Antecedentes:
Primero. Con fecha 10.4.2018 Greenalia Power, S.L.U. solicitó la autorización administrativa previa, la declaración de utilidad pública, en concreto, la necesidad de urgente ocupación que ello implica, la autorización administrativa de construcción, el proyecto sectorial de incidencia supramunicipal, el estudio de impacto ambiental y la declaración de interés especial, presentando la documentación técnica necesaria del proyecto.
Segundo. Con fecha 26.4.2018, el Consello de la Xunta de Galicia declaro de interés especial el proyecto de la LAT 220 kV Campelo-Mesón, lo que tiene como efectos la tramitación de forma prioritaria, con carácter de urgencia y la reducción a la mitad los plazos necesarios en la instrucción del procedimiento.
Los proyectos declarados de interés especial debían ejecutarse y solicitar la autorización de explotación con anterioridad al 1 de enero de 2020. Queda, en caso contrario, sin efectos esta declaración de interés especial.
Tercero. Con fecha 6.7.2018, mediante Acuerdo de la Jefatura Territorial de la Consellería de Economía, Empleo e Industria de A Coruña, se sometió a información pública la solicitud de autorización administrativa previa, la declaración de utilidad pública, en concreto, la necesidad de urgente ocupación que ello implica, la autorización administrativa de construcción, el proyecto sectorial de incidencia supramunicipal y el estudio de impacto ambiental, realizada por Geenalia Power, S.L.U. (DOG núm. 148, de 3.8.2018).
Cuarto. Con fecha 7.2.2019, la Dirección General de Energía y Minas tomo razón del cambio de denominación de la sociedad Greenalia Power, S.L.U. a Greenalia Wind Power, S.L.U.
Quinto. Debido a las correcciones introducidas por los informes emitidos por organismos y entidades, con fechas de 11.3.2019, 25.3.20190 y 12.4.2019, el promotor, Greenalia Wind Power, S.L.U. (antes con la denominación social de Greenalia Power, S.L.U.), presento nueva documentación técnica que supone una modificación del proyecto con respecto a la documentación que fue expuesta mediante el Acuerdo de 6 de julio de 2018, publicado en el DOG núm. 148, de 3 de agosto (antecedente tercero).
Sexto. Con fecha 3.5.2019, mediante Acuerdo de la Jefatura Territorial de la Consellería de Economía, Empleo e Industria de A Coruña, se sometió a información pública la solicitud de autorización administrativa previa, la declaración de utilidad pública, en concreto, la necesidad de urgente ocupación que ello implica, la autorización administrativa de construcción, el proyecto sectorial de incidencia supramunicipal y el estudio de impacto ambiental, realizada por Geenalia Wind Power, S.L.U. (DOG núm. 100, de 28.5.2019).
Séptimo. Nuevamente, debido a las correcciones introducidas motivadas por los informes emitidos por organismos y entidades, con fechas 28.2.2020, 12.3.2020 y 3.8.2020. el promotor, Greenalia Wind Power, S.L.U., presento nueva documentación técnica (febrero 2020-visado el 27.2.2020), que supone una modificación del proyecto con respecto a la documentación que fue expuesta mediante el Acuerdo de 3 mayo de 2019, publicado en el DOG núm. 100, de 28 de mayo (antecedente sexto).
Por lo anterior, en cumplimiento de lo dispuesto en la Ley 24/2013, de 26 de diciembre, del sector eléctrico; en la Ley 21/2013, de 9 de diciembre, de evaluación ambiental; en el Real decreto 1955/2000, de 1 de diciembre, por el que se regulan las actividades de transporte, distribución, comercialización, suministración y procedimientos de autorización de instalaciones de energía eléctrica y, la Ley 8/2009, de 22 de diciembre, por la que se regula el aprovechamiento eólico en Galicia y se crea el canon eólico y el Fondo de Compensación Ambiental (modificada por la Ley 5/2017, de 19 de octubre, de fomento de la implantación de iniciativas empresariales en Galicia); en la Ley 10/1995, de 23 de noviembre, de ordenación del territorio de Galicia; en el Decreto 80/2000, de 23 de marzo, por lo que se regulan los planes y proyectos sectoriales de incidencia supramunicipal; y demás normas vigentes de aplicación, se somete a información pública la solicitud relacionada con la instalación que se describe a continuación:
Solicitante/promotor: Greenalia Wind Power, S.L.U.-NIF B70501473 (antes con la denominación social de Greenalia Power, S.L.U.)
Domicilio social: plaza María Pita, nº 10, 1º, 15001 A Coruña.
Denominación del proyecto: LAT 220 kV Campelo-Mesón (modificado) (de 27.2.2020 y visado 20200475 el 27.2.2020).
Municipios afectados: ayuntamientos de Carballo, Carral, Cerceda, Coristanco, Ordes y Tordoia (A Coruña).
Presupuesto: 10.156.357,69 €.
Objeto:
Con el fin de evacuar la energía generada por los parques eólicos proyectados de Campelo (IN661A 2011/16), Bustelo (IN408A 2017/002) y Monte Toral (IN408A 2017/017), se proyecta una línea de alta tensión de 220 kV con inicio en la subestación del parque eólico de Campelo proyectada (IN661A 2011/16) y final en la subestación de transporte existente de Mesón do Vento.
