Exposición de motivos
I
Los presupuestos de 2021 vienen marcados por una situación de crisis sanitaria a nivel mundial motivada por la irrupción del virus COVID-19. El 12 de marzo del 2020, el día siguiente a la declaración por la Organización Mundial de la Salud de la situación de pandemia internacional, se publicó en el Diario Oficial de Galicia el Acuerdo del Consejo de la Xunta de Galicia por el que se adoptaban las medidas preventivas en materia de salud pública en la Comunidad Autónoma de Galicia, como consecuencia de la evolución de la epidemia del coronavirus COVID-19. El 13 de marzo de 2020 se declaró el estado de emergencia sanitaria en la Comunidad Autónoma de Galicia, y el 14 de ese mismo mes se decreta el estado de alarma en todo el Estado. Esta serie de acontecimientos derivaron en importantes restricciones de la movilidad e implicaron el confinamiento a nivel nacional con motivo de frenar la expansión de la pandemia y evitar la saturación de las instalaciones sanitarias.
Antes de surgir esta pandemia, Galicia y España llevaban una senda ininterrumpida de crecimiento de seis años; en el año 2019 el crecimiento de la economía española se moderó, creciendo en concreto un dos por ciento frente al 2,4 por ciento del año 2018. Los países de nuestro entorno también experimentaron esta moderación, en concreto las economías del área del euro tuvieron un crecimiento menor de su economía. Si bien es cierto que dentro de la senda de la economía mundial se preveía una desaceleración progresiva, la llegada del COVID-19 supuso un cambio total, originando un abrupto parón de la actividad económica y la consiguiente caída del PIB.
En la actualidad, la epidemia sigue extendiendo sus efectos por todo el mundo, teniendo consecuencias devastadoras tanto en el ámbito de la salud como de la economía. Las últimas estimaciones señalan una caída del PIB real de un 11,2 por ciento en el conjunto del territorio nacional y en nuestra comunidad se prevé un descenso algo menor, calculándose un porcentaje de aminoración del PIB del 9,7 por ciento. Sin embargo, para el año 2021 las previsiones económicas estiman una importante recuperación de la economía, situando un ascenso del PIB alrededor del ocho por ciento. Este panorama requiere que el presupuesto, principal instrumento del Gobierno gallego para el desarrollo de su política económica, sea la vía principal para el retorno a la senda de crecimiento estable en la que nos encontrábamos antes de la irrupción en nuestras vidas de esta pandemia.
A fin de paliar los efectos de esta crisis, se creó un Comité de Expertos Económicos de Galicia para estudiar y proponer las medidas que habían de adoptarse para superar la gravísima situación existente. El trabajo en grupo de este comité originó cuatro documentos –en materia de propuestas de apoyo a la liquidez, propuestas sobre empleo, propuestas sobre solvencia y fortalecimiento financiero y propuestas de impulso y dinamización de la economía gallega–, encaminados a plantear propuestas de aplicación inmediata para contrarrestar los efectos de la pandemia en el nivel económico y en el mercado de trabajo.
Ahora, cuando estamos controlando los efectos de la segunda ola pandémica, sabemos que su evolución es de difícil predicción y su impacto en la actividad económica gira en torno a los dos dígitos de producto nacional.
Por ello, la prioridad asignativa de las cuentas del año 2021 siguen reforzando la atención sociosanitaria y la salud pública, apostando por unas infraestructuras sanitarias modernas y bien dotadas y por las políticas preventivas en primaria y salud pública.
Como toda crisis económica, esta implicará un ajuste de rentas y precios, y las cuentas para 2021 potencian las políticas de gasto destinadas a paliar los efectos de la misma en los más desfavorecidos y en quienes perdieron sus trabajos y sus empresas o vieron mermados fuertemente sus ingresos.
Por último, los presupuestos de 2021 vehiculizan los recursos financieros precisos para apoyar la reactivación económica con fuerza y apuestan por modernizar e impulsar una serie de procesos de reformas estructurales en nuestra economía que la hagan más resistente y competitiva, adaptándose a los requerimientos de las transiciones verde y digital.
Los recursos que sustentarán las políticas de gasto recogidas en las cuentas del 2021 van a tener unas características especiales motivadas por la realidad que conforma esta crisis sanitaria. En las actuales circunstancias es previsible una aminoración de la recaudación tributaria consecuencia del mencionado ajuste de rentas y precios que resulta del impacto en el campo productivo de la crisis sanitaria que ha ocasionado la pandemia.
Así, ante la evidencia de que el sistema de financiación autonómica no está previsto para enfrentar perturbaciones extraordinarias como la presente, en el próximo ejercicio el Gobierno de España transferirá un fondo extraordinario de 13.486 millones de euros destinado al saneamiento de las cuentas públicas de las comunidades autónomas. De este importe se estima que le corresponderá a Galicia 684,9 millones de euros.
Además, la Comisión Europea también aprobó un importante paquete de apoyo financiero, del cual las comunidades autónomas gestionarán una importante parte. Con más detalle, las cuentas autonómicas recogen 430 millones de euros procedentes de la Ayuda a la recuperación para la cohesión y los territorios de Europa, REACT-EU, un nuevo instrumento que sigue la lógica del Fondo Europeo de Desarrollo Regional (Feder) y del Fondo Social Europeo (FSE) para financiar proyectos de impacto contra los efectos de la crisis.
Por lo que atañe a la financiación procedente del resto de los fondos europeos se acelera su ejecución, acabando toda la programación del Marco 2014-2020 en los presentes presupuestos.
Además, a consecuencia de la extraordinaria situación, la Comisión Europea comunicó la activación de la cláusula general de salvaguarda del Pacto de estabilidad y crecimiento. La cláusula, tal como se contempla en el artículo 5, apartado 1, el artículo 6, apartado 3, el artículo 9, apartado 1, y el artículo 10, apartado 3, del Reglamento (CE) nº 1466/97 y en el artículo 3, apartado 5, y el artículo 5, apartado 2, del Reglamento (CE) nº 1467/97, facilita la coordinación de las políticas presupuestarias en tiempos de grave recesión económica. En su comunicación, la Comisión compartía la opinión del Consejo de que, habida cuenta de la grave recesión económica que se preveía como consecuencia de la pandemia de COVID-19, las condiciones actuales permiten la activación de la cláusula para 2020 y 2021. La activación de la cláusula general de salvaguarda permite una desviación temporal respecto a la trayectoria de ajuste hacia el objetivo presupuestario a medio plazo, siempre que esta no ponga en peligro la sostenibilidad presupuestaria en dicho plazo.
En aplicación de la misma, en el Consejo de Ministros del pasado 6 de octubre se aprobó la suspensión de las reglas fiscales para los años 2020 y 2021, con el objeto de paliar el deterioro que produce esta crisis sanitaria, que se sustituyen por unas tasas de referencia déficit y deuda pública.
El techo del gasto del Estado asciende hasta los 196.097 millones de euros, incluyendo transferencias extraordinarias a las comunidades autónomas y a la Seguridad Social y también fondos europeos por importe de 27.436 millones de euros, de los cuales una buena parte serán gestionados por las comunidades autónomas a través de las correspondientes convocatorias o comisiones sectoriales.
En nuestra comunidad, el 29 de octubre del presente año, se aprobó el Acuerdo por el que se fija el límite máximo de gasto no financiero de la Comunidad Autónoma de Galicia para el año 2021, al que se refiere el artículo 12 de la Ley 2/2011, de 16 de junio, de disciplina presupuestaria y sostenibilidad financiera, modificado por el artículo 92 de la Ley 12/2014, de 22 de diciembre, de medidas fiscales y administrativas. Este acuerdo establece el límite del gasto para el Proyecto de ley de presupuestos generales de la Comunidad Autónoma de Galicia en 11.664 millones de euros. Este límite de gasto supone un incremento respecto al año 2020 de 1.642 millones de euros, resultando un instrumento fundamental para la financiación de las actuaciones de gasto que posibiliten las medidas de control de la pandemia y la reactivación económica.
La Xunta de Galicia no reparará en medios para movilizar todos los recursos disponibles que aporten la suficiente masa crítica financiera para impulsar las políticas de gastos que permitan superar esta crisis. El punto de partida de unas finanzas saneadas y rigurosas y una deuda moderada facilitarán esta aportación extraordinaria de recursos.
La evidencia cuantitativa de esta apuesta es el importante aumento del gasto total previsto en comparación a las cuentas consolidadas de la Comunidad Autónoma en 2020, cuyo volumen total crece 1.575 millones de euros, hasta los 13.397 millones de euros.
Además de realizar una aportación extraordinaria de recursos, la Xunta está emprendiendo diferentes actuaciones de reestructuración, modernización administrativa, digitalización y revisión de procedimientos que hagan posible ejecutar estos recursos con eficacia.
La planificación para una gestión encaminada a resultados de los recursos no cesó durante la pandemia, impulsando un Plan de reactivación y dinamización 2020-2021, reprogramando los fondos europeos del Marco 2014-2020 y preparando los nuevos programas operativos del Marco 2021-2027, así como del REACT-EU. En el próximo año también está prevista la aprobación del nuevo Plan estratégico de Galicia 2021-2030, que está adaptándose al nuevo punto de partida condicionado por la irrupción de la pandemia. Sin embargo, las líneas maestras del actual plan, 2015-2020, que tiene como objetivo el impulso del crecimiento económico de Galicia partiendo de un modelo basado en la innovación y el capital humano, que colabore para conseguir una Galicia moderna y cohesionada social y territorialmente y que permita disminuir el desempleo, aumentar la productividad y la renta de los gallegos y gallegas, colaborando a retomar la senda del crecimiento demográfico, ya apostaban por la innovación, la digitalización, la internacionalización y la transición verde como palancas de cambio, por lo que mantiene su vigencia en tanto no se cierre la estrategia para el periodo 2021-2030.
El Plan estratégico de Galicia 2021-2030 fundamentará la estrategia de crecimiento de Galicia entorno a cuatro ejes de actuación: la dinamización demográfica y el bienestar, la transición ecológica, la competitividad y la cohesión social.
Ya, por último, ha de destacarse que en el próximo año se celebrará el Xacobeo 2021; posiblemente el primer acontecimiento postcovid importante en el ámbito de la cultura y del ocio que debe colaborar a la recuperación de los sectores del turismo, la hostelería y la cultura, especialmente impactados por la crisis, apoyando la recuperación en V de la economía gallega. Se declaró como un acontecimiento de «excepcional interés público» en la Ley 6/2018, de presupuestos generales del Estado para el año 2018, en su disposición adicional octogésima séptima. El Xacobeo constituye un acontecimiento de singular importancia para nuestra comunidad que vuelve a tener lugar once años después, y su desarrollo marcará una forma de organizar grandes eventos culturales en la era postcovid y para promocionar nuestra comunidad como destino turístico seguro y atractivo.
II
En la parte dispositiva, la ley se estructura en seis títulos, dieciséis disposiciones adicionales, tres disposiciones transitorias y tres disposiciones finales.
La parte esencial de la Ley de presupuestos se recoge en el título I, relativo a la aprobación de los presupuestos y al régimen de las modificaciones de crédito, por cuanto en su capítulo I, bajo la rúbrica «Aprobación de los créditos y de su financiación», se aprueban los ingresos y gastos que componen los presupuestos de la Comunidad Autónoma, integrados por los de la Administración general, los de los organismos autónomos, los correspondientes a las entidades públicas instrumentales de asesoramiento y consulta –que, a efectos presupuestarios, tienen la consideración de organismos autónomos–, los de las agencias públicas autonómicas, los de las entidades públicas empresariales, los de los consorcios autonómicos, los de las sociedades mercantiles y los de las fundaciones.
En este capítulo I se define el ámbito de los presupuestos de la Comunidad Autónoma de Galicia habida cuenta de la tipología de las entidades públicas instrumentales del sector público autonómico previstas en la Ley 16/2010, de 17 de diciembre, de organización y funcionamiento de la Administración general y del sector público autonómico de Galicia.
Dentro de este capítulo se desglosan los beneficios fiscales que afectan a los tributos cedidos total o parcialmente por el Estado y se consigna asimismo el importe de las subvenciones reguladoras consideradas en la normativa de tasas, precios y exacciones reguladoras de la Comunidad Autónoma de Galicia. Finalmente, dentro de los artículos específicamente destinados a los presupuestos de las entidades instrumentales, se autorizan las dotaciones iniciales de las subvenciones de explotación y de capital a las entidades públicas empresariales y a las sociedades mercantiles.
El capítulo II de este título, «De las modificaciones presupuestarias», regula los principios y competencias específicas en materia de modificaciones presupuestarias, las reglas de vinculación que afectan a los créditos presupuestarios, la determinación de los que tienen naturaleza de créditos ampliables, entre los cuales se incluyen los créditos que financien la gratuidad en la educación infantil de 0 a 3 años para el segundo hijo o hija y sucesivos, y las limitaciones aplicables a las transferencias de créditos.
El título II, relativo a los «Gastos de personal», se estructura en cuatro capítulos.
El capítulo I, dedicado a los gastos del personal al servicio del sector público, establece la evolución de la masa salarial en función de lo que regule la normativa básica del Estado en la materia, recogiendo las previsiones que figuran en el Proyecto de ley de presupuestos generales del Estado.
Asimismo, contempla que para el año 2021 solo se podrá proceder, en el sector público, a la incorporación de nuevo personal con sujeción a los límites y requisitos establecidos en la normativa básica estatal. En el resto del capítulo se regula la contratación de personal laboral temporal, de personal funcionario interino y de personal vinculado a las encomiendas de gestión.
El capítulo II, con la rúbrica «De los regímenes retributivos», establece que las retribuciones del presidente, vicepresidentes y consejeros y consejeras, así como las de los órganos estatutarios y uno de los órganos de consulta y asesoramiento y determinados puestos de personal directivo, no experimentarán incremento alguno respecto a las vigentes a 31 de diciembre del año 2020.
Las retribuciones de los restantes altos cargos y otro personal directivo, así como las de las personas titulares de las delegaciones de la Xunta de Galicia en el exterior, el personal funcionario, el personal laboral, el personal al servicio de las instituciones sanitarias y el personal de los cuerpos de funcionarios al servicio de la Administración de justicia experimentarán un incremento del 0,9 por ciento con relación a las vigentes a 31 de diciembre del 2020. Tal y como se contempla en la disposición adicional octava, estos incrementos serán de aplicación en el momento en que se habilite por la normativa de la Administración general del Estado.
