantes para los que se propone la concesión de la subvención, especificando su evaluación y los criterios de valoración seguidos para efectuarla, especificando para cuales existe suficiente disponibilidad presupuestaria, así como las solicitudes que deben denegarse por no haber subsanado los defectos en plazo.
Para cada una de las solicitudes propuestas provisionalmente se indicará, concretamente, la línea dentro la cual se concederá la subvención y la cuantía máxima de la ayuda.
8. El órgano instructor, con anterioridad a la propuesta de resolución de concesión de la subvención, de acuerdo con lo facultado en el artículo 20.4 de la Ley 9/2007 requerirá, a los solicitantes para los que se propone provisionalmente la concesión de la subvención, la presentación en un plazo de 15 días hábiles de acuerdo con el artículo 30.2 de la Ley 39/2015, de la documentación que se relaciona en el anexo XIII.
9. El requerimiento se cumplimentará, por medio de personal técnico competente en materia forestal que deberá estar colegiado en el correspondiente colegio profesional, a través de la aplicación XORFOR-Subvenciones.
Introducidos y validados dichos datos a través de la aplicación, el personal técnico competente en materia forestal obtendrá, de manera automática, un informe resumen a fin de que pueda verificar la información finalmente cargada y se le asignará un número de expediente unívoco que estará contenido en dicho informe. Este resumen deberá ser firmado por la persona solicitante y adjuntarse a la instancia que se presentará según el modelo del anexo XIV dentro del plazo establecido en el apartado anterior.
10. Una vez finalizado el plazo de presentación y validada la documentación presentada, se realizará un informe por cada servicio provincial de montes que indique la concordancia entre la documentación requerida y la información declarada por el solicitante en el anexo I.1 o anexo I.2.
Se admitirá que las superficies contempladas en la documentación técnica aportada en la XORFOR-Subvenciones sean hasta un 15 % inferior a las superficies indicadas en la solicitud (anexo I.1 y I.2). En caso contrario, la solicitud se declarará decaída en su derecho a trámite.
Procederá la desestimación de la solicitud si, aplicado el baremo establecido en el artículo 21 (apartados 2.C y 5.C) a esta nueva superficie, se produjera una reducción de puntos tal que la nueva suma total de puntos se corresponda con al menos uno de los siguientes casos:
a) Es inferior al mínimo establecido en el artículo 21.6.
b) Dentro de la línea de subvenciones en la que ha sido preseleccionada la solicitud, existe alguna solicitud no preseleccionada con más puntos.
Dicho informe recogerá la cuantía máxima objeto de la subvención asignada a cada solicitante, como resultado de los cálculos efectuados en función de la superficie inicial declarada y la oferta económica seleccionada.
11. A la vista del informe indicado en el apartado anterior, el órgano instructor formulará la propuesta de resolución de concesión de la subvención que elevará al órgano competente para resolver.
La cuantía de la subvención se ajustará al menor de los siguientes valores:
a) La cuantía máxima por concepto subvencionable calculada en el artículo 23.
b) La resultante de la oferta seleccionada por el solicitante (según lo establecido en el anexo XIII), que deberá ser la menor de las presentadas o haberse justificado la elección de otra diferente, y en ningún caso se subvencionará más de la cuantía máxima establecida por concepto recogido en el artículo 23 de la presente orden.
En el caso de que el solicitante haya justificado contrato laboral con personal técnico competente, la subvención será la cuantía máxima, y siempre teniendo en cuenta lo especificado en el presente apartado.
12. El expediente de concesión contendrá el informe del órgano instructor en el que conste que, de la información que obra en su poder, se desprende que los beneficiarios cumplen todos los requisitos necesarios para acceder a las mismas.
Artículo 25. Resolución
1. La persona titular de la Consellería del Medio Rural o, en su caso, la persona en quien delegue esta función resolverá el procedimiento de concesión en el plazo de quince días desde la fecha de elevación de la propuesta de resolución, de acuerdo con lo previsto en el artículo 34 del Decreto 11/2009.
2. La resolución se motivará de conformidad con lo que dispongan las bases reguladoras de la subvención debiendo, en todo caso, quedar acreditados en el procedimiento los fundamentos de la resolución que se adopte.
3. La resolución contendrá la relación de solicitantes a los que se concede la subvención, la desestimación del resto de solicitudes correctamente presentadas y la no concesión de las demás por desistimiento, renuncia al derecho o imposibilidad material sobrevenida.
