Antecedentes:
Primeiro. Com data do 10.4.2018, Greenalia Power, S.L.U. solicitou a autorização administrativa prévia, a declaração de utilidade pública, em concreto, a necessidade de urgente ocupação que isso implica, a autorização administrativa de construção, o projecto sectorial de incidência supramunicipal, o estudo de impacto ambiental e a declaração de interesse especial, e achegou a documentação técnica necessária do projecto.
Segundo. Com data do 26.4.2018, o Conselho da Xunta da Galiza declarou de interesse especial o projecto da LAT 220 kV Campelo-Mesón, o que tem como efeitos a tramitação de forma prioritária, com carácter de urgência e a redução à metade dos prazos necessários na instrução do procedimento.
Os projectos declarados de interesse especial deviam executar-se e solicitar a autorização de exploração com anterioridade ao 1 de janeiro de 2020. Fica, caso contrário, sem efeitos esta declaração de interesse especial.
Terceiro. Com data do 6.7.2018, mediante Acordo da Chefatura Territorial da Conselharia de Economia, Emprego e Indústria da Corunha, submeteu-se a informação pública a solicitude de autorização administrativa prévia, a declaração de utilidade pública, em concreto, a necessidade de urgente ocupação que isso implica, a autorização administrativa de construção, o projecto sectorial de incidência supramunicipal e o estudo de impacto ambiental, realizada por Geenalia Power, S.L.U. (DOG núm. 148, do 3.8.2018).
Quarto. Com data do 7.2.2019, a Direcção-Geral de Energia e Minas tomou razão da mudança de denominação da sociedade Greenalia Power, S.L.U. a Greenalia Wind Power, S.L.U.
Quinto. Devido às correcções introduzidas pelos relatórios emitidos por organismos e entidades, com datas do 11.3.2019, 25.3.2019 e 12.4.2019, o promotor, Greenalia Wind Power, S.L.U., apresentou nova documentação técnica que supõe uma modificação do projecto com respeito à documentação que foi exposta mediante o Acordo de 6 de julho de 2018, publicado no DOG núm. 148, de 3 de agosto (antecedente terceiro).
Sexto. Com data do 3.5.2019, mediante Acordo da Chefatura Territorial da Conselharia de Economia, Emprego e Indústria da Corunha, submeteu-se a informação pública a solicitude de autorização administrativa prévia, a declaração de utilidade pública, em concreto, a necessidade de urgente ocupação que isso implica, a autorização administrativa de construção, o projecto sectorial de incidência supramunicipal e o estudo de impacto ambiental, realizada por Geenalia Wind Power, S.L.U. (DOG núm. 100, do 28.5.2019).
Sétimo. Novamente, devido às correcções introduzidas motivadas pelos relatórios emitidos por organismos e entidades, com datas 28.2.2020, 12.3.2020 e 3.8.2020, o promotor, Greenalia Wind Power, S.L.U., apresentou nova documentação técnica (fevereiro 2020-visto o 27.2.2020), que supõe uma modificação do projecto com respeito à documentação que foi exposta mediante o Acordo de 3 de maio de 2019, publicado no DOG núm. 100, do 28 maio (antecedente sexto).
Pelo anterior, em cumprimento do disposto na Lei 24/2013, de 26 de dezembro, do sector eléctrico; na Lei 21/2013, de 9 de dezembro, de avaliação ambiental; no Real decreto 1955/2000, de 1 de dezembro, pelo que se regulam as actividades de transporte, distribuição, comercialização, subministração e procedimentos de autorização de instalações de energia eléctrica; na Lei 8/2009, de 22 de dezembro, pela que se regula o aproveitamento eólico na Galiza e se acredite o cânone eólico e o Fundo de Compensação Ambiental (modificada pela Lei 5/2017, de 19 de outubro, de fomento da implantação de iniciativas empresariais na Galiza); na Lei 10/1995, de 23 de novembro, de ordenação do território da Galiza; no Decreto 80/2000, de 23 de março, pelo que se regulam os planos e projectos sectoriais de incidência supramunicipal, e demais normas vigentes de aplicação, submete-se a informação pública a solicitude relacionada com a instalação que se descreve a seguir:
Solicitante/promotor: Greenalia Wind Power, S.L.U.-NIF B70501473 (antes com a denominação social de Greenalia Power, S.L.U.).
Endereço social: largo María Pita, nº 10, 1º, 15001 A Corunha.
Denominação do projecto: LAT 220 kV Campelo-Mesón (modificado) (do 27.2.2020 e visto 20200475 o 27.2.2020).
Municípios afectados: câmaras municipais de Carballo, Carral, Cerceda, Coristanco, Ordes e Tordoia (A Corunha).
Orçamento: 10.156.357,69 €.
Objecto:
Com o fim de evacuar a energia gerada pelos parques eólicos projectados de Campelo (IN661A 2011/16), Bustelo (IN408A 2017/002) e Monte Toural (IN408A 2017/017), projecta-se uma linha de alta tensão de 220 kV com início na subestação do parque eólico de Campelo projectada (IN661A 2011/16) e final na subestação de transporte existente de Mesón do Vento.