El capítulo III, dedicado la «Otras disposiciones en materia de régimen de personal activo», contempla que para el año 2021 las relaciones de puestos de trabajo deberán modificarse para adecuarlas a las previsiones presupuestarias que se deduzcan del anexo de personal, no pudiendo proveerse aquellos puestos para los cuales no estuviera prevista dotación, y que en el anexo de personal no podrán existir códigos de líneas presupuestarias que no amparen créditos para dotaciones de puestos de trabajo, sustituciones de personal temporal o para conceptos retributivos.
El resto del capítulo regula los requisitos para la determinación o modificación de las retribuciones del personal laboral y no funcionario, el personal directivo de las entidades instrumentales del sector público de la Comunidad Autónoma, el nombramiento del profesorado interino a tiempo parcial en centros docentes no universitarios, los profesores y profesoras de cuerpos docentes y el personal eventual y de gabinete.
El capítulo IV, dedicado a las «Universidades», fija el límite máximo de los costes de personal de las tres universidades gallegas, las retribuciones adicionales del personal a su servicio y la obligación de comunicación mensual de la provisión de personal laboral temporal para cubrir necesidades docentes urgentes e inaplazables. Asimismo, se establece que las universidades podrán aplicar la tasa de reposición contemplada en la normativa básica estatal, respetando las disponibilidades presupuestarias dotadas en el capítulo I.
El título III, «Operaciones de endeudamiento y garantía», se estructura en dos capítulos, relativos a las operaciones de crédito y al afianzamiento por aval.
En el primero de estos capítulos se establece que para el año 2021 la posición neta deudora de la Comunidad Autónoma podrá incrementarse en la cuantía máxima del 1,1 por ciento del PIB regional. También se regulan en este capítulo las operaciones de deuda de tesorería, la formalización de otras operaciones financieras y el endeudamiento de las entidades instrumentales del sector público. En lo que respecta al endeudamiento de las entidades instrumentales del sector público, la única excepción se refiere al Instituto Gallego de la Vivienda y Suelo (IGVS), recogiendo la posibilidad, para los préstamos directos, de que puedan formalizarse entre las entidades financieras y los adjudicatarios o adjudicatarias que, estando en régimen de alquiler, decidan adquirir las viviendas que fueron cedidas en uso al IGVS y para las ejecuciones de hipotecas de viviendas de promoción pública de la adjudicación o cesión de final de ellas a favor del IGVS.
En el capítulo II, relativo al «Afianzamiento por aval», en cuanto al apoyo financiero a los proyectos empresariales, se mantiene para 2021 la cuantía máxima de los avales que pueden concederse por el Instituto Gallego de Promoción Económica, con un importe de quinientos millones de euros.
En el título IV, «Gestión presupuestaria», se mantienen los preceptos relativos a la intervención limitada, fiscalización de las operaciones de endeudamiento de la Comunidad Autónoma, fiscalización de los nombramientos o de contratos de sustitución del personal, identificación de los proyectos de inversión, autorización del Consejo de la Xunta para la tramitación de determinados expedientes de gasto, regulación de las transferencias de financiación, subvenciones nominativas, concesión directa de ayudas y subvenciones, acreditación del cumplimiento de obligaciones tributarias, pago mensual de ayudas y subvenciones que se conceden a personas físicas para financiar estudios de investigación, informe preceptivo y vinculante de la Consejería de Hacienda y Administración Pública, el cual, sin perjuicio del análisis de riesgo que se realice por el gestor, determina los efectos sobre el cumplimiento del objetivo de estabilidad presupuestaria en los préstamelos concedidos con cargo a los presupuestos generales de la Comunidad Autónoma, y expedientes de dotación artística y módulo económico de distribución de fondos públicos para el sostenimiento de centros concertados. En él se establece la posibilidad de la aceptación por la Administración autonómica de pagos a cuenta para las retribuciones del personal docente del colectivo de empresas de la enseñanza privada, desde el 1 de enero hasta el momento en que firmen las tablas salariales para el año 2021.
El título V, dedicado a las «Corporaciones locales», se estructura en dos capítulos.
El primero, dedicado a la financiación y cooperación con estas entidades, desglosa las transferencias que les corresponden a consecuencia de convenios y subvenciones, así como la participación de los municipios en los tributos de la Comunidad Autónoma a través del Fondo de Cooperación Local. Con relación a este fondo, la ley fija un porcentaje homogeneizado de participación, desglosándose esta en fondo base, para recoger la misma cuantía que se establece en el año 2011, y en fondo adicional, para recoger el incremento debido a la mayor recaudación de los capítulos I, II y III de la Administración general desde aquel año hasta el 2021. Se establece el sistema de distribución entre la Federación Gallega de Municipios y Provincias (Fegamp) y los municipios para el fondo base, de modo que estos recibirán según el coeficiente de reparto que les ha correspondido en el año 2011. No obstante, en el año 2021, las entregas a cuenta del fondo adicional sufren una ligera disminución respecto a lo establecido en el presupuesto del año 2020; este hecho es consecuencia de la caída de los capítulos I, II y III de los ingresos de la Administración general en el presupuesto del año 2021 respecto al inicial del año pasado. El fondo adicional se repartirá en el año 2021 con arreglo al acuerdo de la Subcomisión Permanente del Régimen Económico y Financiero de la Comisión Gallega de Cooperación Local. Entre los criterios aprobados para el reparto es de destacar a los municipios con instituciones penitenciarias en su término municipal, los municipios de menos de cincuenta mil habitantes que tienen que asumir los gastos de funcionamiento de los centros de salud de su titularidad, las plazas en conservatorios municipales de grado medio, los municipios resultantes de un proceso de fusión en cumplimiento de lo señalado en la Ley 5/1997, de 22 de julio, reguladora de la Administración local de Galicia, los municipios que tienen que asumir la financiación de los servicios de emergencia de carácter supramunicipal y los municipios que tienen que asumir la financiación de las redes de fajas secundarias de gestión de la biomasa para la prevención de incendios.
El capítulo II de este título regula el procedimiento de compensación y retención de deudas de los municipios contra los créditos que les corresponden por su participación en el Fondo de Cooperación Local de manera similar al año 2020.
En el título VI, relativo a las «Normas tributarias», se incluye un único precepto para establecer los criterios de afectación del impuesto sobre el daño medioambiental y el canon eólico.
El contenido de la presente Ley de presupuestos se completa con las disposiciones adicionales, transitorias y finales referidas, en las cuales se contemplan preceptos de índole muy variada.
Entre las disposiciones adicionales se regula la información al Parlamento; el presupuesto inicial y los requisitos de creación para las agencias que puedan constituirse en este ejercicio; la autorización de presupuestos en entidades instrumentales de nueva creación; la obligación de ajustar los estados financieros de las entidades instrumentales a las transferencias efectivamente aprobadas en esta ley; las normas para la remisión de información económico-financiera y el control de la misma, con la finalidad de recoger las obligaciones en relación al inventario de las entidades dependientes de la Comunidad Autónoma de Galicia y, por otro lado, para adaptar las normas sobre la competencia de la Intervención General de la Comunidad Autónoma de Galicia a la normativa vigente, en relación con las agencias y consorcios adscritos a la Comunidad Autónoma que deben auditar sus cuentas anuales; los porcentajes de gastos generales de estructura a aplicar en los contratos de obra; la venta de suelo empresarial por parte del Instituto Gallego de la Vivienda y Suelo; las prestaciones extraordinarias para las personas beneficiarias de pensiones y subsidios no contributivos, y en lo relativo a los gastos de personal, la autorización para la modificación de las plantillas del Servicio Gallego de Salud, el personal contratado al amparo del Plan nacional de formación e inserción profesional, las medidas en relación con el V Convenio colectivo único para el personal laboral, las normas de especial aplicación en materia de recursos educativos complementarios de enseñanza pública, y en el supuesto de los centros concertados, si se aprobara alguna variación en las cuantías de los módulos estatales de distribución de fondos públicos para su sostenimiento, se aplicará la misma variación porcentual a los módulos vigentes a 31 de diciembre de 2020 en la Comunidad Autónoma de Galicia.
Se regula además el derecho a percibir una ayuda económica de mil doscientos euros, a razón de cien euros mensuales, a través de la Tarjeta Bienvenida para todas las familias que tengan un hijo o hija o adopten un niño o niña menor de un año en el 2021. Adicionalmente, para aquellas familias con renta igual o inferior a veintidós mil euros la ayuda se ampliará en el segundo año de vida y hasta que el niño o niña cumpla tres años, o hasta que se cumplan tres años del fallo de la correspondiente resolución para los supuestos de adopción o guardia con fines adoptivos. La cuantía de las ayudas para las familias con estas rentas será de seiscientos euros por año, a razón de cincuenta euros por mes, si el hijo o hija que da derecho a la ayuda es el primero; de mil doscientos euros por año, a razón de cien euros por mes, si el hijo o hija que da derecho a la ayuda es el segundo, y de dos mil cuatrocientos euros por año, a razón de doscientos euros por mes, si el hijo o hija que da derecho a la ayuda es el tercero o sucesivos. Para las familias que residan en el rural y para las que tengan el tercer hijo o tercera hija y sucesivos, la ayuda se incrementará en las condiciones que establezca la Consejería de Política Social.
La última de las disposiciones adicionales establece un mecanismo para agilizar la gestión presupuestaria para dar cobertura de manera eficaz a las necesidades nuevas o no previstas que puedan surgir motivadas por el COVID-19.
Las disposiciones transitorias regulan la adecuación de las entidades públicas instrumentales y la dotación gradual del Fondo de Contingencia de Ejecución Presupuestaria que ya se preveían en la Ley de presupuestos del año 2020.
Las tres últimas disposiciones finales regulan el desarrollo, la vigencia y la entrada en vigor de la ley.
Por todo lo expuesto, el Parlamento de Galicia aprobó y yo, de conformidad con el artículo 13.2 del Estatuto de Autonomía de Galicia y con el artículo 24 de la Ley 1/1983, de 22 de febrero, de normas reguladoras de la Xunta y de su Presidencia, promulgo en nombre del rey la Ley de presupuestos generales de Comunidad Autónoma de Galicia para el año 2021.
TÍTULO I
Aprobación de los presupuestos y régimen de las modificaciones de crédito
CAPÍTULO I
Aprobación de los créditos iniciales y de su financiación
Artículo 1. Aprobación y ámbito de los presupuestos generales
El Parlamento de Galicia aprueba los presupuestos generales de la Comunidad Autónoma para el año 2021, en los que se integran:
a) Los presupuestos de la Administración general, en la cual se incorporan los órganos estatutarios y consultivos.
b) Los presupuestos de los organismos autónomos.
c) Los presupuestos de las entidades públicas instrumentales de asesoramiento o consulta, que de acuerdo con la disposición adicional sexta de la Ley 16/2010, de 17 de diciembre, de organización y funcionamiento de la Administración general y del sector público autonómico, tendrán la consideración de organismos autónomos a efectos presupuestarios.
d) Los presupuestos de las agencias públicas autonómicas.
e) Los presupuestos de explotación y capital de las entidades públicas empresariales a las que hace referencia el artículo 89 de la Ley 16/2010, de 17 de diciembre, de organización y funcionamiento de la Administración general y del sector público autonómico.
f) Los presupuestos de explotación y capital de los consorcios autonómicos a los que hace referencia el artículo 95 de la Ley 16/2010, de 17 de diciembre, de organización y funcionamiento de la Administración general y del sector público autonómico.
g) Los presupuestos de explotación y capital de las sociedades mercantiles públicas autonómicas a las que hace referencia el artículo 102 de la Ley 16/2010, de 17 de diciembre, de organización y funcionamiento de la Administración general y del sector público autonómico.
h) Los presupuestos de explotación y capital de las fundaciones del sector público autonómico a las que hace referencia el artículo 113 de la Ley 16/2010, de 17 de diciembre, de organización y funcionamiento de la Administración general y del sector público autonómico.
i) En todo caso, los presupuestos de las demás entidades que estén clasificadas como administración pública de la Comunidad Autónoma de Galicia, conforme a las normas del Sistema europeo de cuentas, excepto las universidades públicas.