En todo caso, deberán quedar claramente identificados los elementos señalados en el artículo 34.4 del Decreto 11/2009, de 8 de enero, por el que se aprueba el Reglamento de la Ley 9/2007, de 13 de junio, de subvenciones de Galicia.
4. El plazo máximo para resolver y notificar la resolución del procedimiento no podrá exceder de seis meses. El plazo se computará a partir de la publicación de la correspondiente convocatoria, salvo que la misma posponga sus efectos a una fecha posterior.
5. El vencimiento del plazo máximo sin haberse notificado la resolución legitima a los interesados para entender desestimada por silencio administrativo la solicitud de concesión de la subvención.
Artículo 26. Recursos contra la resolución
1. La resolución de concesión dictada al amparo de la correspondiente orden de convocatoria pondrá fin a la vía administrativa.
2. Contra ella podrán interponerse los siguientes recursos, sin perjuicio de que los interesados puedan ejercer cualquier otro que consideren procedente:
a) Recurso potestativo de reposición ante la persona titular de la Consellería del Medio Rural, en el plazo de un mes contado a partir del día siguiente al de la notificación de la resolución.
b) Recurso contencioso-administrativo ante la Sala de lo Contencioso-Administrativo del Tribunal Superior de Justicia de Galicia, en el plazo de dos meses contados desde el día siguiente al de la notificación de la resolución.
Artículo 27. Notificaciones
1. Las notificaciones de resoluciones y actos administrativos se practicarán preferentemente por medios electrónicos y, en todo caso, cuando las personas interesadas resulten obligadas a recibirlas por esta vía. Las personas interesadas que no estén obligadas a recibir notificaciones electrónicas podrán decidir y comunicar en cualquier momento que las notificaciones sucesivas se practiquen o dejen de practicar por medios electrónicos.
2. Las notificaciones electrónicas se realizarán mediante el Sistema de notificación electrónica de Galicia-Notifica.gal (https://notifica.xunta.gal/), disponible en el portal web institucional de la Xunta de Galicia (www.xunta.gal), y a través de la sede electrónica de la Xunta de Galicia (https://sede.xunta.gal). Este sistema remitirá a las personas interesadas avisos de la puesta a disposición de las notificaciones al dispositivo electrónico y/o a la dirección de correo electrónico que consten en la solicitud. Estos avisos no tendrán, en ningún caso, efectos de notificación practicada y su falta no impedirá que la notificación sea considerada plenamente válida.
3. La persona interesada deberá manifestar expresamente la modalidad escogida para la notificación (electrónica o en papel). En el caso de personas interesadas obligadas a recibir notificaciones sólo por medios electrónicos deberán optar en todo caso por la notificación por medios electrónicos, sin que sea válida, ni produzca efectos en el procedimiento, una opción diferente.
4. Las notificaciones por medios electrónicos se entenderán practicadas en el momento en que se produzca el acceso a su contenido. Cuando la notificación por medios electrónicos sea de carácter obligatorio, o fuera expresamente elegida por el interesado, se entenderá rechazada cuando hayan transcurrido diez días naturales desde la puesta a disposición de la notificación sin que se acceda a su contenido.
5. Si el envío de la notificación electrónica no fuera posible por problemas técnicos, la Administración general y del sector público autonómico de Galicia practicará la notificación por los medios previstos en la normativa reguladora del procedimiento administrativo común.
6. En virtud del Reglamento de ejecución (UE) núm. 808/2014, apartado 1.5 de su anexo III, en la notificación de concesión de la ayuda se informará a las personas beneficiarias de que la medida se subvenciona en virtud de un programa cofinanciado por el Feader, y de la medida y de la prioridad del PDR de que se trate.
Artículo 28. Modificación de la resolución
1. Las personas beneficiarias podrán solicitar la modificación de la resolución de concesión cuando concurra alguna de las siguientes circunstancias:
a) Pérdida de superficie de ordenación (SO) y/o de superficie inventariable (SI) que implique una disminución de la cuantía de la subvención concedida.
b) Variación de la superficie del monte que obligue, en virtud del Decreto 52/2014, a elaborar un tipo de instrumento de ordenación o gestión forestal distinto de aquel para el que se concedió la subvención.
2. Para la modificación de la resolución no podrán ser tenidos en cuenta requisitos o circunstancias que, debiendo concurrir en el momento en que se dictó la resolución, tuvieron lugar con posterioridad a ella.
