A aprovação da relação de postos de trabalho da Vice-presidência e Conselharia de Presidência, Administrações Públicas e Justiça justifica pelas mudanças de estrutura que tiveram lugar desde a sua aprovação e as necessidades funcional e organizativo actuais, assim como na Ordem da Conselharia de Fazenda de 10 de maio de 2017 pela que se modifica a Ordem de 21 de novembro de 1989 pela que se fixam os critérios gerais para a elaboração das relações de postos de trabalho da Comunidade Autónoma da Galiza e se aprova o modelo e se ditam instruções para cobrí-lo (DOG núm. 90, de 11 de maio do 2017).
Em consequência, por proposta da Vice-presidência e Conselharia de Presidência, Administrações Públicas e Justiça, uma vez consultadas as organizações sindicais presentes na Mesa Geral de Negociação da Comunidade Autónoma e a Comissão de Pessoal, o Conselho da Xunta da Galiza, na sua reunião do dia 22 de novembro de 2018, adoptou o seguinte
ACORDO:
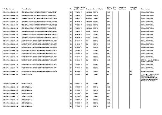
Primeiro. Aprova-se a relação de postos de trabalho da Vice-presidência e Conselharia de Presidência, Administrações Públicas e Justiça, nos termos que se assinalam nos anexo a este acordo, como consequência das suas necessidades funcional e organizativo actuais.
Segundo. Classificam-se de livre designação os postos que a seguir se relacionam em aplicação do critério de excepcionalidade que à margem se indica, de conformidade com o previsto na Lei 2/2015, de 29 de abril, do emprego público da Galiza, e com o disposto na Resolução de 25 de fevereiro de 2016, da Direcção-Geral da Função Pública, pela que se ditam instruções para a tramitação de relações de postos de trabalho e a determinação dos critérios de excepcionalidade e funções que definem as características que motivam a especial responsabilidade ou qualificação profissional dos postos de trabalho de livre designação, de nível 28 ou inferior, da Administração da Comunidade Autónoma da Galiza:
|
Código do posto |
Denominação do posto |
Critério |
|
PR.V20.00.301.15770.001 |
Directora (Centro de recuperação integral para Mulheres que sofrem violência de género) |
Especial responsabilidade por dirigir centros com características singulares. Centro com competências em matéria de atenção integral às vítimas de violência de género e às pessoas delas dependentes. |
|
PR.C02.00.000.15770.010 |
Chefatura de Serviço Técnico-Normativo |
Especial responsabilidade por gerir informação especialmente reservada da Xunta de Galicia: Asesoramento e dependência directa de um alto cargo. |
|
PR.C02.00.003.15770.020 |
Chefatura Serviço Secretariado Governo |
Especial responsabilidade por gerir informação especialmente reservada da Xunta de Galicia. Responsável pela preparação da ordem do dia e das convocações e documentação dos expedientes que se elevem ao Conselho da Xunta e à Comissão de Secretários Gerais Técnicos. |
|
PR.C02.00.003.15770.022 |
Chefatura Secção I Secretariado Governo |
Especial responsabilidade por gerir informação especialmente reservada da Xunta de Galicia. Responsável pela preparação da ordem do dia e das convocações e documentação dos expedientes que se elevem ao Conselho da Xunta e à Comissão de Secretários Gerais Técnicos. |
|
PR.C02.00.003.15770.023 |
Chefatura Secção II Secretariado Governo |
Especial responsabilidade por gerir informação especialmente reservada da Xunta de Galicia. Responsável pela preparação da ordem do dia e das convocações e documentação dos expedientes que se elevem ao Conselho da Xunta e à Comissão de Secretários Gerais Técnicos. |
|
PR.C02.00.003.15770.025 |
Chefatura Negociado Secretariado Governo |