Características técnicas das instalações:
– LAT a 220 kV simples circuito de 38.574 m, com a seguinte configuração técnica:
– LATA a 220 kV simples circuito dúplex, de 35.334 m, motorista tipo LA-455 Al, com origem no pórtico da SET do parque eólico de Campelo projectada (IN661A 2011/16), e remate no passo A/S do apoio nº 103 projectado. Os apoios projectados são do tipo celosía de aço.
– LATS a 220 kV, de 1.186 m, motorista tipo RHZ1-RA+2OL (As) 127/220 2×(1×630) Al, com origem no PÁ/S do apoio nº 103 projectado e final no passo A/S do apoio nº 104 projectado. Conexão equipotencial das terras em ambos os dois extremos em motorista tipo RV 0,6/1 kV 1×Cu185 mm².
– LATA a 220 kV simples circuito dúplex, de 809 m, motorista tipo LA-455 Al, com origem no passo A/S do apoio nº 104 projectada, e final no passo A/S do apoio nº 107 projectado. Os apoios projectados são do tipo celosía de aço.
– LATS a 220 kV, de 1.244 m, motorista tipo RHZ1-RA+2OL (As) 127/220 2×(1×630) Al, com origem no PÁ/S do apoio nº 107 projectado e final na posição prevista na SET Mesón do Vento de transporte. Conexão equipotencial das terras em ambos os dois extremos em motorista tipo RV 0,6/1 kV 1×Cu185 mm².
Objecto da informação pública:
– A autorização administrativa prévia, a declaração de utilidade pública, em concreto, a necessidade de urgente ocupação que isso implica, a autorização administrativa de construção, o projecto sectorial de incidência supramunicipal e o estudo de impacto ambiental das instalações. A declaração de utilidade pública levará implícita, de acordo com o artigo 56 da Lei 24/2013, de 26 de dezembro, do sector eléctrico, a necessidade da urgente ocupação para os efeitos da expropiação forzosa, dos bens e direitos afectados necessários para o estabelecimento destas instalações.
– Documentação que se expõe:
1. O projecto de execução (fevereiro 2020-visto o 27.2.2020).
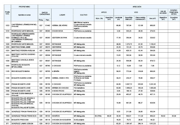
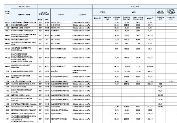
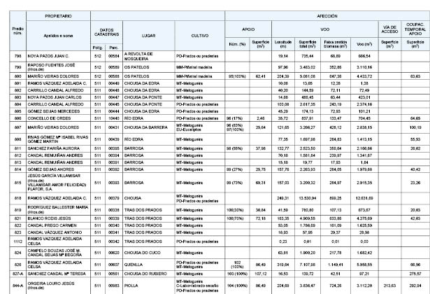
1.1. A relação concreta e individualizada dos proprietários de bens e direitos afectados pela modificação do projecto (RBDA-julho 2020), que figura nos anexo que se insere neste acordo.
1.2. Plano geral do projecto da LAT Campelo-Mesón (modificado).
1.3. Planos individuais dos prédios afectados pela 2ª modificação do projecto (RBDA-julho 2020).
2. O estudo de impacto ambiental (EIA) (abril 2018).
2.1. A addenda ao estudo de impacto ambiental (março 2019).
2.2. A 2ª addenda ao estudo de impacto ambiental (fevereiro 2020).
3. O projecto sectorial de incidência supramunicipal (fevereiro 2020-visto o 27.2.2020).
O que se faz público, de conformidade com o artigo 33.8 da Lei 8/2009, de 22 de dezembro, pela que se regula o aproveitamento eólico na Galiza e se acredite o cânone eólico e o Fundo de Compensação Ambiental (modificada pela Lei 5/2017, de 19 de outubro, de fomento da implantação de iniciativas empresariais na Galiza), para o conhecimento geral, assim como, em particular, dos proprietários dos prédios que figuram nas relações anexas a este acordo, e das pessoas que sendo titulares de direitos reais ou interesses económicos sobre os bens afectados que fossem omitidas, para que possam examinar a documentação técnica anteriormente relacionada e, se é o caso, apresentar as alegações ou observações que considerem oportunas dentro do prazo de trinta (30) dias, que se contará a partir do dia seguinte ao da última publicação deste acordo.
A documentação estará à disposição dos interessados nas dependências da Secção de Energia desta Chefatura Territorial da Corunha da Conselharia de Economia, Emprego e Indústria (rua Vicente Ferrer, nº 2, 2º andar, 15071 A Corunha, das 9.00 as 14.00 horas, de segundas-feiras a sextas-feiras, com cita prévia no correio electrónico seccion.enerxia.coruna@xunta.es ou nos telefones 981 18 49 83 e 981 18 49 23), assim como nos câmaras municipais de Carballo, Carral, Cerceda, Coristanco, Ordes e Tordoia (A Corunha). Ademais, também se poderá consultar no portal web da Conselharia de Economia, Emprego e Indústria https://ceei.junta.gal/transparência/informacion-publica/em-tramitacion/instalacions-de-xeracion?content=expediente_0008.html
O estudo de impacto ambiental estará também disponível, durante o mesmo prazo, nas dependências da Chefatura Territorial da Corunha da Conselharia de Médio Ambiente, Território e Habitação.
A Corunha, 19 de agosto de 2020
Isidoro Martínez Arca
Chefe territorial da Corunha