3. Se podrá rectificar de oficio o a instancia de los interesados la resolución cuando de los elementos que figuren en ella se deduzca la existencia de un error material, de hecho o aritmético.
CAPÍTULO V
Justificación y pago
Artículo 29. Plazos de justificación
1. El plazo de justificación será:
a) Líneas 1-Sofor, 1-Común, 2-Sofor, 2-Común, 3-Sofor y 3-Común: un año.
b) Línea 4: el plazo que se establezca en la convocatoria, que estará entre 1 mes y 6 meses.
2. Sin perjuicio de lo anterior y en aplicación del artículo 45.3 y 45.5 del Decreto 11/2009, el órgano concedente de la subvención podrá otorgar una ampliación del plazo establecido para la presentación de la justificación, siempre que no exceda de la mitad del plazo concedido inicialmente, que con ello no se perjudiquen derechos de terceros, que se conceda antes del vencimiento del plazo y que permita al órgano concedente la verificación del cumplimiento de los requisitos fijados en las bases reguladoras dentro del ejercicio presupuestario correspondiente.
3. Ningún plazo de justificación, ni inicial ni prorrogado, podrá superar en ningún caso el plazo máximo de justificación del PDR de Galicia 2014-2020.
Artículo 30. Pagos anticipados
1. Cuando el plazo de justificación abarque dos anualidades, la convocatoria podrá prever, para las líneas financiadas a través de las submedidas 8.50 y 8.60, que la primera se abone mediante un pago anticipado. De acuerdo con el artículo 45.4 del Reglamento (UE) 1305/2013, este pago anticipado será de un 50 % como máximo de la ayuda pública correspondiente a la inversión. En todo caso, deberá tenerse en cuenta el artículo 67 del Decreto 11/2009, respetándose los límites establecidos en el artículo 63 del citado decreto.
La línea financiada a través de la submedida 8.31 no podrá acogerse a pagos anticipados.
2. Para ello, y de conformidad con lo establecido en el artículo 67 del Decreto 11/2009, los beneficiarios estarán obligados a constituir garantías en los términos establecidos en ese artículo 67. La garantía deberá cubrir el 110 % del importe de las cantidades abonadas a cuenta o de las cantidades anticipadas y deberá constituírse en la Caixa Xeral de Depósitos de la CCAA de Galicia, según la normativa autonómica. No obstante, estarán exonerados de la constitución de garantía aquellos beneficiarios de las subvenciones concedidas en las cuales los pagos anticipados no superen los 18.000 euros.
3. La solicitud de pago anticipado, cuando así se establezca en la correspondiente convocatoria, se efectuará mediante la solicitud del anexo VIII en el plazo de 10 días contados a partir de la fecha de notificación de la resolución. La no formalización del documento dentro del plazo previsto, cuando el pago anticipado sea obligatorio, se considerará una renuncia tácita a la ayuda.
Artículo 31. Justificación del objeto de la subvención de las líneas 1, 2 y 3
1. Para el pago de la subvención se realizará una validación de que el instrumento cumple con la legislación forestal en vigor.
Aquellos instrumentos cuya solicitud de aprobación haya sido presentada antes de solicitar la subvención no serán válidos para justificar el pago.
2. La elaboración del instrumento de ordenación o gestión forestal para el que se haya concedido una subvención se justificará del siguiente modo, dependiendo de la tramitación que siga el instrumento:
a) Para todos los beneficiarios, certificado del servicio de montes que tramite el instrumento haciendo constar que, dentro del plazo de justificación:
1º. Los terrenos forestales incluidos en el instrumento coinciden con los previstos en la memoria técnica, aunque se admitirá una tolerancia del 10 % sobre la superficie de ordenación concedida que, en ningún caso, modificará la cuantía de subvención por este concepto.
2º. Se ha tramitado el instrumento conforme a lo establecido en el Decreto 52/2014, teniendo toda la documentación completa a los efectos de poder solicitar los informes sectoriales pertinentes.
b) Para aquellos instrumentos que tuvieran previsto someterse obligatoriamente al trámite de evaluación de impacto ambiental, tanto simplificada como ordinaria, el certificado del servicio de montes que tramite el instrumento también hará constar que el promotor presentó el documento ambiental correspondiente dentro del plazo de justificación.
c) Una validación de que el instrumento cumple con la legislación forestal en vigor.
3. La documentación señalada en el apartado anterior será sustituida por la resolución de aprobación del instrumento por el órgano forestal, en el caso de que se produjese dentro del plazo concedido, sea de forma expresa o por silencio administrativo, mediante certificado expedido por la jefatura de sección del Sistema Registral Forestal del Servicio de Montes Vecinales en Mano Común y Estructuras Forestales.