Especial responsabilidade por gerir informação especialmente reservada da Xunta de Galicia. Responsável pela preparação da ordem do dia e das convocações e documentação dos expedientes que se elevem ao Conselho da Xunta e à Comissão de Secretários Gerais Técnicos. |
|
PR.C03.00.000.15770.030 |
Chefatura Serviço de Coordinação Técnico-Admtva |
Especial responsabilidade por gerir informação especialmente reservada da Xunta de Galicia. Asesoramento e dependência directa de um alto cargo. |
|
PR.C04.00.002.15770.010 |
Xefat. Serv. Réx. Xuríd. Gestão Func. Habilit. Nacional |
Especial responsabilidade por garantir a protecção de dados pessoais. Responsabilidade directa sobre os sistemas de protecção de dados pessoais de níveis médio e alto segundo a classificação estabelecida nos pontos 2 e 3 do artigo 81 do Regulamento de desenvolvimento da Lei orgânica 15/1999, de 13 de dezembro, de protecção de dados de carácter pessoal, aprovado pelo Real decreto 1720/2007, de 21 de dezembro. |
|
PR.C05.00.000.15770.025 |
Chefatura Serviço Seguimento Lexisl. Acordos Parlam |
Especial responsabilidade por gerir informação especialmente reservada da Xunta de Galicia. Asesoramento e dependência directa de um alto cargo. |
|
PR.C05.00.000.15770.040 |
Chefatura Serviço de Desenvolvimento Institucional |
Especial responsabilidade por gerir informação especialmente reservada da Xunta de Galicia. Asesoramento e dependência directa de um alto cargo. |
|
PR.C05.00.000.15770.045 |
Chefatura Serviço Coordinação |
Especial responsabilidade por gerir informação especialmente reservada da Xunta de Galicia. Asesoramento e dependência directa de um alto cargo. |
|
PR.C05.00.000.15770.050 |
Chefatura Serviço Seguimento e Análise Competência |
Especial responsabilidade por gerir informação especialmente reservada da Xunta de Galicia. Asesoramento e dependência directa de um alto cargo. |
|
PR.C06.00.000.15770.050 |
Chefatura Serviço Planif. Económica e Coord. Admtva |
Especial responsabilidade por gerir informação especialmente reservada da Xunta de Galicia. Asesoramento e dependência directa de um alto cargo. |
|
PR.C06.00.001.15770.010 |
Chefatura Serviço de Prevenção e Análise de Riscos |
Especial responsabilidade por garantir uma adequada tomada de decisões que supõem a limitação de direitos em situações de alerta sanitária ou emergência. |
|
PR.C06.00.001.15770.020 |
Chefatura Serviço de Vigilância Radiolóxica |
Especial responsabilidade por garantir uma adequada tomada de decisões que supõem a limitação de direitos em situações de alerta sanitária ou emergência. |
|
PR.C06.00.001.15770.030 |
Chefatura Serviço de Protecção Civil |
Especial responsabilidade por garantir uma adequada tomada de decisões que supõem a limitação de direitos em situações de alerta sanitária ou emergência. |
|
PR.C06.00.002.15770.020 |
Chefatura Serviço de Segurança |
Especial responsabilidade por garantir a protecção de dados pessoais. Responsabilidade directa no que atinge ao controlo e uso dos dados, tanto pessoais como económicos, do pessoal policial da Unidade de Polícia adscrita à Comunidade Autónoma da Galiza, assim como do seu armamento, uniformidade e médios técnicos. |
|
PR.C07.00.000.15770.022 |
Xef. Serviço Xest. Eco., Admtva e de Insp. e Contr |
Especial responsabilidade por gerir informação especialmente reservada da Xunta de Galicia. Asesoramento e dependência directa de um alto cargo. |
|
PR.C07.00.000.15770.040 |
Secretário/a Delegação Junta em Bons Ares |
Especial responsabilidade por exercer a representação institucional da Xunta de Galicia. Substituição da representação institucional da Xunta de Galicia em centros dependentes da Xunta de Galicia, fora do âmbito territorial da Comunidade Autónoma. |