Artículo 2. Presupuestos de la Administración general, los organismos autónomos y las agencias públicas autonómicas
Uno. En los estados de gastos consolidados de los presupuestos de la Administración general de la Comunidad Autónoma, sus organismos autónomos y sus agencias públicas autonómicas se consignan créditos por un importe de 13.396.505.623 euros, distribuidos de la siguiente forma:
|
|
Cap. I-VII |
Cap. VIII |
Cap. IX |
Total |
|
Administración general |
5.888.344.835 |
111.433.750 |
1.574.428.206 |
7.574.206.791 |
|
Organismos autónomos |
4.629.744.800 |
1.190.000 |
|
4.630.934.800 |
|
Entidades públicas instrumentales de consulta o asesoramiento |
2.224.618 |
|
|
2.224.618 |
|
Agencias públicas autonómicas |
1.042.639.959 |
131.000.000 |
15.499.455 |
1.189.139.414 |
|
Total |
11.562.954.212 |
243.623.750 |
1.589.927.661 |
13.396.505.623 |
Las transferencias internas entre los presupuestos de la Administración general de la Comunidad Autónoma, los organismos autónomos y las agencias públicas representan 5.583.546.521 euros, distribuidos de acuerdo con el siguiente desglose:
|
Origen |
Destino |
|||
|
Organismos |
Entidades públicas |
Agencias |
Total |
|
|
Administración general |
4.433.907.759 |
2.224.618 |
1.124.681.727 |
5.560.814.104 |
|
Organismos autónomos |
|
|
22.732.417 |
22.732.417 |
|
Total |
4.433.907.759 |
2.224.618 |
1.147.414.144 |
5.583.546.521 |
Dos. La desagregación de los créditos conforme a la finalidad a la que van destinados se establece de la siguiente forma:
|
Funciones |
Importe |
|
11 Alta dirección de la Comunidad Autónoma |
39.948.493 |
|
12 Administración general |
77.471.353 |
|
13 Justicia |
161.278.080 |
|
14 Administración local |
17.259.490 |
|
15 Normalización lingüística |
13.062.113 |
|
16 Procesos electorales y órganos de representación política |
3.387.465 |
|
21 Protección civil y seguridad |
30.344.225 |
|
31 Acción social y promoción social |
946.877.078 |
|
32 Promoción del empleo e instituciones del mercado de trabajo |
371.342.104 |
|
33 Cooperación exterior y al desarrollo |
7.448.433 |
|
41 Sanidad |
4.582.606.799 |
|
42 Educación |
2.632.504.273 |
|
43 Cultura |
91.165.284 |
|
44 Deportes |
32.474.216 |
|
45 Vivienda |
85.000.760 |
|
46 Otros servicios comunitarios y sociales |
112.642.057 |
|
51 Infraestructuras |
335.265.998 |
|
52 Ordenación del territorio |
16.648.826 |
|
53 Promoción de suelo para actividades económicas |
11.053.596 |
|
54 Actuaciones ambientales |
199.108.296 |
|
55 Actuaciones y valorización del medio rural |
171.717.827 |
|
56 Investigación, desarrollo e innovación |
227.512.441 |
|
57 Sociedad de la información y del conocimiento |
155.121.968 |
|
58 Información estadística básica |
4.845.150 |
|
61 Actuaciones económicas generales |
28.716.330 |
|
62 Actividades financieras |
243.662.987 |
|
71 Dinamización económica del medio rural |
356.791.892 |
|
72 Pesca |
126.180.281 |
|
73 Industria, energía y minería |
69.193.462 |
|
74 Desarrollo empresarial |
308.418.043 |
|
75 Comercio |
23.744.605 |
|
76 Turismo |
112.476.981 |
|
81 Transferencias a entidades locales |
129.450.335 |
|
91 Deuda pública |
1.671.784.382 |
|
Total |
13.396.505.623 |
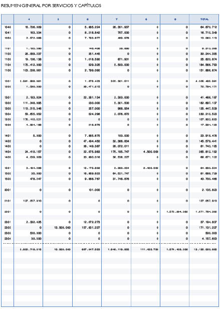
Tres. La distribución orgánica y económica del presupuesto consolidado es como sigue:
|
Capítulos |
I |
II |
III |
IV |
V |
VI |
VII |
VIII |
IX |
Total |
|
Parlamento |
10.431.175 |
6.573.137 |
|
2.419.395 |
|
1.052.603 |
490 |
106.900 |
|
20.583.700 |
|
Consejo de Cuentas |
6.197.637 |
1.082.011 |
|
23.705 |
|
508.039 |
|
36.061 |
|
7.847.453 |
|
Consejo de la Cultura Gallega |
1.727.482 |
912.800 |
|
26.200 |
|
116.500 |
|
|
|
2.782.982 |
|
Presidencia de la Xunta de Galicia |
10.816.561 |
8.580.523 |
|
59.292.901 |
|
12.559.146 |
164.276.235 |
103.228.478 |
526.104 |
359.279.948 |
|
Vicepresidencia 1ª y Consejería de Presidencia, Justicia y Turismo |
141.112.975 |
39.814.575 |
80.930 |
71.631.708 |
|
34.463.733 |
97.553.733 |
40.000 |
|
384.697.654 |
|
Vicepresidencia 2ª y Consejería de Economía, Empresa e Innovación |
15.831.588 |
1.120.901 |
|
31.648.440 |
|
13.534.026 |
422.586.658 |
|
|
484.721.613 |
|
Consejería de Hacienda y Administración Pública |
23.010.150 |
699.408 |
3.000 |
22.492.388 |
|
2.071.929 |
2.029.100 |
1.122.311 |
|
51.428.286 |
|
Consejería de Medio Ambiente, Territorio y Vivienda |
31.628.122 |
6.211.381 |
|
27.526.582 |
|
25.371.193 |
112.360.771 |
|
|
203.098.049 |
|
Consejería de Infraestructuras y Movilidad |
10.047.470 |
70.043.750 |
|
25.594.076 |
|
45.672.808 |
309.250.286 |
|
|
460.608.390 |
|
Consejería de Cultura, Educación y Universidad |
1.558.353.768 |
180.847.504 |
34.177 |
697.241.271 |
|
136.872.735 |
122.969.388 |
|
1.617.720 |
2.697.936.563 |
|
Consejería de Empleo e Igualdad |
46.486.099 |
18.288.765 |
|
325.101.616 |
|
4.744.858 |
6.210.781 |
|
|
400.832.119 |
|
Consejería de Sanidad |
50.529.499 |
11.743.323 |
|
3.963.479.161 |
|
30.146.638 |
322.381.511 |
|
|
4.378.280.132 |
|
Consejería de Política Social |
155.314.633 |
241.818.409 |
|
463.808.626 |
|
23.609.108 |
10.667.326 |
|
|
895.218.102 |
|
Consejería do Medio Rural |
146.647.922 |
6.566.008 |
|
28.454.166 |
|
125.285.511 |
272.270.819 |
4.500.000 |
|
583.724.426 |
|
Consejería del Mar |
32.874.988 |
3.150.083 |
|
3.997.545 |
|
42.034.226 |
105.562.857 |
2.400.000 |
|
190.019.699 |
|
Consejo Consultivo de Galicia |
1.739.896 |
294.927 |
|
|
|
101.000 |
|
|
|
2.135.823 |
|
Transferencias a corporaciones locales |
|
|
|
127.057.910 |
|
|
|
|
|
127.057.910 |
|
Deuda pública de la Comunidad Autonóma |
|
|
99.500.000 |
|
|
|
|
|
1.572.284.382 |
1.671.784.382 |
|
Gastos de diversas consejerías |
3.910.000 |
22.920.239 |
27.000 |
2.922.925 |
13.500.000 |
169.703.500 |
|
|
|
212.983.664 |
|
Administración general |
2.246.659.965 |
620.667.744 |
99.645.107 |
5.852.718.615 |
13.500.000 |
667.847.553 |
1.948.119.955 |
111.433.750 |
1.574.428.206 |
13.135.020.895 |
|
Academia Gallega de Seguridad Pública |
845.244 |
2.138.376 |
178.038 |
3.161.658 |
||||||
|
Instituto Gallego del Consumo y de la Competencia |
5.173.195 |
753.545 |
164.867 |
663.657 |
24.000 |
6.779.264 |
||||
|
Escuela Gallega de Administración Pública |
1.225.686 |
1.591.503 |
595.461 |
635.000 |
4.047.650 |
|||||
|
Instituto Gallego de Estadística |
3.081.422 |
328.924 |
1.170.600 |
4.580.946 |
||||||
|
Instituto de Estudios del Territorio |
2.224.192 |
87.509 |
37.975 |
959.820 |
346.500 |
3.655.996 |
||||
|
Instituto Gallego de la Vivienda y Suelo |
9.832.547 |
4.605.458 |
11.177.360 |
32.860.086 |
37.038.905 |
540.000 |
96.054.356 |
|||
|
Instituto Gallego de Seguridad y Salud Laboral |
5.425.992 |
654.842 |
471.901 |
6.552.735 |
||||||
|
Servicio Gallego de Salud |
1.906.620.023 |
1.352.360.070 |
870.805.524 |
31.917.175 |
317.471.502 |
5.670.450 |
650.000 |
4.485.494.744 |
||
|
Fondo Gallego de Garantía Agraria |
4.687.055 |
459.300 |
1.967.996 |
36.225.517 |
43.339.868 |
|||||
|
Organismos autónomos |
1.939.115.356 |
1.362.979.527 |
882.781.187 |
31.917.175 |
356.378.600 |
79.305.372 |
1.190.000 |
4.653.667.217 |
||
|
Consejo Económico y Social de Galicia |
660.497 |
185.415 |
153.246 |
1.000 |
1.000.158 |
|||||
|
Consejo Gallego de Relaciones Laborales |
706.700 |
436.880 |
42.000 |
38.880 |
1.224.460 |
|||||
|
Entidades públicas instrumentales de consulta o asesoramiento |
1.367.197 |
622.295 |
195.246 |
39.880 |
2.224.618 |
|||||
|
Agencia para la Modernización Tecnológica de Galicia |
18.431.932 |
14.248.699 |
873.000 |
148.611.949 |
4.070.886 |
7.835.920 |
194.072.386 |
|||
|
Agencia Turismo de Galicia |
11.344.005 |
7.066.681 |
12.033.575 |
52.369.062 |
29.663.658 |
112.476.981 |
||||
|
Agencia Gallega de Emergencias |
501.826 |
152.633 |
61.796 |
7.481.120 |
8.197.375 |
|||||
|
Agencia Gallega de Innovación |
5.119.554 |
465.692 |
120.039 |
5.866.625 |
21.537.870 |
87.154.476 |
1.950.000 |
4.493.089 |
126.707.345 |
|
|
Agencia Gallega de la Industria Forestal |
1.043.305 |
374.059 |
673.179 |
1.986.081 |
19.433.804 |
23.510.428 |
||||
|
Instituto Gallego de Promoción Económica |
6.491.520 |
2.092.550 |
40.000 |
3.739.023 |
15.084.523 |
102.609.999 |
129.050.000 |
3.160.000 |
262.267.615 |
|
|
Instituto Energético de Galicia |
1.650.053 |
345.903 |
64.385 |
916.000 |
35.698.469 |
38.674.810 |
||||
|
Agencia Tributaria de Galicia |
13.270.609 |
2.247.725 |
210.000 |
15.728.334 |
||||||
|
Agencia Gallega de Infraestructuras |
13.272.073 |
1.030.575 |
100.000 |
1.493.160 |
225.902.220 |
12.940.242 |
254.738.270 |
|||
|
Agencia Gallega de las Industrias Culturales |
2.742.444 |
633.750 |
1.165.053 |
11.600.000 |
5.800.000 |
21.941.247 |
||||
|
Agencia Gallega para la Gestión del Conocimiento en Salud |
1.939.281 |
945.951 |
8.000 |
614.755 |
3.507.987 |
|||||
|
Agencia Gallega de Sangre, Órganos y Tejidos |
11.528.849 |
15.393.903 |
480.000 |
27.402.752 |
||||||
|
Agencia Gallega de Servicios Sociales |
12.050.767 |
2.396.500 |
200.000 |
14.647.267 |
||||||
|
Agencia Gallega de Desarrollo Rural |
3.399.283 |
701.726 |
5.643.000 |
30.850.727 |
40.594.736 |
|||||
|
Instituto Gallego de Calidad Alimentaria |
13.653.858 |
2.618.586 |
224 |
1.068.917 |
16.832.305 |
6.628.510 |
10.446 |
40.812.846 |
||
|
Instituto Tecnológico para el Control del Medio Marino de Galicia |
2.320.115 |
642.934 |
930.786 |
3.893.835 |
||||||
|
Agencias públicas autonómicas |
118.759.474 |
51.357.867 |
260.263 |
27.046.713 |
510.399.671 |
334.850.771 |
131.000.000 |
15.499.455 |
1.189.174.214 |
|
|
Total del presupuesto bruto |
4.305.901.992 |
2.035.627.433 |
99.905.370 |
6.762.741.761 |
45.417.175 |
1.534.665.704 |
2.362.276.098 |
243.623.750 |
1.589.927.661 |
18.980.086.944 |
|
Total das transferencias internas |
22.732.417 |
4.166.908.867 |
1.393.940.037 |
5.583.581.321 |
||||||
|
Total del presupuesto consolidado |
4.305.901.992 |
2.012.895.016 |
99.905.370 |
2.595.832.894 |
45.417.175 |
1.534.665.704 |
968.336.061 |
243.623.750 |
1.589.927.661 |
13.396.505.623 |
Cuatro. En los estados de ingresos de los presupuestos de la Administración general de la Comunidad Autónoma, en los de sus organismos autónomos y en los de las agencias públicas autonómicas se establecen las estimaciones de los derechos económicos que se prevén liquidar durante el ejercicio, por un importe consolidado de 13.396.505.623 euros, distribuidos de la siguiente forma:
|
|
Cap. I-VII |
Cap. VIII |
Cap. IX |
Total |
|
Administración general y órganos estatutarios |
10.772.286.734 |
2.212.758 |
2.360.521.403 |
13.135.020.895 |
|
Organismos autónomos |
219.069.458 |
690.000 |
|
219.759.458 |
|
Agencias públicas autonómicas |
19.517.754 |
22.207.516 |
|
41.725.270 |
|
Total |
11.010.873.946 |
25.110.274 |
2.360.521.403 |
13.396.505.623 |
Cinco. Los beneficios fiscales que afectan a los tributos cedidos total o parcialmente por el Estado a la Comunidad Autónoma se estiman en 1.985.453.000 euros, de los cuales 1.737.059.000 euros corresponden a la normativa estatal y 248.394.000 euros a la normativa autonómica, conforme al desglose siguiente:
– impuesto sobre sucesiones y donaciones: 158.970.000 euros
– impuesto sobre la renta de las personas físicas (tarifa autonómica): 27.738.000 euros
– impuesto sobre transmisiones patrimoniales y actos jurídicos documentados: 177.550.000 euros
– impuesto sobre el patrimonio: 183.087.000 euros
– impuesto sobre el juego: 3.665.000 euros
– impuesto sobre el valor añadido: 1.226.925.000 euros
– impuesto sobre hidrocarburos: 73.628.000 euros
– impuesto sobre alcohol y bebidas derivadas: 133.890.000 euros.
Los beneficios fiscales de las tasas establecidas en virtud de lo dispuesto en la Ley 6/2003, de 9 de diciembre, de tasas, precios y exacciones reguladoras de la Comunidad Autónoma de Galicia se estiman en 3.465.165 euros y, en cumplimiento de lo establecido en el artículo 55.2 de dicha ley, el importe de las subvenciones reguladoras se fija en 219.866.569 euros.
Artículo 3. Presupuesto de las entidades instrumentales del sector público autonómico con presupuesto estimativo
Uno. Entidades públicas empresariales
Se aprueban los presupuestos de explotación y capital de las entidades públicas empresariales a las que se refiere el apartado e) del artículo 1 de la presente ley, que incluyen la estimación de gastos y la previsión de ingresos referidas a sus estados financieros, por los importes y con la distribución que se relacionan en el anexo I.