4. La instalación del cartel se justificará mediante fotografías del cartel colocado y las coordenadas ETRS-TM de su situación.
5. La ejecución del inventario se justificará mediante un listado de las parcelas de inventario realizadas, con sus correspondientes coordenadas ETRS-TM. La situación de las parcelas deberán permanecer bien identificadas en el monte con, al menos, el marcado del centro de la parcela de muestreo.
6. De acuerdo con lo previsto en el artículo 7.2, cuando la subvención se hubiera concedido porque el monte, al menos parcialmente, está cubierto por masas consolidadas de frondosas autóctonas según se describen en el artículo 93.1 de la Ley 7/2012, se justificará que están inscritas en el Registro de masas consolidadas de frondosas autóctonas.
7. En el caso de los instrumentos de ordenación o gestión forestal financiados a través de la submedida 8.31, la primera anualidad podrá justificarse con la ejecución parcial de los trabajos del siguiente modo:
a) De haberse completado el instrumento de ordenación o gestión forestal, la justificación se efectuará según se indica en el apartado 31.2.
b) De no haberse completado el instrumento de ordenación o gestión forestal, se admitirá una justificación parcial del instrumento, valorada en un 50 % de la cuantía de la subvención para este concepto, que se hará mediante certificado del servicio de montes que tramite el instrumento haciendo constar que, dentro del plazo de justificación de la primera anualidad:
1º. Se ha solicitado la aprobación del instrumento conforme a lo establecido en el Decreto 52/2014.
2º. El instrumento ha sido redactado por personal técnico competente en materia forestal.
3º. Los terrenos forestales incluidos en el instrumento coinciden con los previstos en la memoria técnica, aunque se admitirá una tolerancia del 10 % sobre la superficie de ordenación concedida que, en ningún caso, modificará la cuantía de subvención por este concepto.
4º. En el caso de proyectos de ordenación, se ha realizado el inventario forestal, lo que se acreditará según se indica en el apartado 31.5.
c) Para aquellos instrumentos que tuvieran previsto someterse obligatoriamente al trámite de evaluación de impacto ambiental, tanto simplificada como ordinaria, podrá justificarse la ejecución de este trabajo si el certificado del servicio de montes al que se refiere el subapartado anterior también hace constar que el promotor presentó el documento ambiental correspondiente.
d) La colocación del cartel según se especifica en el apartado 31.4.
8. Para la tramitación del pago, a mayores de lo anterior, será necesario aportar la siguiente documentación:
a) Solicitud de pago empleando el anexo IX.1.
b) Facturas y sus correspondientes pruebas de haberse hecho efectivo el pago.
9. En el caso de que el solicitante haya justificado contrato laboral con personal técnico competente en materia forestal, el instrumento de ordenación o de gestión forestal será presentado y firmado por éste, o bien por el persoal técnico competente en materia forestal que lo substituya, siempre mediante contrato laboral. Para ello se presentará el TC2 actualizado de la empresa en donde se justificará la contratación de persoal técnico competente en materia forestal, uno como mínimo, desde la fecha de resolución de la concesión de la ayuda hasta la fecha de justificación de la misma.
10. En caso de que la persona beneficiaria de la subvención se acoja a la cesión del derecho de cobro, establecido en el apartado 1 del artículo 83 del Real decreto 887/2006, de 21 de julio, por lo que se aprueba el Reglamento de la Ley 38/2003, de 17 de noviembre, general de subvenciones, se considerará efectivamente pagado el gasto con la cesión del derecho de cobro de la subvención a favor de los cesionarios, siempre que estos sean los acreedores por razón del gasto realizado, presentada del siguiente modo:
a) Comunicación dando derecho de cobro, conforme al modelo que figura en el anexo IX.2 de esta orden.
b) Documento público o privado original por el que se formalizó la cesión.
c) Original o copia compulsada del justificante de pago o de exención del ITP y AJD, cuando proceda.
11. En las cesiones del derecho de cobro se consultarán automáticamente los documentos de identificación de las personas cedentes y cesionarias (DNI o NIE en el caso de personas físicas y NIF en el caso de personas jurídicas, según corresponda).
En el caso de que las personas interesadas se opongan a esta consulta, deberán indicarlo en el cuadro habilitado en el formulario y presentar dichos documentos.