Características técnicas de las instalaciones:
– LAT a 220 kV simple circuito de 38.574 m, con la siguiente configuración técnica:
– LATA a 220 kV simple circuito dúplex, de 35.334 m, conductor tipo LA-455 Al, con origen en el pórtico de la SET del parque eólico de Campelo proyectada (IN661A 2011/16), y final en el paso A/S del apoyo nº 103 proyectado. Los apoyos proyectados son del tipo celosía de acero.
– LATS a 220 kV, de 1.186 m, conductor tipo RHZ1-RA+2OL (AS) 127/220 2×(1×630) Al, con origen en el PA/S del apoyo nº 103 proyectado y final en el paso A/S del apoyo nº 104 proyectado. Conexión equipotencial de las tierras en ambos extremos en conductor tipo RV 0,6/1 kV 1×Cu185 mm².
– LATA a 220 kV simple circuito dúplex, de 809 m, conductor tipo LA-455 Al, con origen en el paso A/S del apoyo nº 104 proyectada, y final en el paso A/S del apoyo nº 107 proyectado. Los apoyos proyectados son del tipo celosía de acero.
– LATS a 220 kV, de 1.244 m, conductor tipo RHZ1-RA+2OL (AS) 127/220 2×(1×630) Al, con origen en el PA/S del apoyo nº 107 proyectado y final en la posición prevista en la SET Mesón do Vento de transporte. Conexión equipotencial de las tierras en ambos extremos en conductor tipo RV 0,6/1 kV 1×Cu185 mm².
Objeto de la información pública:
– La autorización administrativa previa, la declaración de utilidad pública, en concreto, la necesidad de urgente ocupación que ello implica, la autorización administrativa de construcción, el proyecto sectorial de incidencia supramunicipal y el estudio de impacto ambiental de las instalaciones. La declaración de utilidad pública llevará implícita, de acuerdo con el artículo 56 de la Ley 24/2013, de 26 de diciembre, del sector eléctrico, la necesidad de la urgente ocupación a los efectos de la expropiación forzosa, de los bienes y derechos afectados necesarios para el establecimiento de estas instalaciones.
– Documentación que se expone:
1. El Proyecto de ejecución (febrero 2020-visado el 27.2.2020).
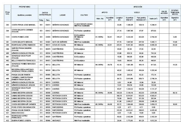
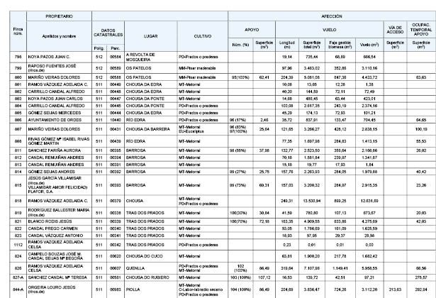
1.1. La relación concreta e individualizada de los propietarios, bienes y derechos afectados por la modificación del proyecto (RBDA-julio 2020), que figura en los anexos que se insertan en este Acuerdo.
1.2. Plano general del proyecto de la LAT Campelo-Mesón (modificado)
1.3. Planos individuales fincas afectadas por la 2ª modificación del proyecto (RBDA-julio 2020).
2. El estudio de impacto ambiental (EIA) (abril 2018).
2.1. La adenda al estudio de impacto ambiental (marzo 2019).
2.2. La 2ª adenda al estudio de impacto ambiental (febrero 2020).
3. El proyecto sectorial de incidencia supramunicipal (febrero 2020-visado el 27.2.2020)
Lo que se hace público, de conformidad con el artículo 33.8 de la Ley 8/2009, de 22 de diciembre, por la que se regula el aprovechamiento eólico en Galicia y se crea el canon eólico y el Fondo de Compensación Ambiental (modificada por la Ley 5/2017, de 19 de octubre, de fomento de la implantación de iniciativas empresariales en Galicia), para el conocimiento general, así como, en particular, de los propietarios de las fincas que figuran en las relaciones anexas a este acuerdo, y de las personas que siendo titulares de derechos reales o intereses económicos sobre los bienes afectados que fuesen omitidas, para que puedan examinar la documentación técnica anteriormente relacionada y, en su caso, presentar las alegaciones u observaciones que consideren oportunas dentro del plazo de treinta (30) días, que se contará a partir del día siguiente al de la última publicación de este acuerdo.
La documentación estará a disposición de los interesados en las dependencias de la sección de Energía de esta Jefatura Territorial de A Coruña de la Consellería de Economía, Empleo e Industria (calle Vicente Ferrer, nº 2, 2ª planta, 15071 A Coruña, de 9.00 a 14.00 horas, de lunes a viernes, previa cita en el correo electrónico seccion.enerxia.coruna@xunta.es o en los teléfonos 981 18 49 83 y 981 18 49 23), así como en los municipios de Carballo, Carral, Cerceda, Coristanco, Ordes y Tordoia (A Coruña). Además, también se podrá consultar en el portal web de la Consellería de Economía, Empleo e Industria https://ceei.xunta.gal/transparencia/informacion-publica/en-tramitacion/instalacions-de-xeracion?content=expediente_0008.html
El estudio de impacto ambiental estará también disponible, durante el mismo plazo, en las dependencias de la Jefatura Territorial de A Coruña de la Consellería de Medio Ambiente, Territorio y Vivienda.
A Coruña, 19 de agosto de 2020
Isidoro Martínez Arca
Jefe territorial de A Coruña