Dos. Consorcios autonómicos
Se aprueban los presupuestos de explotación y capital de los consorcios a los que se refiere el apartado f) del artículo 1 de la presente ley, que incluyen la estimación de gastos y la previsión de ingresos referidas a sus estados financieros, por los importes y con la distribución que se relacionan en el anexo I.
Tres. Sociedades mercantiles públicas autonómicas
Se aprueban los presupuestos de explotación y capital de las sociedades mercantiles públicas autonómicas a las que se refiere el apartado g) del artículo 1 de la presente ley, que incluyen la estimación de gastos y la previsión de ingresos referidas a sus estados financieros, por los importes y con la distribución que se relacionan en el anexo I.
Cuatro. Fundaciones del sector público autonómico
Se aprueban los presupuestos de explotación y capital de las fundaciones del sector público autonómico a las que se refiere el apartado h) del artículo 1 de la presente ley, que incluyen la estimación de gastos y la previsión de ingresos referidas a sus estados financieros, por los importes y con la distribución que se relacionan en el anexo I.
Cinco. Aprobación de subvenciones de explotación y capital de las entidades públicas empresariales y de las sociedades mercantiles públicas autonómicas
Se autorizan las dotaciones de subvenciones de explotación y capital de las entidades públicas empresariales a las que se refiere el apartado e) del artículo 1 de la presente ley y de las sociedades mercantiles públicas autonómicas a las que se refiere el apartado g) del artículo 1 de la misma, por los importes y con la distribución que se relacionan en el anexo II. En caso de que hayan de superarse tales cuantías máximas, la consejería competente en materia de hacienda dará cuenta al Parlamento de Galicia de las razones que justifican tal aumento.
Seis. La Xunta de Galicia dará cuenta, trimestralmente, al Parlamento de Galicia de la relación, porcentaje y clase de participación que mantenga en cualquier sociedad mercantil no perteneciente al sector público autonómico.
CAPÍTULO II
De las modificaciones presupuestarias
Artículo 4. Régimen general de las modificaciones presupuestarias
Uno. Las modificaciones de los créditos presupuestarios serán autorizadas conforme a los requisitos establecidos en el Texto refundido de la Ley de régimen financiero y presupuestario de Galicia, aprobado por Decreto legislativo 1/1999, de 7 de octubre, con las excepciones derivadas de la aplicación de lo indicado en este capítulo.
Dos. Las propuestas de modificación habrán de indicar, con el mayor nivel de desagregación orgánica, funcional y económica, las aplicaciones presupuestarias afectadas, y recogerán adecuadamente los motivos que las justifican, tanto los relativos a la realización del nuevo gasto propuesto como, en su caso, a la suspensión de la actuación inicialmente prevista.
A la comunicación a que se refiere la disposición adicional segunda del Decreto legislativo 1/1999, de 7 de octubre, se le adjuntará una explicación sobre los motivos que la justifican en relación con el nuevo gasto propuesto y su repercusión, si procede, sobre los objetivos del programa afectado con respecto a los inicialmente previstos.
Artículo 5. Competencias específicas en materia de modificaciones presupuestarias
Sin menoscabo de las facultades que se le asignan en el Texto refundido de la Ley de régimen financiero y presupuestario de Galicia, aprobado por Decreto legislativo 1/1999, de 7 de octubre, se atribuyen a la persona titular de la Consejería de Hacienda y Administración Pública competencias específicas para llevar a cabo las siguientes modificaciones presupuestarias:
a) Para incorporar los créditos de ejercicios anteriores que correspondan a actuaciones financiadas o cofinanciadas por la Unión Europea, de acuerdo con lo previsto en los reglamentos del periodo de programación 2014-2020 que resultasen aplicables, así como para las reasignaciones de estos créditos a las que se refiere el apartado dos del artículo 9.
b) Para incorporar el crédito que no hubiera alcanzado la fase de reconocimiento de la obligación en cada ejercicio del fondo de reserva constituido conforme a lo establecido en el artículo 4 de la Ley 12/1995, de 29 de diciembre, por la que se aprueba el impuesto sobre la contaminación atmosférica.
c) Para incorporar el crédito que no hubiera alcanzado la fase de reconocimiento de la obligación de los créditos generados, con destino a la financiación de gastos derivados de la realización de pruebas de selección de personal, a consecuencia de los mayores ingresos recaudados sobre los inicialmente previstos en el artículo 30, «Tasas administrativas».
d) Para incorporar el crédito de ejercicios anteriores que no hubiera alcanzado la fase de reconocimiento de la obligación en el capítulo VIII de los presupuestos de gastos de la Administración general o, en su caso, en el de los organismos autónomos y agencias, en el supuesto previsto en el artículo 43 de la Ley 11/1996, de 30 de diciembre, de presupuestos generales de la Comunidad Autónoma de Galicia para 1997, sobre el tratamiento de los créditos para las provisiones de riesgos no ejecutados.
e) Para generar crédito por el importe que correspondiera a la mayor recaudación de tasas y precios públicos y privados respecto a las previsiones que inicialmente se establecen para las distintas secciones presupuestarias en el anexo III de la presente ley, siempre que quedara garantizado el necesario equilibrio económico-financiero, conforme a lo previsto en el artículo 9.
f) Para generar crédito por el importe que correspondiera por los mayores ingresos por la prestación del servicio de recaudación ejecutiva a otros entes, del subconcepto 399.04, del presupuesto de ingresos.
g) Para generar crédito, en la sección presupuestaria correspondiente, por la cuantía igual al importe de las compensaciones económicas a favor de la Comunidad Autónoma derivadas de pólizas suscritas con compañías de seguros.
h) Para generar crédito en la sección 14, Consejería del Medio Rural, por el importe que correspondiera al producto de la venta del patrimonio de las extintas cámaras agrarias locales y provinciales, con destino a los fines previstos en la disposición adicional séptima de la Ley 11/1995, de 28 de diciembre, de presupuestos generales de la Comunidad Autónoma de Galicia para 1996, y en la disposición adicional cuarta de la Ley 1/2006, de 5 de junio, del Consejo Agrario Gallego. A tal fin, a petición de la consejería interesada, la Consejería de Hacienda y Administración Pública tramitará el oportuno expediente de desafectación, con arreglo a lo dispuesto en el artículo 10 de la Ley 5/2011, de 30 de septiembre, del patrimonio de la Comunidad Autónoma de Galicia, y en los artículos 24 y siguientes de su reglamento de ejecución.
i) Para generar créditos a consecuencia de los mayores ingresos recaudados sobre los inicialmente previstos en cada una de las siguientes aplicaciones del presupuesto de ingresos del Servicio Gallego de Salud:
– 30, «Tasas administrativas»
– 37, «Ingresos por ensayos clínicos»
– 36, «Prestaciones de servicios sanitarios», y 39, «Otros ingresos», computados conjuntamente
– 353, «De sociedades públicas y otros entes públicos de la Comunidad Autónoma»
– 354, «De fundaciones públicas autonómicas».
j) Para generar crédito en el programa 621B, «Imprevistos y funciones no clasificadas», por un importe igual a la diferencia que pudiera existir entre las entregas a cuenta que, con carácter definitivo, se establecerán para el ejercicio 2021, la liquidación de ejercicios anteriores correspondiente a los distintos recursos del sistema de financiación de las comunidades autónomas del régimen común, las transferencias del Estado provenientes del Fondo de Compensación Interterritorial y las cantidades consignadas en el estado de ingresos por estos conceptos.
k) Para generar crédito en los capítulos VIII y IX de gastos con los ingresos del capítulo IX procedentes de las operaciones a las que se refiere el párrafo tercero del apartado uno y el apartado dos del artículo 37 de esta ley.
l) Para generar crédito en las entidades públicas instrumentales por los ingresos que se produzcan en las mismas cuando resulten beneficiarias de las órdenes de convocatorias de ayudas realizadas por cualquier administración que no estuviesen presupuestadas inicialmente.
m) Para generar crédito, por solicitud motivada de los organismos intermedios de la autoridad de gestión o, en su caso, de las autoridades de gestión de los programas operativos, al objeto de garantizar la completa ejecución del Marco financiero de fondos comunitarios 2014-2020 y de los fondos del mecanismo extraordinario del instrumento Next Generation EU (Próxima Generación UE).
Asimismo, una vez aprobados los programas operativos correspondientes a los fondos europeos del Marco financiero 2021-2027, podrá generar crédito financiado con ellos.
n) Para generar crédito en el programa 312D, «Atención a la dependencia», a partir del momento en el cual se publique la norma jurídica que establezca una subida de las cuantías del nivel mínimo de protección garantizado por la Administración general del Estado para cada persona beneficiaria del Sistema para la autonomía y atención a la dependencia.
A esta generación de crédito no le resultarán de aplicación las limitaciones establecidas en el artículo 69.2 del Texto refundido de la Ley de régimen financiero y presupuestario de Galicia, aprobado por Decreto legislativo 1/1999, de 7 de octubre.
ñ) Para introducir en los estados de gastos las modificaciones precisas para adecuar los créditos afectados por transferencias finalistas de cualquier procedencia, incluyendo entre esas medidas la declaración de indisponibilidad del crédito y su baja en contabilidad.
En el supuesto de que las obligaciones reconocidas hasta ese momento sobrepasasen el importe real de la transferencia, su financiación se realizará mediante las oportunas aminoraciones en otros créditos, preferentemente de operaciones corrientes, de la sección de que se trate.
o) Para introducir las variaciones que fueran necesarias en los programas de gasto de las entidades públicas instrumentales para reflejar las repercusiones que en los mismos tengan las modificaciones de los créditos que figuran en el estado de transferencias internas de los presupuestos generales de la Comunidad Autónoma.
p) Para realizar las adaptaciones técnicas y las transferencias de crédito que procediesen a consecuencia de reorganizaciones administrativas, de la puesta en marcha de organismos autónomos y agencias públicas autonómicas, o del traspaso de competencias en las que estén implicadas otras administraciones, sin que en ningún caso, en lo que atañe a los dos primeros supuestos, pueda originarse incremento de gasto.
q) Autorizar transferencias de crédito entre programas incluidos en distinto grupo de función, correspondientes a servicios de una misma consejería, cuando tuvieran por objeto cofinanciar incorporaciones de remanentes de crédito de ejercicios anteriores correspondientes a la financiación condicionada.
r) Autorizar transferencias de crédito entre programas incluidos en distinto grupo de función, correspondientes a servicios de una misma o distinta consejería, cuando tuvieran por objeto redistribuir remanentes de crédito del capítulo I.
s) Autorizar transferencias de crédito entre los diferentes programas vinculados al Plan de financiación del Sistema universitario de Galicia.
t) Autorizar transferencias de crédito derivadas de convenios o acuerdos de colaboración para el desempeño conjunto de tareas comunes, entre las distintas secciones presupuestarias.
u) Autorizar transferencias de crédito desde la sección 23 a los distintos programas de gasto.
v) Autorizar las transferencias de crédito de los remanentes de crédito de fondos propios existentes al cierre del programa 621B.
Artículo 6. Vinculación de créditos
Uno. Los créditos consignados en los estados de gastos de estos presupuestos quedarán vinculados al nivel establecido en el artículo 56 del Texto refundido de la Ley de régimen financiero y presupuestario de Galicia, aprobado por Decreto legislativo 1/1999, de 7 de octubre, con excepción de los créditos que se relacionan a continuación, los cuales serán vinculantes con el grado de vinculación que se indica:
– 120.20, «Sustituciones de personal no docente»
– 120.21, «Sustituciones de personal docente»
– 120.24, «Acumulaciones de tareas de personal funcionario no docente»
– 120.26, «Sustituciones de personal de los cuerpos al servicio de la Administración de justicia»
– 121.07, «Sexenios»
– 130.02, «Complemento de peligrosidad, penosidad y toxicidad»
– 130.10, «Segunda actividad de los bomberos y de las bomberas forestales»
– 131, «Personal laboral temporal»
– 131.24, «Acumulaciones de tareas de personal laboral temporal»
– 132, «Personal laboral temporal (profesorado de Religión)»
– 133, «Personal laboral temporal indefinido»
– 136, «Personal investigador en formación»
– 226.01, «Atenciones protocolarias y representativas»
– 226.02, «Publicidad y propaganda»
– 226.06, «Reuniones, conferencias y cursos»
– 226.13, «Gastos de funcionamiento de los tribunales de oposiciones y de pruebas selectivas»
– 227.06, «Estudios y trabajos técnicos»
– 228, «Gastos de funcionamiento de los centros y servicios sociales»
– 229, «Gastos de funcionamiento de los centros docentes no universitarios».
La misma consideración tendrán los créditos correspondientes a la aplicación 13.04.312E.227.65, «Servicio Gallego de Apoyo a la Movilidad Personal», así como los créditos correspondientes a la aplicación 09.A1.512B.600.3, «Expropiaciones en materia de carreteras».
El concepto 160, «Cuotas sociales», vinculará a nivel de sección, excepto a las entidades con personalidad jurídica propia, las cuales vincularán a nivel de servicio.
Los conceptos 480, «Transferencias corrientes a familias», y 481, «Transferencias corrientes a instituciones sin fin de lucro», por una parte, y los conceptos 780, «Transferencias de capital a familias», y 781, «Transferencias de capital a instituciones sin fin de lucro», por otra parte, serán vinculantes entre sí. La misma consideración tendrán los créditos de los subconceptos 221.07, «Comedores escolares», y 223.08, «Transporte escolar», de la sección 10, los cuales vincularán entre ellos.
Asimismo, tendrán carácter vinculante, con el nivel de desglose económico con el que aparezcan en los estados de gastos, las transferencias de financiación de las entidades instrumentales del sector público autonómico, salvo para las agencias públicas autonómicas, en las cuales se estará al nivel de vinculación existente en las mismas.
Igualmente, serán vinculantes entre sí los créditos correspondientes a las aplicaciones presupuestarias 09.02.512A.223.06, «Servicio regular integrado», y 09.02.423A.223.08, «Transporte escolar», de la Dirección General de Movilidad.