Artículo 32. Justificación del objeto de la subvención de la línea 4
1. El beneficiario solicitará el pago mediante el formulario del anexo IX.1 al que adjuntará:
a) Facturas y sus correspondientes pruebas de haberse hecho efectivo el pago en el caso de haber realizado las comunicaciones por medios ajenos.
b) Listado de comunicaciones efectuadas, indicando, en el caso de asociaciones forestales, para cada una de ellas el socio titular y la superficie adherida.
Aquellas adhesiones cuya comunicación haya sido presentada antes de solicitar la subvención, no serán válidas para justificar el pago.
2. La instalación del cartel se justificará mediante fotografías del cartel colocado y las coordenadas ETRS-TM de su situación.
3. En el caso de que el solicitante haya justificado contrato laboral con personal técnico competente en materia forestal, deberá acreditar que las comunicaciones fueron realizadas por éste, siempre mediante contrato laboral. Para ello se presentará el TC2 actualizado de la empresa en donde se justificará la contratación de personal técnico competente en materia forestal, uno como mínimo, desde la fecha de resolución de la concesión de la ayuda hasta la fecha de justificación de la misma.
4. La persona beneficiaria de la subvención podrá realizar la cesión del derecho de cobro en los mismos términos que los establecidos en el artículo 31.10.
CAPÍTULO VI
Sistema de control
Artículo 33. Compromisos de ejecución asumidos por los beneficiarios
1. En general, para todos los beneficiarios, el compromiso de instalar el cartel publicitario que identifica la subvención según el modelo del anexo XI.
2. Dar publicidad de las subvenciones percibidas en los términos y condiciones establecidos en la Ley 19/2013, de 9 de diciembre, de transparencia, acceso a la información pública y buen gobierno. En el caso de que se haga uso de la previsión contenida en el artículo 5.4 de la citada ley, la Base de datos nacional de subvenciones servirá de medio electrónico para el cumplimiento de las obligaciones de publicidad.
3. Los beneficiarios de las líneas 1, 2 y 3 asumen los siguientes compromisos:
a) Elaborar el instrumento de ordenación o gestión forestal para el que se concede la ayuda, solicitar su aprobación de acuerdo con lo establecido en el Decreto 52/2014 y realizar todas las gestiones necesarias hasta lograr su aprobación. De ser necesario, someter el instrumento al procedimiento de evaluación de impacto ambiental.
b) Cumplimiento de las prescripciones previstas en el instrumento de ordenación o gestión forestal aprobado por la Administración forestal.
4. Los compromisos de ejecución por los beneficiarios de la línea 4:
a) Elaborar y comunicar los documentos de adhesión.
b) Compromiso de cumplir las prescripciones previstas en los referentes de buenas prácticas y en los modelos silvícolas objeto de adhesión.
5. En aplicación del artículo 71 del Reglamento (UE) 1305/2013, los beneficiarios se comprometen a proporcionar a la autoridad de gestión, a los evaluadores designados o a otros organismos en que dicha autoridad haya delegado la realización de tareas, toda la información necesaria para poder realizar el seguimiento y la evaluación del programa, en particular en relación con el cumplimiento de determinados objetivos y prioridades.
6. En aplicación del artículo 66.1.c) del Reglamento (UE) 1305/2013, los beneficiarios quedan informados de que, como consecuencia de la concesión de la ayuda, están obligados a llevar, bien un sistema de contabilidad separado, bien un código contable adecuado para todas las transacciones relativas a la operación.
Artículo 34. Controles
1. La Consellería del Medio Rural realizará los controles sobre el terreno, las comprobaciones e inspecciones que considere oportunas con el fin de comprobar la veracidad de los datos y de la documentación presentada, junto con el seguimiento y control de las ayudas concedidas.
2. El beneficiario está obligado a facilitar toda la información que le sea requerida por la Intervención general de la Comunidad Autónoma, el Tribunal de Cuentas, el Consejo de Cuentas, la Consellería del Medio Rural y los organismos de control comunitarios en el ejercicio de sus funciones de fiscalización y control del destino de las subvenciones.
3. Les será de aplicación a las subvenciones recogidas en esta orden y no se podrá efectuar ningún pago sin realizar el pertinente control sobre el terreno, así como el régimen de controles, reducciones y exclusión reguladas en el Reglamento (UE) 809/2014 de la Comisión, de 17 de julio de 2014, por el que se establecen disposiciones de aplicación del Reglamento (UE) n o 1306/2013 del Parlamento Europeo y del Consejo en lo que se refiere al sistema integrado de gestión y control, las medidas de desarrollo rural y la condicionalidad, en relación con las medidas de ayuda al desarrollo rural.