|
PR.C07.00.000.15770.050 |
Secretário/a Delegação Junta em Montevideu |
Especial responsabilidade por exercer a representação institucional da Xunta de Galicia. Substituição da representação institucional da Xunta de Galicia em centros dependentes da Xunta de Galicia, fora do âmbito territorial da Comunidade Autónoma. |
|
PR.C08.00.000.15770.040 |
Analista de Gestão do Rendimento e Qualidade |
Especial responsabilidade por garantir o adequado exercício de autoridade e/ou inspecção administrativa da Xunta de Galicia. A realização das funções de avaliação, auditoria e investigação, sobre o funcionamento dos serviços públicos. |
|
PR.C08.00.000.15770.041 |
Analista de Gestão do Rendimento e Qualidade |
Especial responsabilidade por garantir o adequado exercício de autoridade e/ou inspecção administrativa da Xunta de Galicia. A realização das funções de avaliação, auditoria e investigação, sobre o funcionamento dos serviços públicos. |
|
PR.C08.00.000.15770.042 |
Analista de Gestão do Rendimento e Qualidade |
Especial responsabilidade por garantir o adequado exercício de autoridade e/ou inspecção administrativa da Xunta de Galicia. A realização das funções de avaliação, auditoria e investigação, sobre o funcionamento dos serviços públicos. |
|
PR.C08.00.000.15770.043 |
Analista de Gestão do Rendimento e Qualidade |
Especial responsabilidade por garantir o adequado exercício de autoridade e/ou inspecção administrativa da Xunta de Galicia. A realização das funções de avaliação, auditoria e investigação, sobre o funcionamento dos serviços públicos. |
|
PR.C08.00.000.15770.044 |
Analista de Gestão do Rendimento e Qualidade |
Especial responsabilidade por garantir o adequado exercício de autoridade e/ou inspecção administrativa da Xunta de Galicia. A realização das funções de avaliação, auditoria e investigação, sobre o funcionamento dos serviços públicos. |
|
PR.C08.00.000.15770.045 |
Analista de Gestão do Rendimento e Qualidade |
Especial responsabilidade por garantir o adequado exercício de autoridade e/ou inspecção administrativa da Xunta de Galicia. A realização das funções de avaliação, auditoria e investigação, sobre o funcionamento dos serviços públicos. |
|
PR.C08.00.000.15770.046 |
Analista de Gestão do Rendimento e Qualidade |
Especial responsabilidade por garantir o adequado exercício de autoridade e/ou inspecção administrativa da Xunta de Galicia. A realização das funções de avaliação, auditoria e investigação, sobre o funcionamento dos serviços públicos. |
|
PR.C08.00.000.15770.047 |
Analista de Gestão do Rendimento e Qualidade |
Especial responsabilidade por garantir o adequado exercício de autoridade e/ou inspecção administrativa da Xunta de Galicia. A realização das funções de avaliação, auditoria e investigação, sobre o funcionamento dos serviços públicos. |
|
PR.C08.00.000.15770.048 |
Analista de Gestão do Rendimento e Qualidade |
Especial responsabilidade por garantir o adequado exercício de autoridade e/ou inspecção administrativa da Xunta de Galicia. A realização das funções de avaliação, auditoria e investigação, sobre o funcionamento dos serviços públicos. |
|
PR.C99.00.000.15001.005 |
Chefatura Secção Apoio Técnico e Coordin. Admtva |
Especial responsabilidade por gerir informação especialmente reservada da Xunta de Galicia. Asesoramento e dependência directa de um alto cargo. |
|
PR.C99.10.000.15001.240 |
Chefatura Serviço de Emergências |
Especial responsabilidade por garantir uma adequada tomada de decisões que supõem a limitação de direitos em situações de alerta sanitária ou emergência. |
|
PR.C99.10.000.15001.246 |