Dos. Las transferencias a las que se refiere el artículo 67 del Texto refundido de la Ley de régimen financiero y presupuestario de Galicia, aprobado por Decreto legislativo 1/1999, de 7 de octubre, cuando afecten a los créditos anteriores, deberán ser autorizadas por la persona titular de la Consejería de Hacienda y Administración Pública.
Tres. Excepto lo previsto en el artículo 7.uno.r), en el Servicio Gallego de Salud serán vinculantes entre sí los créditos destinados a gastos de funcionamiento autorizados en el mismo concepto, en la misma estructura organizativa de gestión integrada y en distinto programa.
También serán vinculantes entre sí los créditos destinados a gastos de funcionamiento autorizados en el mismo concepto y programa y en distinta estructura organizativa de gestión integrada.
Las redistribuciones de estos créditos serán autorizadas por la persona titular del Servicio Gallego de Salud.
Cuatro. No obstante lo dispuesto en el artículo 83.3 de la Ley 16/2010, de 17 de diciembre, de organización y funcionamiento de la Administración general y del sector público autonómico de Galicia, los créditos autorizados en los estados de gasto comprenderán, dentro del nivel de vinculación existente, todos los programas que gestiona cada agencia pública.
Artículo 7. Créditos ampliables
Uno. Con independencia de los supuestos previstos en el apartado 1 del artículo 64 del Texto refundido de la Ley de régimen financiero y presupuestario de Galicia, aprobado por Decreto legislativo 1/1999, de 7 de octubre, tendrán excepcionalmente la condición de ampliables los créditos siguientes:
a) Los incluidos en las aplicaciones 07.A2.621A.227.07 y 07.A2.621A.227.08, destinados al cumplimiento de los convenios para la gestión y liquidación, y los premios de cobranza autorizados por la recaudación en vía ejecutiva, así como en las transferencias de la sección 07 que las financian.
b) Las obligaciones contraídas en el exterior y que hayan de ser pagadas en divisas de cambio variable, por la diferencia existente entre el tipo de cambio previsto y su importe real en el momento del pago.
c) Los destinados al pago de las obligaciones derivadas de quiebras de operaciones de crédito avaladas por la Comunidad Autónoma. Cuando se trate de un organismo autónomo o de una sociedad pública, la ampliación se materializará a través de la sección presupuestaria a la que figuren adscritos.
d) Los créditos destinados al pago de los premios de cobranza y las participaciones en función de la recaudación de ventas y restantes créditos de viviendas, solares, locales y edificaciones complementarias correspondientes al Instituto Gallego de la Vivienda y Suelo, así como los referidos a los trabajos de facturación y apoyo a la gestión del patrimonio inmobiliario de dicho instituto, que se establezcan de acuerdo con las cifras recaudadas en el periodo voluntario.
e) Los créditos de transferencias a favor de la Comunidad Autónoma que figuren en los presupuestos de gastos de los organismos autónomos y agencias públicas autonómicas hasta el importe de los remanentes de tesorería que resulten como consecuencia de su gestión.
f) Los incluidos en la aplicación 21.01.811B.460.2, con destino al pago de la liquidación de ejercicios anteriores, que corresponde al Fondo de Cooperación Local.
g) Los créditos vinculantes incluidos en los subconceptos 120.20, «Substituciones de personal no docente», y 120.21, «Sustituciones de personal docente», que se considerarán ampliables únicamente con retenciones en otros créditos del capítulo I de la propia sección presupuestaria u organismo autónomo.
h) Los créditos incluidos en la aplicación 11.02.313D.480.0, destinados al pago de ayudas directas a mujeres víctimas de violencia de género, y los incluidos en la aplicación 11.02.313D.480.1, con destino al pago de las indemnizaciones previstas en el artículo 43 de la Ley 11/2007, de 27 de julio, gallega para la prevención y el tratamiento integral de la violencia de género.
i) Los incluidos en la aplicación 23.03.621A.890.00, destinados al Fondo de Garantía de Avales.
Esta ampliación se financiará con baja en las dotaciones de la aplicación 06.01.741A.732.05 y de las correspondientes al Instituto Gallego de Promoción Económica.
j) Los créditos de la sección 10, «Consejería de Cultura, Educación y Universidad», a la que se refiere el artículo 54 de la presente ley.
k) Los créditos destinados al pago del complemento autonómico a las pensiones no contributivas, de modo que permitan dar cobertura a todas las personas beneficiarias de las mismas que cumplan los requisitos exigidos por la administración.
l) Los créditos destinados al pago de la renta de inclusión social de Galicia (Risga).
m) Los créditos destinados al pago de las becas a estudiantes universitarios y en formación.
n) Las transferencias de financiación de los organismos autónomos y de las agencias públicas autonómicas en la medida en que se autoricen ampliaciones de créditos financiados por ellos.
ñ) Los gastos de recetas médicas.
o) Las dotaciones de la aplicación 04.A1.571A para el cumplimiento del Acuerdo por el que se establece el modelo de sostenibilidad de la digitalización de los servicios públicos.
p) Los créditos destinados a la atención de las obligaciones derivadas de expedientes de expropiaciones. Esta ampliación se financiará con bajas en los programas de otras secciones o de la misma sección.
q) Los créditos incluidos en la aplicación 04.30.312C.480.2, destinados al pago de las ayudas extraordinarias a personas emigrantes gallegas retornadas.
r) Los créditos de los subconceptos presupuestarios 221.06, 221.15, 221.16 y 221.19 del programa 412A, los cuales serán vinculantes a nivel de su estructura organizativa de gestión integrada.
s) Los créditos incluidos en la aplicación 13.02.312B.470.2 que financien la gratuidad en la educación infantil de 0 a 3 años para el segundo hijo o hija y los sucesivos.
Dos. A efectos de lo previsto en el artículo 64.1.g) del Texto refundido de la Ley de régimen financiero y presupuestario de Galicia, aprobado por Decreto legislativo 1/1999, de 7 de octubre, tendrán la consideración de secciones presupuestarias las secretarías generales de la Presidencia.
Tres. La financiación de las ampliaciones de crédito, además de por medios de los mecanismos previstos en el artículo 64.2 del Texto refundido de la Ley de régimen financiero y presupuestario de Galicia, aprobado por Decreto legislativo 1/1999, de 7 de octubre, podrá también realizarse con bajas de crédito en otros conceptos presupuestarios.
Artículo 8. Transferencias de crédito
Uno. Con independencia de las limitaciones a las que se refiere el artículo 68.1 del Texto refundido de la Ley de régimen financiero y presupuestario de Galicia, aprobado por Decreto legislativo 1/1999, de 7 de octubre, y sin perjuicio de lo previsto en el apartado 3 del citado artículo, no podrán tramitarse expedientes de transferencias de crédito que afecten a los capítulos VI y VII cuando de los mismos se derive incremento del gasto corriente.
Esa restricción no será de aplicación:
a) Cuando se destinasen a la atención de gastos extraordinarios derivados de catástrofes, siniestros u otras situaciones de naturaleza análoga y carácter excepcional, una vez realizada la declaración por el Consejo de la Xunta de Galicia de la situación excepcional, catastrófica o de análoga naturaleza.
b) A los incrementos del capítulo I que, en su caso, pudieran originarse por el desarrollo de procesos de regularización derivados de acuerdos sobre materias de función pública suscritos entre la Xunta de Galicia y las organizaciones sindicales.
c) A los incrementos del capítulo I derivados del cumplimiento de sentencias judiciales firmes o autos de obligada ejecución.
d) A los incrementos del capítulo I derivados de lo previsto en el apartado cuatro del artículo 13 de la presente ley.
e) A los incrementos del capítulo I derivados de lo previsto en el apartado siete del artículo 15 de la presente ley.
f) Excepcionalmente, cuando las características de las actuaciones que hayan de ejecutarse para el cumplimiento de la finalidad del programa presupuestario previsto exigiesen la adecuación de la naturaleza económica del gasto.
g) Cuando tuvieran por objeto atender las obligaciones a las que se refiere el artículo 60.2 del Texto refundido de la Ley de régimen financiero y presupuestario de Galicia, aprobado por Decreto legislativo 1/1999, de 7 de octubre, siempre que se justificase la imposibilidad de tramitarlas con cargo al gasto corriente.
h) Las transferencias para atender intereses de mora cuando se justificase la imposibilidad de tramitarlas con cargo al gasto corriente.
Dos. En lo referente a la función 42 de la sección 10, «Consejería de Cultura, Educación y Universidad», función 41 de la sección 12, «Consejería de Sanidad», y función 31 de la sección 13, «Consejería de Política Social», la limitación indicada en el apartado anterior únicamente será de aplicación una vez superado el cinco por ciento de las dotaciones iniciales de los capítulos VI y VII en términos consolidados.
En caso de que las transferencias realizadas bajo este supuesto incrementasen créditos del capítulo I destinados a la firma de contratos de duración determinada previstos en el Real decreto 2720/1998, de 18 de diciembre, por el que se desarrolla el artículo 15 del Estatuto de los trabajadores, cuando la modalidad de contratación sea de realización de obra o servicio contemplada en el apartado a) del artículo 1 de la citada disposición, será necesaria la existencia de informe previo y favorable de la Dirección General de la Función Pública sobre la adecuación de la modalidad de contratación que se pretende.
Tres. Sin perjuicio de lo dispuesto en el resto de los apartados de este artículo, las transferencias de crédito se ajustarán a las siguientes reglas:
a) Solo podrán incrementarse los créditos de las aplicaciones presupuestarias de los subconceptos 131.24, «Acumulaciones de tareas de personal laboral temporal», y 120.24, «Acumulaciones de tareas de personal funcionario no docente», mediante transferencias de crédito con un límite máximo de ochenta mil euros, en cada una de las consejerías, organismos autónomos o agencias públicas autonómicas, consideradas de forma independiente. La superación de este límite deberá ser autorizada por el Consejo de la Xunta de Galicia a propuesta del departamento solicitante y con informe previo de la Intervención General y de la Dirección General de Planificación y Presupuestos.
b) No se incrementarán los créditos autorizados inicialmente en las aplicaciones presupuestarias de los subconceptos 226.02, «Publicidad y propaganda», 227.06, «Estudios y trabajos técnicos», 226.01, «Atenciones protocolarias», y 226.06, «Reuniones, conferencias y cursos».
La limitación de no incrementar el subconcepto 226.02 no afectará a la Vicepresidencia primera y Consejería de Presidencia, Justicia y Turismo ni al Servicio Gallego de Salud cuando la transferencia tuviera su causa en medidas de seguridad en materia de protección civil derivadas de riesgos no previstos o medidas sanitarias para la salud pública.
c) No podrán aminorarse los créditos consignados en el programa 312D, «Servicios sociales de atención a las personas dependientes», excepto cuando financien créditos que tengan la condición de ampliables conforme a lo previsto en el apartado l) del artículo 7 de la presente ley.
d) No podrán tramitarse transferencias de crédito del capítulo VIII a los restantes capítulos del presupuesto.
e) No podrán incrementarse los créditos previstos en esta ley para subvenciones nominativas.
Cuatro. Las limitaciones sobre transferencias de crédito recogidas en los apartados b) y c) del artículo 68.1 del Texto refundido de la Ley de régimen financiero y presupuestario de Galicia, aprobado por Decreto legislativo 1/1999, de 7 de octubre, no afectarán a las transferencias de crédito que se refieran a las transferencias de financiación de las entidades instrumentales del sector público autonómico ni a los centros concertados de educación.
Cinco. A efectos de facilitar la gestión entre diferentes centros de gasto dentro de una misma sección, las transferencias de crédito que afecten a los gastos de funcionamiento (221, 222, 227.00, 227.01 y 229) serán autorizadas por la persona titular de los mismos.
Seis. Las limitaciones establecidas en los apartados anteriores de este artículo y las establecidas en el artículo 68 del Texto refundido de la Ley de régimen financiero y presupuestario de Galicia, aprobado por Decreto legislativo 1/1999, de 7 de octubre, no serán de aplicación a:
– los créditos vinculados al Plan de financiación del Sistema universitario de Galicia, siempre que se realicen en cumplimiento de los acuerdos adoptados por el Consejo de la Xunta de Galicia, a propuesta de la Comisión de Seguimiento del Plan
– los créditos del proyecto 201800112 del Plan especial contra la violencia de género
– los créditos del programa 331A vinculados a los proyectos a desarrollar en el exterior por los agentes gallegos de cooperación para el desarrollo
– las transferencias del artículo 5, apartados t), u) y v)
– las transferencias de fondos propios para financiar incorporaciones de créditos comprometidos de ejercicios anteriores.
Siete. Cuando en las subvenciones otorgadas en régimen de concurrencia pública con cargo a los presupuestos de la Xunta de Galicia resultasen beneficiarias alguna de las entidades incluidas en los presupuestos consolidados, a las transferencias a los artículos 41, 43, 44, 71, 73 o 74 que procedan no se les aplicarán las limitaciones establecidas en el artículo 68 del Decreto legislativo 1/1999, de 7 de octubre, ni las establecidas en los restantes apartados de este artículo.
Artículo 9. Adecuación de créditos
Uno. Para facilitar la consecución del equilibrio económico-financiero en la ejecución del presupuesto para el año 2021, los créditos incluidos en los estados de gastos podrán experimentar los ajustes necesarios para acomodar su importe al de los recursos, en la medida en que estos últimos difieran de los inicialmente previstos en los presupuestos de ingresos de la Administración general de la Comunidad Autónoma, sus organismos autónomos y agencias públicas autonómicas.
Sin perjuicio de lo indicado en el apartado ñ) del artículo 5 de la presente ley, el Consejo de la Xunta de Galicia adoptará, a propuesta de la Consejería de Hacienda y Administración Pública, los acuerdos de no disponibilidad de crédito que sean precisos para cumplir lo previsto en el párrafo anterior.
Dos. En orden a conseguir el máximo grado de ejecución posible de los fondos procedentes de la Unión Europea, los créditos que no amparen compromisos de gastos debidamente adquiridos podrán ser reasignados a otras actuaciones, de la misma o distinta consejería u organismo, con sujeción a los respectivos planes financieros y a las disposiciones de los programas operativos y normativa que los regula, con propuesta motivada de los organismos intermedios de la autoridad de gestión de los respectivos programas, o de la autoridad de gestión en el caso del Fondo Europeo Agrícola de Desarrollo Rural (Feader). Esta reasignación podrá efectuarse asimismo en relación con los créditos financiados con el Fondo de Compensación Interterritorial, con propuesta motivada de la Dirección General de Política Financiera, Tesoro y Fondos Europeos.