4. La Consellería del Medio Rural, al amparo de lo establecido en el Reglamento (UE) 809/2014 de la Comisión, realizará controles administrativos de todas las solicitudes de ayuda y de pago con respecto a todos los aspectos que sea posible controlar en relación con la admisibilidad de la solicitud, así como, controles sobre el terreno antes del pago final de una muestra que represente al menos el 5 % del gasto público de cada año civil, así como la posibilidad, en su caso, de sometimiento a controles a posteriori dada la posibilidad de realizar actividades de inversión.
Artículo 35. Obligación del reintegro
Procederá el reintegro de las cantidades percibidas y la exigencia del interés de demora correspondiente desde el momento del pago de la subvención hasta la fecha en que se acuerde la procedencia del reintegro, cuando se incurra en alguna de las causas establecidas en el artículo 33 de la Ley 9/2007. Los intereses se calcularán con arreglo a lo dispuesto en el artículo 7 del Reglamento (UE) 809/2014 de la Comisión.
Artículo 36. Infracciones y sanciones
En materia de infracciones y sanciones será de aplicación lo dispuesto en el título IV de la Ley 9/2007, en el Reglamento (UE) 640/2014 de la Comisión, de 11 de marzo de 2014, por el que se completa el Reglamento (UE) núm. 1306/2013 del Parlamento Europeo y del Consejo en lo que respecta al sistema integrado de gestión y control y a las condiciones sobre la denegación o retirada de los pagos y sobre las sanciones administrativas aplicables a los pagos directos, a la ayuda al desarrollo rural y a la condicionalidad, y en el Reglamento (UE) 809/2014 de la Comisión.
CAPÍTULO VII
Financiación de las convocatorias
Artículo 37. Marco financiero
La financiación de las subvenciones se efectuará en aplicación de los artículos 21 y 25 del Reglamento (UE) núm. 1305/2013 del Parlamento Europeo y del Consejo, de 17 de diciembre de 2013, relativo a la ayuda al desarrollo rural a través del Fondo Europeo Agrícola de Desarrollo Rural (Feader).
Artículo 38. Cuantía de la convocatoria
1. La orden que regule cada convocatoria determinará el reparto de la cuantía total entre las siete líneas de subvenciones.
2. En cada procedimiento de selección, si una vez priorizadas las solicitudes de cada línea no se agotara el crédito asignado a cada una de ellas, las cantidades sobrantes se podrán acumular primero en la línea 1-Sofor; en segundo lugar a la línea 2-Sofor; a continuación, en la línea 3-Sofor; seguidamente a la línea 1-Común; después a la línea 2-Común; posteriormente a la línea 3-Común; y, por último, a la línea 4.
3. La convocatoria podrá prever, además de la cuantía total máxima dentro de los créditos disponibles, la posibilidad de ampliar el crédito en los términos del artículo 30.2 del Decreto 11/2009.
4. Tratándose de una línea de ayudas plurianuales, la convocatoria indicará la distribución por anualidades de la cuantía total máxima.
TÍTULO III
Convocatoria
Artículo 39. Solicitudes
De acuerdo con lo previsto en el artículo 14, se establece que el plazo de presentación de solicitudes de subvenciones de esta convocatoria será de 2 meses, que comenzará el día siguiente al de la publicación de esta orden.
Artículo 40. Financiación
1. Esta convocatoria se realiza por tramitación anticipada de acuerdo con lo establecido en el artículo 25 del Decreto 11/2009, de 8 de enero, por el que se aprueba el Reglamento de la Ley 9/2007, de 13 de junio, de subvenciones de Galicia, y la Orden de la Consellería de Economía de 11 de febrero de 1998, por la que se regula la tramitación anticipada de los expedientes de gasto, modificada por la Orden de 27 de noviembre de 2000 y por la Orden de 25 de octubre de 2001. Como consecuencia de ello:
a) La concesión de las subvenciones queda condicionada a la existencia de crédito adecuado y suficiente en el momento de la resolución de concesión, una vez aprobados los presupuestos de la Comunidad Autónoma de Galicia para el año 2018.
b) Todos los actos de trámite dictados en el expediente de gasto se entenderán condicionados a que en el momento de dictarse la resolución de concesión subsistan las mismas circunstancias de hecho y de derecho existentes en el momento en que fueron producidos dichos actos.
c) En aplicación del artículo 3.1 de la Orden de la Consellería de Economía de 11 de febrero de 1998, en la tramitación anticipada de los expedientes de subvenciones se podrá llegar como máximo hasta el momento inmediatamente anterior al de la disposición o compromiso del gasto.