Chefatura Área Técnica |
Especial responsabilidade por garantir uma adequada tomada de decisões que supõem a limitação de direitos em situações de alerta sanitária ou emergência. |
|
PR.C99.20.000.15350.001 |
Chefatura Escritório Coordenador |
Especial responsabilidade por gerir informação especialmente reservada da Xunta de Galicia. Asesoramento e dependência directa de um alto cargo. |
|
PR.C99.00.000.27001.005 |
Chefatura Secção Apoio Técnico e Coordin. Admtva |
Especial responsabilidade por gerir informação especialmente reservada da Xunta de Galicia. Asesoramento e dependência directa de um alto cargo. |
|
PR.C99.10.000.27001.160 |
Chefatura Serviço de Emergências |
Especial responsabilidade por garantir uma adequada tomada de decisões que supõem a limitação de direitos em situações de alerta sanitária ou emergência. |
|
PR.C99.10.000.27001.161 |
Chefatura Área Técnica |
Especial responsabilidade por garantir uma adequada tomada de decisões que supõem a limitação de direitos em situações de alerta sanitária ou emergência. |
|
PR.C99.00.000.32001.005 |
Chefatura Secção Apoio Técnico e Coordin. Admtva |
Especial responsabilidade por gerir informação especialmente reservada da Xunta de Galicia. Asesoramento e dependência directa de um alto cargo. |
|
PR.C99.10.000.32001.140 |
Chefatura Serviço de Emergências |
Especial responsabilidade por garantir uma adequada tomada de decisões que supõem a limitação de direitos em situações de alerta sanitária ou emergência. |
|
PR.C99.10.000.32001.145 |
Chefatura Área Técnica |
Especial responsabilidade por garantir uma adequada tomada de decisões que supõem a limitação de direitos em situações de alerta sanitária ou emergência. |
|
PR.C99.00.000.36001.005 |
Chefatura Secção Apoio Técnico e Coordin. Admtva |
Especial responsabilidade por gerir informação especialmente reservada da Xunta de Galicia. Asesoramento e dependência directa de um alto cargo. |
|
PR.C99.10.000.36001.170 |
Chefatura Serviço de Emergências |
Especial responsabilidade por garantir uma adequada tomada de decisões que supõem a limitação de direitos em situações de alerta sanitária ou emergência. |
|
PR.C99.10.000.36001.175 |
Chefatura Área Técnica |
Especial responsabilidade por garantir uma adequada tomada de decisões que supõem a limitação de direitos em situações de alerta sanitária ou emergência. |
|
PR.C99.00.000.36560.005 |
Chefatura Secção Apoio Técnico e Coordin. Admtva |
Especial responsabilidade por gerir informação especialmente reservada da Xunta de Galicia. Asesoramento e dependência directa de um alto cargo. |
|
PR.C99.40.000.36560.001 |
Chefatura Serviço Gestão Técnico-Administrativa |
Especial responsabilidade por garantir uma adequada tomada de decisões que supõem a limitação de direitos em situações de alerta sanitária ou emergência. |
Terceiro. Ordena-se a sua publicação no Diário Oficial da Galiza para os efeitos da entrada em vigor a partir do dia seguinte ao da sua publicação.
Visto o Acordo adoptado pelo Conselho da Xunta da Galiza na sua reunião de 22 de novembro de 2018, relativo à aprovação da relação de postos de trabalho da Vice-presidência e Conselharia de Presidência, Administrações Públicas e Justiça, com a finalidade de cumprir o dito acordo, de conformidade com a Ordem da Conselharia de Fazenda de 8 de julho de 2013 sobre delegação de competências na Direcção-Geral da Função Pública (DOG núm. 136, de 18 de julho), disponho que se publique no Diário Oficial da Galiza como anexo a esta resolução.
Santiago de Compostela, 23 de novembro de 2018
O conselheiro de Fazenda
P.D. (Ordem do 8.7.2013)
José María Barreiro Díaz
Director geral da Função Pública