Las intervenciones susceptibles de ser cofinanciadas en el marco de los programas operativos Feder (Fondo Europeo de Desarrollo Regional) y FSE (Fondo Social Europeo) Galicia 2014-2020 y del Programa operativo de empleo juvenil precisarán de la autorización de la Dirección General de Política Financiera, Tesoro y Fondos Europeos en los términos establecidos en los correspondientes sistemas de gestión y control de los programas.
Artículo 10. Transferencia de remanentes líquidos de tesorería
Los organismos autónomos y entidades públicas empresariales transferirán al presupuesto de la Administración general de la Comunidad Autónoma el importe del remanente de tesorería no afectado resultante de la liquidación del anterior ejercicio presupuestario.
La Consejería de Hacienda y Administración Pública podrá generar crédito con este importe en el programa 621B, «Imprevistos y funciones no clasificadas», una vez analizada su repercusión y sus efectos sobre la estabilidad presupuestaria.
No obstante, a fin de evitar que se produzcan estos remanentes, la Consejería de Hacienda y Administración Pública podrá limitar los libramientos de fondos a estas entidades en función de su nivel de ejecución presupuestaria.
Las agencias públicas autonómicas para la incorporación del remanente de tesorería no afectado aplicarán lo dispuesto en la Ley 16/2010, de 17 de diciembre, de organización y funcionamiento de la Administración general y del sector público autonómico de Galicia. Si no se realizara la incorporación se procederá conforme a lo dispuesto en este artículo para los organismos autónomos y entidades públicas empresariales.
TÍTULO II
Gastos de personal
CAPÍTULO I
De los gastos del personal al servicio del sector público
Artículo 11. Bases de la actividad económica en materia de gastos de personal
Uno. A efectos de lo establecido en el presente título, constituyen el sector público de la Comunidad Autónoma:
a) Los órganos estatutarios y consultivos de Galicia, sin perjuicio de lo dispuesto en el artículo 12.2 del Estatuto de autonomía de Galicia para el Parlamento.
b) La Administración de la Comunidad Autónoma y de sus organismos autónomos.
c) Las entidades públicas instrumentales de consulta o asesoramiento a las que se refiere la disposición adicional sexta de la Ley 16/2010, de 17 de diciembre, de organización y funcionamiento de la Administración general y del sector público autonómico de Galicia.
d) Las agencias públicas autonómicas y las entidades a las que se refiere el apartado 5 de la disposición transitoria tercera de la Ley 16/2010, de 17 de diciembre, de organización y funcionamiento de la Administración general y del sector público autonómico de Galicia.
e) Las entidades integrantes del Sistema universitario de Galicia.
f) Las entidades públicas empresariales a las que se refiere el artículo 89 de la Ley 16/2010, de 17 de diciembre, de organización y funcionamiento de la Administración general y del sector público autonómico de Galicia.
g) Los consorcios autonómicos a los que se refiere el artículo 95 de la Ley 16/2010, de 17 de diciembre, de organización y funcionamiento de la Administración general y del sector público autonómico de Galicia.
h) Las sociedades mercantiles públicas autonómicas a las que se refiere el artículo 102 de la Ley 16/2010, de 17 de diciembre, de organización y funcionamiento de la Administración general y del sector público autonómico de Galicia.
i) Las fundaciones públicas sanitarias y demás fundaciones del sector público de la Comunidad Autónoma a las que se refiere el artículo 113 de la Ley 16/2010, de 17 de diciembre, de organización y funcionamiento de la Administración general y del sector público autonómico de Galicia.
Dos. En el año 2021 las retribuciones del personal al servicio del sector público autonómico no podrán experimentar un incremento global superior al 0,9 por ciento con respeto a las vigentes a 31 de diciembre de 2020, en términos de homogeneidad para los dos periodos de comparación, tanto por lo que respecta a efectivos de personal como a su antigüedad.
Asimismo, de acuerdo con la normativa básica, los gastos de acción social, en términos globales, no podrán experimentar ningún incremento respecto al año anterior. En relación con esto, se considera que los gastos en concepto de acción social son beneficios, complementos o mejoras distintos a las contraprestaciones por el trabajo realizado, cuya finalidad es satisfacer determinadas necesidades consecuencia de circunstancias personales de los trabajadores y trabajadoras.
Tres. Los acuerdos, convenios o pactos que impliquen crecimientos retributivos superiores a los fijados en el apartado anterior deberán experimentar la oportuna adecuación, resultando inaplicables las cláusulas que establezcan cualquier tipo de incremento. En todo caso, se suspende la aplicación de los pactos o acuerdos firmados que supongan incrementos retributivos superiores a los fijados en el apartado anterior para el año 2021, sin perjuicio de los acuerdos autorizados por el Consejo de la Xunta de Galicia durante los años 2017 a 2020.
Además, se mantiene la suspensión de la aplicación del apartado decimoctavo del Texto refundido del Acuerdo de 20 de junio de 1995, publicado por Resolución de 28 de junio de 2017 de la Dirección General de Centros y Recursos Humanos de la Consejería de Cultura, Educación y Ordenación Universitaria.
Cuatro. Lo dispuesto en los apartados precedentes se entenderá sin perjuicio de las adecuaciones retributivas que con carácter singular y excepcional resultasen imprescindibles por el contenido de los puestos de trabajo, la variación del número de efectivos asignados a cada programa o el grado de consecución de sus objetivos.
Cinco. Las referencias relativas a las retribuciones contenidas en la presente ley se entienden siempre hechas a retribuciones íntegras.
Seis. Las referencias contenidas en la normativa vigente relativas a haberes líquidos, a efectos del cálculo de anticipos reintegrables al personal funcionario, se entenderán hechas a las retribuciones básicas y complementarias que perciba este en sus importes líquidos.
Artículo 12. Oferta de empleo público u otro instrumento similar de gestión de la provisión de necesidades de personal
Uno. Durante el año 2021 solo podrá procederse en el sector público delimitado en el artículo anterior, y en el marco de lo dispuesto al respecto en la legislación básica estatal, a la incorporación de nuevo personal con sujeción a los límites y requisitos establecidos en la normativa básica que se establezca al respecto, y en particular en lo referente a la tasa de reposición de efectivos, respetando, en todo caso, las disponibilidades presupuestarias del capítulo I de los correspondientes presupuestos de gastos.
Dos. Para dar cumplimiento a los objetivos sobre la estabilización del personal en el empleo público, dentro de los acuerdos firmados por la Administración general del Estado y por la Administración general de la Comunidad Autónoma, se aplicarán las disposiciones que se establezcan en la normativa básica del Estado.
Tres. Para la aplicación de lo dispuesto en este artículo, la oferta de empleo público u otro instrumento similar de gestión de la provisión de necesidades de personal se adaptará a los límites y a los restantes requisitos que se establezcan en la normativa básica estatal.
Cuatro. Durante el año 2021 la cobertura de puestos de personal en alguna de las entidades del sector público autonómico incluidas en el artículo 45.a) de la Ley 16/2010, de 17 de diciembre, de organización y funcionamiento de la Administración general y del sector público autonómico de Galicia, estará sujeta a las limitaciones y requisitos establecidos en la normativa básica.
En orden a posibilitar la adecuada optimización de los recursos humanos existentes en el sector público autonómico y según dispone la normativa básica, las mencionadas entidades instrumentales del sector público autonómico podrán efectuar la cobertura de puestos con personal funcionario de carrera con destino en las consejerías u organismos públicos del sector público autonómico que disponga de la titulación requerida para el desempeño del puesto, garantizando en todo caso la publicidad y libre concurrencia. Esta movilidad generará el derecho a seguir percibiendo y consolidando, desde la fecha de la toma de posesión en el ente, el complemento de antigüedad y la retribución adicional al complemento de destino en la misma cuantía que se venía percibiendo o que se tenga derecho a percibir en el puesto de procedencia, así como el cumplimiento de los requerimientos y prescripciones contenidas en los artículos 58 y 59 de la citada ley.
Dicha adscripción tendrá una duración de dos años prorrogables, será voluntaria y la persona funcionaria continuará en activo en su puesto de origen.
Cinco. La oferta de empleo público, en el ámbito al que se refieren los apartados b), c), d), f), g), h) e i) del artículo 11.uno de la presente ley, será aprobada por el Consejo de la Xunta de Galicia, a propuesta del centro directivo competente en materia de función pública o, en su caso, de las consejerías competentes en la materia, y con el informe favorable de la dirección general competente en materia de presupuestos.
Seis. Durante el año 2021 no se procederá en el sector público de la Comunidad Autónoma delimitado en el artículo anterior a la contratación de personal temporal, ni al nombramiento de funcionarios interinos, salvo en casos excepcionales y para cubrir necesidades urgentes e inaplazables, que se restringirán a los sectores, funciones y categorías profesionales que se consideren prioritarios o que afecten al funcionamiento de los servicios públicos esenciales.
En el ámbito al que se refieren los apartados b), c), d), f), g), h) e i) del artículo 11.uno de la presente ley será precisa la previa y expresa autorización de las direcciones generales competentes en materia de función pública y presupuestos, sin perjuicio de lo establecido en los artículos siguientes. A estos efectos, el departamento o entidad solicitante deberá remitir una memoria justificativa de que la cobertura del puesto no puede realizarse mediante otro sistema y de que resulta absolutamente imprescindible para el funcionamiento del servicio.
Artículo 13. Contratación de personal laboral temporal y nombramiento de personal funcionario interino en el ámbito de la Comunidad Autónoma y sus organismos autónomos y agencias públicas
Uno. Durante el año 2021, en el ámbito al que se refieren los apartados b) y d) del artículo 11.uno de la presente ley, podrán proveerse, sin necesidad de la autorización conjunta a que se refiere el apartado seis del artículo 12 de esta ley, en casos excepcionales y para cubrir necesidades urgentes e inaplazables que no puedan ser atendidas mediante procesos de reestructuración de los efectivos existentes, puestos vacantes mediante la contratación de personal laboral temporal o mediante el nombramiento de personal funcionario interino de los siguientes ámbitos:
a) Personal docente, no docente y personal laboral de las categorías 65, 99 y 104 del grupo III, categorías 4 y 5 del grupo IV y categorías 1 y 11 del grupo V del V Convenio colectivo para el personal laboral de la Xunta, de centros docentes.
A estos efectos, se entienden como centros docentes aquellos que impartan enseñanzas orientadas a la obtención de titulaciones académicas de formación reglada.
b) Personal de los centros asistenciales del Servicio Gallego de Salud.
c) Personal de la Agencia Gallega de Sangre, Órganos y Tejidos.
d) Personal de los centros y residencias de servicios sociales.
e) Personal adscrito al Servicio de Defensa contra Incendios Forestales.
f) Personal laboral y personal funcionario al servicio de la Administración de justicia.
g) Personal adscrito al sistema integrado de Emergencias y Protección Civil.
h) Personal que presta servicios en las unidades de exploración mamográfica del Programa gallego de detección precoz del cáncer de mama.
Dichas contrataciones y los correspondientes nombramientos se adecuarán estrictamente a las necesidades del servicio, estando aquellas siempre vinculadas a la existencia de un puesto de trabajo vacante y dotado presupuestariamente.
Las direcciones generales competentes remitirán a la Dirección General de Planificación y Presupuestos, con periodicidad mensual, la relación de todas las contrataciones de personal laboral y el nombramiento de personal funcionario interino realizados basándose en esta excepción. Adjunto a la relación se aportará una memoria explicativa que justifique la necesidad urgente e inaplazable y el carácter imprescindible para el funcionamiento del servicio.
Dos. Durante el año 2021, en el ámbito determinado en este artículo, podrán atenderse los excesos o acumulaciones de tareas mediante la contratación temporal de personal laboral y el nombramiento de personal funcionario interino sin adscripción a plaza, previa autorización conjunta de la Dirección General de Evaluación y Reforma Administrativa y de la Dirección General de Planificación y Presupuestos, y de acuerdo con los límites que se establecen en el apartado a) del artículo 8.tres de la presente ley. El gasto derivado de estas contrataciones se imputará necesariamente a los subconceptos 131.24, «Acumulaciones de tareas de personal laboral temporal», y 120.24, «Acumulaciones de tareas de personal funcionario no docente».
A estos efectos, habrá de remitirse por el departamento solicitante una memoria justificativa de la actividad que motiva la contratación, que esta resulta absolutamente imprescindible para el funcionamiento del servicio y que no ha podido ser atendida con las dotaciones de personal existentes o mediante procesos de reestructuración de los efectivos disponibles.
Tres. Durante el año 2021, en el ámbito determinado en este artículo, podrán acordarse las sustituciones transitorios, previa autorización conjunta de la Dirección General de la Función Pública y de la Dirección General de Planificación y Presupuestos, siempre que no pudieran ser atendidas mediante una redistribución de funciones de los efectivos existentes y dentro de las limitaciones presupuestarias previstas, y que, una vez valorada por los responsables de gestión la duración prevista de dicha situación, resulten absolutamente imprescindibles para el funcionamiento del servicio.
Dicha autorización conjunta no será necesaria en las sustituciones siguientes:
a) Personal docente, no docente y personal laboral de las categorías 65, 99 y 104 del grupo III, categorías 4 y 5 del grupo IV y categorías 1 y 11 del grupo V del V Convenio colectivo para el personal laboral de la Xunta, de centros docentes.