Las subvenciones se financiarán con cargo a la aplicación presupuestaria 13.02.713B.770.0, códigos de proyecto 2016 00209 (líneas 1-Sofor y 1-Común, submedida 8.31), 2016 00210 (líneas 2-Sofor y 2-Común, submedida 8.50) y 2016 00211 (líneas 3-Sofor, 3-Común y 4, submedida 8.60).
Estas ayudas se financiarán con cargo al PDR de Galicia 2014-2020, con una aportación del Fondo europeo agrícola de desarrollo rural (Feader) del 75 %, del Ministerio de Agricultura y Pesca, Alimentación y Medio Ambiente del 7,5 % y de la Xunta de Galicia del 17,5 %.
2. La cuantía total asciende a 4.000.000 €, con la siguiente distribución:
|
Anualidad |
2018 |
2019 |
Total |
|
Línea 1-Común |
1.120.000,00 |
1.120.000,00 |
2.240.000,00 |
|
Línea 1-Sofor |
80.000,00 |
80.000,00 |
160.000,00 |
|
Línea 2-Común |
490.000,00 |
490.000,00 |
980.000,00 |
|
Línea 2-Sofor |
10.000,00 |
10.000,00 |
20.000,00 |
|
Línea 3-Común |
190.000,00 |
190.000,00 |
380.000,00 |
|
Línea 3-Sofor |
10.000,00 |
10.000,00 |
20.000,00 |
|
Línea 4 |
100.000,00 |
100.000,00 |
200.000,00 |
|
Suma |
2.000.000,00 |
2.000.000,00 |
4.000.000,00 |
3. Podrán incrementarse los créditos asignados a la convocatoria como consecuencia de generaciones, incorporaciones o ampliaciones de las partidas presupuestarias que la financian, en los términos del artículo 30.2 del Decreto 11/2009.
En todo caso, las concesiones se limitarán a la disponibilidad presupuestaria. En el supuesto de procederse a dicha ampliación, se tendrá en cuenta el dispuesto en el artículo 31 de la Ley 9/2007.
Artículo 41. Plazo de justificación de la línea 4
A los efectos de lo dispuesto en el artículo 29.1.b) de las bases reguladoras, el plazo de justificación de la línea 4 será de 6 meses.
Artículo 42. Plazo de justificación de la primera anualidad en los instrumentos financiados a través de la submedida 8.31
La primera anualidad de las inversiones objeto de las subvenciones concedidas a través de las líneas 1-Común y 1-Sofor deberán ser ejecutadas, pagadas y justificadas con fecha límite del 10 de octubre de 2018. Este plazo máximo es improrrogable.
Artículo 43. Plazo de justificación de las líneas 2 y 3
A los efectos de lo dispuesto en el artículo 29.1.a) de las bases reguladoras, el plazo de justificación de las líneas 2 y 3 será de 1 año.
Artículo 44. Órgano instructor
La instrucción del procedimiento de concesión de las ayudas correspondientes a esta convocatoria será la Subdirección General de Recursos Forestales.
Artículo 45. Pago anticipado de la primera anualidad
De acuerdo con lo previsto en el artículo 30, la primera anualidad de las líneas financiadas a través de las submedidas 8.50 y 8.60 se abonará mediante un pago anticipado cuyo importe será el 50 % de la cantidad total concedida.
Disposición adicional primera. Limitación de otras ayudas
1. Las subvenciones concedidas al amparo de las bases reguladoras contenidas en esta orden son incompatibles con cualquier otro tipo de ayuda que sea contraria a los objetivos específicos o concretos de gestión establecidos para cada superficie de ordenación en el instrumento financiado o sus modificaciones aprobadas.
Esta limitación estará vigente durante un plazo de 5 años contados a partir de la aprobación del instrumento. En el caso de proyectos de ordenación, se ampliará hasta el término del plan especial.
El instrumento contendrá una cláusula recogiendo esta limitación.
2. Los gastos financiados no podrán optar a ninguna otra financiación con cargo al presupuesto de la Unión Europea, en aplicación del artículo 30 del Reglamento (UE) 1306/2013 del Parlamento Europeo y del Consejo, de 17 de diciembre de 2013, sobre la financiación, gestión y seguimiento de la Política Agrícola Común, por el que se derogan los Reglamentos (CE) núm. 352/78, (CE) núm. 165/94, (CE) núm. 2799/98, (CE) núm. 814/2000, (CE) núm. 1290/2005 y (CE) núm. 485/2008 del Consejo.
Disposición adicional segunda Publicidad de datos
De acuerdo con lo establecido en la disposición adicional del Decreto 132/2006, de 27 de julio, por el que se regulan los registros públicos creados en los artículos 44 y 45 de la Ley 7/2005, de 29 de diciembre, de presupuestos generales de la Comunidad Autónoma de Galicia para el año 2006, las solicitudes incluyen el consentimiento expreso de los interesados a la Administración concedente para incluir y hacer públicos, en los registros regulados en este decreto, los datos relevantes referidos a las ayudas y subvenciones recibidas, así como a las sanciones impuestas.
Disposición adicional tercera. Datos de carácter personal
De conformidad con la Ley orgánica 15/1999, de 13 de diciembre, de protección de datos de carácter personal, los datos personales recogidos en la tramitación de este procedimiento, cuyo tratamiento y publicación autoricen las personas interesadas mediante la presentación de las solicitudes, serán incluidos en un fichero denominado «Relaciones administrativas con la ciudadanía y entidades» con el objeto de gestionar el presente procedimiento, así como para informar a las personas interesadas sobre su tramitación. El órgano responsable de este fichero es la Secretaría General Técnica de la Consellería del Medio Rural. Los derechos de acceso, rectificación, cancelación y oposición se podrán ejercer ante el órgano responsable, mediante el envío de una comunicación a la siguiente dirección: Consellería del Medio Rural-Secretaría General Técnica, Edificio administrativo de San Caetano, San Caetano s/n, 15781 Santiago de Compostela, A Coruña o a través de un correo electrónico a sxt.medio-rural@xunta.gal.
Disposición final primera. Facultad de desarrollo
1. Se faculta al director general de Ordenación Forestal para dictar las instrucciones o actos de aplicación que estime oportunas para ejecutar esta orden.
2. Podrá modificar mediante resolución la estructura de las tablas de atributos incluidas en el anexo X al desarrollar la aplicación XORFOR-Subvenciones en aquellos aspectos que sean necesarios para su adecuado funcionamiento. Dicha modificación implicará la correspondiente publicación en el Diario Oficial de Galicia.
3. El defectuoso funcionamiento de la aplicación XORFOR-Subvenciones que haga imposible hacer efectivo el requerimiento, previa justificación por el órgano tecnológico que la gestione, implicará la suspensión del término del plazo de presentación de la documentación requerida en el artículo 24.8 de esta orden hasta que pueda hacerse efectivo el requerimiento por parte del destinatario.
Disposición final segunda. Entrada en vigor
Esta orden tendrá efectos el día siguiente al de su publicación en el Diario Oficial de Galicia.
Santiago de Compostela, 28 de diciembre de 2017
Ángeles Vázquez Mejuto
Conselleira del Medio Rural
ANEXOS
Anexo I.1 – Solicitud líneas 1, 2 y 3 (1-Sofor, 1-Común, 2-Sofor, 2-Común, 3-Sofor y 3-Común).
Anexo I.2 – Solicitud línea 4.
Anexo II – Relación de titulares y nombramiento de representante.
Anexo II.1 – Declaración de titularidad para asociaciones o grupos de certificación de gestión forestal.
Anexo II.2 – Relación de socios-titulares (asociaciones o grupos de certificación de gestión forestal)
Anexo III – Acuerdo de cesión de los titulares forestales para la gestión.
Anexo IV – Acuerdo de compromisos y obligaciones establecidos en la orden.
Anexo V – Nombramiento de personal técnico competente en materia forestal.
Anexo VI – Declaración de no vinculación de ofertas.
Anexo VII - Declaración de titularidad.
Anexo VIII – Pago anticipado.
Anexo IX.1 – Pago.
Anexo IX.2 – Comunicación de cesión de derechos de cobro.
Anexo X – Estructura de las tablas de atributos.
Anexo XI – Modelo de cartel informativo.
Anexo XII – Zonas consideradas densamente pobladas.
Anexo XIII – Documentación a presentar por los solicitantes para los que se propone provisionalmente la concesión de la subvención.
Anexo XIV – Presentación de la documentación que se relaciona en el anexo XIII.