A estos efectos, se entienden como centros docentes aquellos que impartan enseñanzas orientadas a la obtención de titulaciones académicas de formación reglada.
b) Personal de los centros asistenciales del Servicio Gallego de Salud.
c) Personal de la Agencia Gallega de Sangre, Órganos y Tejidos.
d) Personal de los centros y residencias de servicios sociales.
e) Personal adscrito al Servicio de Defensa contra Incendios Forestales.
f) Personal veterinario que preste sus servicios en mataderos y lonjas o en los servicios de Sanidad y Producción Animal dependientes de las consejerías competentes en materia de medio rural y mar.
g) Personal administrativo que preste sus servicios en las oficinas de registro unificadas de la Administración de la Comunidad Autónoma.
h) Personal laboral y personal funcionario al servicio de la Administración de justicia.
i) Personal adscrito al sistema integrado de Emergencias y Protección Civil.
j) Personal que se encuentre en situación de permiso por parto, adopción o acogimiento o permiso de paternidad, así como en la situación de excedencia por cuidado de familiares o hijos o hijas menores.
k) Personal laboral relevista sustituto del jubilado parcial o especial, con independencia de la naturaleza jurídica del puesto que este desempeñe.
l) Personal que presta servicios en las unidades de exploración mamográfica del Programa gallego de detección precoz del cáncer de mama.
Cuatro.
1. Durante el año 2021, en el ámbito determinado en este artículo, podrá efectuarse el nombramiento de personal funcionario interino para la ejecución de programas de carácter temporal, según lo previsto en el artículo 23.2.c) de la Ley 2/2015, de 29 de abril, del empleo público de Galicia, con los siguientes requisitos:
a) La financiación debe proceder o bien de fondos de la Unión Europea o de la Administración estatal, o bien de otros ingresos con financiación afectada.
b) El nombramiento no podrá tener una duración superior a la de ejecución del programa, que, en todo caso, no sobrepasará los tres años previstos en la normativa básica, ampliables hasta doce meses más si lo justificase la duración del correspondiente programa.
2. Podrán realizarse contratos de duración determinada por obra o servicio determinado para la ejecución de programas de actuación específica cuando el servicio que constituya su objeto haya de ser desempeñado necesariamente por personal perteneciente a una de las categorías del V Convenio colectivo del personal laboral de la Xunta de Galicia y concurran, además, las siguientes circunstancias:
a) Que el servicio tenga autonomía y sustantividad propia dentro de la actividad laboral de la consejería u órgano encargado de la ejecución del programa.
b) Que la ejecución del programa sea de duración incierta, pero tenga una clara naturaleza temporal.
c) Que en el contrato se especifique con precisión y claridad el objeto del servicio que las personas contratadas deban desempeñar.
d) La financiación debe proceder de ingresos con financiación afectada.
e) Adjunto a la solicitud de autorización conjunta, se acompañará copia del instrumento mediante el cual se apruebe el programa de actuación específica y una propuesta de la cláusula específica del contrato de trabajo que se pretenda formalizar, en la que se precise de forma clara y concreta el objeto del contrato, previamente informada por los servicios jurídicos de la consejería u organismo, en el que también se manifestará sobre la adecuación de la modalidad contractual.
3. En ningún caso se podrá ocupar a las personas contratadas al amparo de la ejecución de estos programas de carácter específico en tareas distintas de las que constituyera el objeto del programa ni por más tiempo del que requiriera la ejecución del programa.
4. Ni el personal funcionario interino ni el personal laboral contratado al amparo de estos programas ocupará plazas de la relación de puestos de trabajo, ajustándose su selección y nombramiento al procedimiento establecido por Decreto 37/2006, de 2 de marzo, por el que se regula el nombramiento del personal interino para el desempeño con carácter transitorio de plazas reservadas a funcionarios y la contratación temporal de personal laboral de la Xunta de Galicia o norma que lo sustituya.
5. Los nombramientos o contrataciones para la ejecución de estos planes requerirán autorización conjunta de los centros directivos competentes en materia de presupuestos y función pública. A estos efectos, habrá de remitirse una memoria justificativa y una valoración económica.
Artículo 14. Contratación de personal estatutario temporal en el ámbito de la Comunidad Autónoma y de sus organismos autónomos y agencias públicas
Uno. Durante el año 2021 no se procederá al nombramiento de personal estatutario temporal en el ámbito al que se refieren los apartados b) y d) del artículo 11.uno de la presente ley, salvo en casos excepcionales y para cubrir necesidades urgentes e inaplazables que afecten al funcionamiento de los servicios públicos.
Dos. Estos nombramientos no requerirán autorización previa de la dirección general competente en materia de presupuestos, pero deberán ser comunicados con carácter mensual a la Intervención General de la Comunidad Autónoma y a la Dirección General de Planificación y Presupuestos conjuntamente con la relación se aportará una memoria explicativa que justifique la necesidad urgente e inaplazable y el carácter imprescindible para el funcionamiento del servicio.
Tres. En conformidad con lo establecido en este artículo, la aplicación de los pactos y acuerdos que contemplen medidas relativas a la cobertura de las ausencias del personal de las instituciones sanitarias deberá respetar el carácter absolutamente imprescindible de las sustituciones transitorias del personal. En consecuencia, serán los órganos de gestión de las instituciones sanitarias quienes, atendiendo a las necesidades asistenciales, determinarán las medidas apropiadas para mantener la cobertura asistencial, adecuándose, a su vez, a los principios y criterios de responsabilidad en la gestión del gasto y de eficiencia en la asignación y el empleo de los recursos públicos, en atención a la situación económica y al cumplimiento del principio de sostenibilidad financiera, con arreglo a lo preceptuado en la Ley 2/2011, de 16 de junio, de disciplina presupuestaria y sostenibilidad financiera.
Artículo 15. Contratación de personal laboral de carácter temporal para la realización de obras o servicios previstos en el anexo de inversiones
Uno. Durante el año 2021, en el ámbito al que se refieren los apartados b) y d) del artículo 11.uno de la presente ley, así como en las entidades a las que se refiere el apartado 5 de la disposición transitoria tercera de la Ley 16/2010, de 17 de diciembre, de organización y funcionamiento de la Administración general y del sector público autonómico de Galicia, podrán formalizarse contrataciones de personal de carácter temporal para la realización de obras o servicios, siempre que se diese la concurrencia de los siguientes requisitos:
a) Que la contratación tuviera por objeto la ejecución de obras por la administración de acuerdo con lo dispuesto en la legislación de contratos del sector público, o la realización de servicios que tengan la naturaleza de inversiones.
b) Que tales obras o servicios correspondan a inversiones previstas y aprobadas en los presupuestos generales de la Comunidad Autónoma.
c) Que por la naturaleza de las obras o servicios no pudieran ser ejecutados por personal fijo.
d) Que se refieran a obras y proyectos concretos.
Del cumplimiento de los anteriores requisitos habrá de dejarse constancia en el correspondiente expediente de contratación.
Dos. Los contratos tendrán que formalizarse siguiendo las prescripciones de los artículos 15 y 17 del Estatuto de los trabajadores y conforme a lo dispuesto en la Ley 53/1984, de 26 de diciembre, de incompatibilidades del personal al servicio de las administraciones públicas. En los contratos se hará constar la obra o servicio para cuya realización se formaliza el contrato y el tiempo de duración, así como el resto de las formalidades que impone la legislación sobre los contratos laborales, eventuales o temporales. Los incumplimientos de estas obligaciones formales, así como la asignación de personal contratado para funciones distintas de las que se determinen en los contratos, que pudieran derivar en el reconocimiento como personal laboral indefinido no fijo, podrán dar lugar a la exigencia de responsabilidades, según el artículo 122 del Texto refundido de la Ley de régimen financiero y presupuestario de Galicia, aprobado por Decreto legislativo 1/1999, de 7 de octubre.
Tres. La realización de estos contratos será objeto de fiscalización previa en los casos en los cuales esta resulte preceptiva, en conformidad con lo establecido en los artículos 94 al 117 del Texto refundido de la Ley de régimen financiero y presupuestario de Galicia, aprobado por Decreto legislativo 1/1999, de 7 de octubre. La intervención delegada del departamento u órgano equivalente certificará, previa propuesta fundamentada del gestor, que existe crédito adecuado y suficiente en la aplicación presupuestaria que corresponda, computado siempre en su proyección anual.
Cuatro. La contratación podrá exceder del ejercicio presupuestario cuando se trate de obras o servicios que rebasen dicho ejercicio y correspondan a proyectos de inversión de carácter plurianual que cumplan los requisitos que para los mismos se contemplan en el artículo 58 del Texto refundido de la Ley de régimen financiero y presupuestario de Galicia, aprobado por Decreto legislativo 1/1999, de 7 de octubre.
Cinco. El servicio jurídico del departamento u organismo emitirá informe sobre los contratos con carácter previo a su formalización, pronunciándose, en especial, sobre la modalidad de contratación utilizada y la observancia en las cláusulas del contrato de los requisitos y formalidades exigidas por la legislación laboral.
Seis. Durante el año 2021, en el ámbito al que se refiere el apartado uno, requerirán informe favorable de la dirección general competente en materia de evaluación y reforma administrativa y autorización conjunta de la Dirección General de la Función Pública y de la Dirección General de Planificación y Presupuestos las contrataciones de personal de carácter temporal para la realización de obras o servicios previstos en el anexo de inversiones y los contratos de personal investigador de carácter laboral bajo alguna de las modalidades específicas recogidas en el artículo 20 de la Ley 14/2011, de 1 de junio, de la ciencia, la tecnología y la innovación, así como bajo la modalidad de proyectos específicos de investigación científica y técnica con arreglo al artículo 15.1.a) del Estatuto de los trabajadores.
Siete. El gasto generado por las contrataciones reguladas en este artículo, incluido el de las sujetas normativamente al Real decreto 1435/1985, de 1 de agosto, por el que se regula la relación laboral especial de artistas en espectáculos públicos, así como del personal temporal asociado a proyectos de investigación, se imputará al concepto correspondiente de los artículos 13 y 16 en el programa y consejería u organismo de que se trate, sin perjuicio de que se financie con cargo a los respectivos créditos de inversiones, para cuyos efectos podrán realizarse las modificaciones de crédito correspondientes.
Artículo 16. Contratación de personal temporal en el ámbito de las restantes entidades públicas instrumentales
Uno. Durante el año 2021, en el ámbito al que se refieren los apartados c), f), g), h) e i) del artículo 11.uno de la presente ley, podrán realizarse, sin necesidad de la autorización conjunta a la que se refiere el apartado seis del artículo 12 de esta ley, en casos excepcionales y para cubrir necesidades urgentes e inaplazables que no puedan ser atendidas mediante procesos de reestructuración de los efectivos existentes, contrataciones de nuevo personal laboral temporal y nombramientos de personal funcionario interino para la cobertura de puestos vacantes y sustituciones transitorias cuya necesidad de cobertura surja a lo largo del año 2021 en los siguientes ámbitos:
a) Personal que preste servicio en las unidades asistenciales de las sociedades sanitarias y fundaciones sanitarias.
b) Personal de los centros y residencias de servicios sociales.
Dos. Durante el año 2021, en el ámbito determinado en el apartado uno, podrán realizarse, excepcionalmente, previa autorización conjunta de la Dirección General de la Función Pública y de la Dirección General de Planificación y Presupuestos, tras haberse justificado motivadamente por la entidad solicitante de que la cobertura resulta absolutamente imprescindible y de que la necesidad no puede ser satisfecha mediante una redistribución de funciones de los efectivos existentes, las siguientes contrataciones:
– contrataciones de personal laboral temporal en la modalidad de obra o servicio determinado
– contrataciones de personal laboral temporal en la modalidad de acumulación de tareas.
A estos efectos, habrá de remitirse una memoria justificativa de la necesidad de la contratación solicitada y de la adecuación de la modalidad contractual. Asimismo, se incluirá una memoria económica en la cual se valoren todos los aspectos económicos de la solicitud y de la forma de financiación.
Tres. Los contratos tendrán que formalizarse siguiendo las prescripciones de los artículos 15 y 17 del Estatuto de los trabajadores y conforme a lo dispuesto en la Ley 53/1984, de 26 de diciembre, de incompatibilidades del personal al servicio de las administraciones públicas. En los contratos se hará constar la obra o servicio para cuya realización se formaliza el contrato y el tiempo de duración, así como el resto de las formalidades que impone la legislación sobre los contratos laborales, eventuales o temporales. Los incumplimientos de estas obligaciones formales, así como la asignación de personal contratado para funciones distintas de las que se determinen en los contratos, que pudieran derivar en el reconocimiento como personal laboral indefinido no fijo, podrán dar lugar a la exigencia de responsabilidades, según el artículo 122 del Texto refundido de la Ley de régimen financiero y presupuestario de Galicia, aprobado por Decreto legislativo 1/1999, de 7 de octubre.
Cuatro. Con periodicidad mensual habrá de remitirse a la Dirección General de Planificación y Presupuestos la información referida a todas las contrataciones realizadas durante el periodo por la entidad, independientemente de la modalidad contractual y de su duración.
Artículo 17. Contratación de personal vinculado a encomiendas de gestión
Durante el año 2021 las encomiendas de gestión que realicen la Administración de la Xunta de Galicia, sus organismos autónomos o agencias públicas a las entidades a las que se refieren los apartados f), h) e i) del artículo 11.uno de la presente ley no podrán suponer la contratación de personal temporal por parte de dichas entidades con cargo a las cuantías recibidas como contraprestación de la realización de las encomiendas de gestión.
Quedan exceptuadas de lo dispuesto en el párrafo anterior las contrataciones de personal temporal que estuviesen previstas en el programa de actuación, inversión y financiación.
Esta limitación no será de aplicación a proyectos financiados con fondos finalistas del Estado y de la Unión Europea.
CAPÍTULO II
De los regímenes retributivos
Artículo 18. Retribuciones de los altos cargos y otro personal directivo
Uno. En el año 2021 las retribuciones del presidente, vicepresidente y consejeros y consejeras no experimentarán incremento alguno con respecto a las vigentes a 31 de diciembre de 2020, sin perjuicio de la percepción de catorce mensualidades de la retribución por antigüedad y de una cuantía equivalente a la retribución adicional al complemento de destino que les pueda corresponder de conformidad con la normativa vigente, quedando establecidas en las siguientes cuantías:
– presidente de la Xunta de Galicia: 78.089,88 euros
– vicepresidente y consejeros y consejeras: 68.154,24 euros.
Dos. En el año 2021 las retribuciones de los altos cargos no experimentarán un incremento superior al 0,9 por ciento respecto a las vigentes a 31 de diciembre de 2020, sin perjuicio de la percepción de catorce mensualidades de la retribución por antigüedad y de una cuantía equivalente a la retribución adicional al complemento de destino que les pueda corresponder de conformidad con la normativa vigente, quedando establecidas en las siguientes cuantías:
– secretarios y secretarias generales, secretarios y secretarias generales técnicos, directores y directoras generales, delegados y delegadas territoriales y asimiladas: 60.287,90 euros.
Tres. En el año 2021 las retribuciones de los miembros del Consejo de Cuentas no experimentarán incremento respecto de las vigentes a 31 de diciembre de 2020, quedando, por lo tanto, establecidas en las siguientes cuantías, referidas a doce mensualidades:
– consejero o consejera mayor: 72.528,60 euros
– consejeros y consejeras: 68.154,24 euros.
Cuatro. En el año 2021 las retribuciones de los miembros del Consejo Consultivo de Galicia no experimentarán incremento respecto a las vigentes a 31 de diciembre de 2020, quedando, por lo tanto, establecidas en las siguientes cuantías, referidas a doce mensualidades:
– presidente o presidenta: 72.528,60 euros
– consejeros y consejeras: 68.154,24 euros.
Cinco. En el año 2021 las retribuciones de los miembros del Consejo de la Cultura Gallega no experimentarán incremento respecto a las vigentes a 31 de diciembre de 2020, quedando, por lo tanto, establecidas en las siguientes cuantías, referidas a doce mensualidades:
– presidenta o presidente: 72.528,60 euros.
Seis. En el año 2021 las retribuciones del personal directivo a que se refiere el artículo 7 del Decreto 119/2012, de 3 de mayo, por el que se regulan las retribuciones y percepciones económicas aplicables a los órganos de gobierno o dirección y al personal directivo de las entidades del sector público autonómico, de aquellos puestos clasificados como nivel 1 y 2 del grupo 1 y los clasificados como nivel 1 del grupo 2, en aplicación de dicho decreto, y las retribuciones del presidente o presidenta de la entidad pública Consejo Económico y Social no experimentarán incremento alguno con respecto a las retribuciones vigentes a 31 de diciembre de 2020.
A efectos de la aplicación de lo previsto en el párrafo anterior, las sociedades mercantiles públicas autonómicas a las que se refiere el artículo 102 de la Ley 16/2010, de 17 de diciembre, de organización y funcionamiento de la Administración general y del sector público autonómico de Galicia, deberán mediante acuerdo de su consejo de administración efectivizar esta disposición.
Las retribuciones del personal directivo a que se refiere el artículo 7 del Decreto 119/2012, de 3 de mayo, de las entidades del sector público autonómico, del restante personal previsto en ese decreto y las de los altos cargos de las entidades públicas instrumentales de consulta y asesoramiento, no incluidos en el primer párrafo de este apartado, no experimentarán un incremento superior al 0,9 por ciento respecto a las vigentes a 31 de diciembre de 2020.
Siete. Excepto aquellos supuestos en los que, al estar así contemplado en la normativa reguladora de la entidad, sean nombrados por decreto del Consejo de la Xunta de Galicia, la provisión de puestos directivos de las entidades instrumentales del sector público autonómico que no deban ser cubiertos necesariamente por personal funcionario requerirán de la autorización conjunta de los centros directivos competentes en materia de presupuestos y función pública. A estos efectos, deberá adjuntarse un borrador del contrato a formalizar.
Artículo 19. Complemento personal
El personal designado para ocupar puestos incluidos en los anexos de personal de los presupuestos de la Administración general, sus organismos autónomos y sus agencias públicas autonómicas que den lugar a la consideración de alto cargo y que en el momento de su nombramiento mantenga una relación de empleado público con alguna administración pública no podrá percibir unas retribuciones inferiores a las que tenía asignadas en el puesto de procedencia.
Cuando se produzca esa circunstancia, y durante el tiempo que permanezca en ella, el personal indicado tendrá derecho a percibir un complemento personal equivalente a la diferencia entre la totalidad de los conceptos retributivos, básicos y complementarios, del puesto de origen, con exclusión de las gratificaciones por servicios extraordinarios, en cómputo anual, y las retribuciones del mismo carácter que le correspondan por el puesto que ocupe en la Administración autonómica gallega.
El reconocimiento del derecho a la percepción de este complemento será realizado en cada caso por la Dirección General de la Función Pública.
Artículo 20. Retribuciones de las personas titulares de las delegaciones de la Xunta de Galicia en el exterior
Las retribuciones de las personas titulares de las delegaciones de la Xunta de Galicia en el exterior para el año 2021 quedan establecidas en las siguientes cuantías, sin perjuicio del derecho a las indemnizaciones, dietas y aplicación de coeficientes en razón de servicio que pudieran corresponderles por residencia en el extranjero:
– delegado o delegada de la Xunta de Galicia en Buenos Aires: 60.287,90 euros
– delegado o delegada de la Xunta de Galicia en Montevideo: 51.211.94 euros.
Asimismo, tendrán derecho a percibir los trienios que puedan tener reconocidos como personal funcionario y personal al servicio de las administraciones públicas.
Artículo 21. Criterios retributivos en materia de personal funcionario
Uno. Las retribuciones que percibirá en el año 2021 el personal funcionario de la Comunidad Autónoma en el ámbito de aplicación de la Ley 2/2015, de 29 de abril, del empleo público de Galicia, en los términos de la disposición final cuarta del Texto refundido de la Ley del Estatuto básico del empleado público, que desempeñe puestos de trabajo para los cuales el Gobierno de la Comunidad Autónoma aprobó la aplicación del régimen retributivo previsto en dicha ley, serán las siguientes:
a) El sueldo y trienios, en las nóminas ordinarias de enero a diciembre de 2021, que correspondan al grupo o subgrupo en el que se encuentre clasificado el cuerpo o escala a que pertenezca la persona funcionaria, con las siguientes cuantías referidas a doce mensualidades:
|
Grupo/subgrupo Real decreto legislativo 5/2015 |
Sueldo |
Trienio |
|
A1 |
14.572,68 |
560,88 |
|
A2 |
12.600,72 |
457,44 |
|
B |
11.014,68 |
401,28 |
|
C1 |
9.461,04 |
346,20 |
|
C2 |
7.874,16 |
235,68 |
|
E (Ley 30/1984) y agrupaciones profesionales (Real decreto legislativo 5/2015, de 30 de octubre) |
7.206,96 |
177,36 |
b) Las pagas extraordinarias, que serán dos al año y se percibirán de acuerdo con lo previsto en el artículo 15 de la Ley 13/1988, de 30 de diciembre, de presupuestos generales de la Comunidad Autónoma gallega para 1989. El importe de cada una de estas pagas será la suma del sueldo y trienios establecidos a continuación y de una mensualidad de complemento de destino:
|
Grupo/subgrupo Real decreto ley 5/2015 |
Sueldo |
Trienio |
|
A1 |
749,38 |
28,85 |
|
A2 |
765,83 |
27,79 |
|
B |
793,33 |
28,92 |
|
C1 |
681,43 |
24,91 |
|
C2 |
650,20 |
19,44 |
|
E (Ley 30/1984) y agrupaciones profesionales (Real decreto legislativo 5/2015, de 30 de octubre) |
600,58 |
14,78 |
Cuando el personal funcionario preste una jornada de trabajo reducida durante los seis meses anteriores a los meses de junio y diciembre, el importe de la paga extraordinaria experimentará la correspondiente reducción proporcional.
c) El complemento de destino correspondiente al nivel del puesto de trabajo que se desempeñe, de acuerdo con las siguientes cuantías referidas a doce mensualidades:
|
Nivel |
Importe |
|
30 |
12.729,24 |
|
29 |
11.417,52 |
|
28 |
10.937,76 |
|
27 |
10.457,16 |
|
26 |
9.174,48 |
|
25 |
8.139,72 |
|
24 |
7.659,48 |
|
23 |
7.179,96 |
|
22 |
6.699,36 |
|
21 |
6.219,96 |
|
20 |
5.777,76 |
|
19 |
5.482,92 |
|
18 |
5.187,84 |
|
17 |
4.892,64 |
|
16 |
4.598,28 |
|
15 |
4.302,72 |
|
14 |
4.008,24 |
|
13 |
3.712,80 |
|
12 |
3.417,60 |
|
11 |
3.122,40 |
|
10 |
2.827,80 |
d) El complemento específico anual que, en su caso, esté fijado al puesto que se desempeñe. Este complemento específico anual se percibirá en catorce pagas iguales, de las que doce serán de percepción mensual y dos adicionales, del mismo importe que una mensual, en los meses de junio y diciembre, respectivamente.
e) La retribución adicional al complemento de destino, que corresponda al grupo o subgrupo en el que se encuentre clasificado el cuerpo o escala a que pertenezca la persona funcionaria.
f) El complemento de productividad que, en su caso, se destine a retribuir el especial rendimiento, la actividad extraordinaria y el interés o la iniciativa con que el personal funcionario desempeñe su trabajo, en los términos establecidos en la disposición transitoria décima de la Ley 2/2015, de 29 de abril, del empleo público de Galicia.
El complemento de productividad se establecerá de acuerdo con criterios objetivos que apruebe el Consejo de la Xunta de Galicia, a propuesta de la consejería correspondiente y previo informe de la Dirección General de la Función Pública, de la Dirección General de Evaluación y Reforma Administrativa y de la Dirección General de Planificación y Presupuestos, una vez oídos los órganos de representación del personal. Los complementos de productividad deben hacerse públicos en los centros de trabajo.
Las cuantías asignadas por el complemento de productividad durante un periodo de tiempo no originarán ningún tipo de derecho individual con respecto a las valoraciones o apreciaciones correspondientes a periodos sucesivos.
g) Las gratificaciones por servicios extraordinarios.
Estas gratificaciones serán concedidas previa autorización del Consejo de la Xunta de Galicia, a propuesta de la consejería respectiva, cuando su cuantía exceda, para todo el ejercicio 2021, de ochenta mil euros, considerando de forma conjunta cada consejería y sus organismos y agencias. En caso contrario, su autorización corresponderá a la consejería.
En todo caso, dichas gratificaciones tendrán carácter excepcional y solamente podrán ser reconocidas por los servicios extraordinarios prestados fuera de la jornada normal de trabajo, sin que, en ningún caso, puedan ser fijas en su cuantía ni periódicas en su devengo.
También tendrán tal consideración las compensaciones económicas a que se refiere el artículo 137.2.d) de la Ley 2/2015, de 29 de abril, del empleo público de Galicia.
h) Los complementos personales y transitorios reconocidos en cumplimiento de lo dispuesto en el artículo 10 de la Ley 13/1988, de 30 de diciembre, de presupuestos generales de la Comunidad Autónoma para 1989.
Estos complementos personales y transitorios serán absorbidos por cualquier mejora retributiva que se produzca en el año 2021, incluidas las derivadas del cambio de puesto de trabajo. En ningún caso se considerarán los trienios, la retribución adicional, el complemento de productividad ni las gratificaciones por servicios extraordinarios a estos efectos.
Incluso en el caso de que el cambio de puesto de trabajo determine una disminución de las retribuciones se mantendrá el complemento personal transitorio fijado al producirse la aplicación del nuevo sistema, a cuya absorción se le imputará cualquier mejora retributiva ulterior, también la que pudiera derivar del cambio de puesto de trabajo.
Dos. El personal funcionario interino incluido en el ámbito de aplicación del Texto refundido de la Ley del Estatuto básico del empleado público, aprobado por Real decreto legislativo 5/2015, de 30 de octubre, percibirá la totalidad de las retribuciones básicas, incluidos trienios y pagas extraordinarias, así como la totalidad de las retribuciones complementarias que correspondan al puesto de trabajo para el cual sea nombrado, excluido el que esté vinculado a la condición de personal funcionario de carrera.
Tres. El complemento de productividad podrá atribuirse, en su caso, al personal funcionario interino al que se refiere el apartado anterior, así como al personal funcionario en prácticas cuando las mismas se realicen desempeñando un puesto de trabajo y esté autorizada la aplicación de dicho complemento al personal funcionario que desempeñe análogos puestos de trabajo, salvo que ese complemento estuviese vinculado a la condición de personal funcionario de carrera.
Cuatro. En la Administración de la Comunidad Autónoma, sus organismos autónomos y agencias públicas, en los casos de adscripción durante el año 2021 de personal funcionario sujeto a un régimen retributivo distinto del correspondiente al puesto de trabajo al que se adscribe, dicho personal funcionario percibirá las retribuciones que correspondan al puesto de trabajo que desempeñe, previa oportuna asimilación que autorice la Dirección General de la Función Pública a propuesta de las consejerías interesadas.
A los únicos efectos de la asimilación a que se refiere el párrafo anterior, la Dirección General de la Función Pública podrá autorizar que la cuantía de la retribución por antigüedad sea la que proceda de acuerdo con el régimen retributivo de origen del personal funcionario.
La Dirección General de la Función Pública comunicará estas autorizaciones a la Dirección General de Planificación y Presupuestos para su conocimiento.
Artículo 22. Criterios retributivos en materia de personal laboral
Uno. La masa salarial del personal laboral de los entes y organismos que se indican en el apartado uno del artículo 11 de esta ley, y que se adecuará a lo establecido en su apartado dos, estará integrada por el conjunto de las retribuciones salariales y extrasalariales devengadas por dicho personal en el año 2021.
Se exceptúan en todo caso:
a) Las prestaciones e indemnizaciones de la Seguridad Social.
b) Las cotizaciones al sistema de la Seguridad Social a cargo del empleador.
c) Las indemnizaciones correspondientes a traslados, suspensiones o despidos.
d) Las indemnizaciones o los suplidos por gastos que tenga que realizar el trabajador o trabajadora, salvo sentencia judicial que así lo determine.
e) Los gastos de acción social, que, de acuerdo con la normativa básica, en términos globales, no podrán experimentar incremento alguno con respecto al año anterior. A este propósito, se considera que los gastos en concepto de acción social son beneficios, complementos o mejoras distintos a las contraprestaciones por el trabajo realizado, cuya finalidad es satisfacer determinadas necesidades consecuencia de circunstancias personales de los trabajadores y trabajadoras.
Las variaciones de la masa salarial bruta se calcularán en términos de homogeneidad respecto a los dos periodos objeto de comparación, tanto en lo que respecta a efectivos reales del personal laboral y antigüedad de este como al régimen privativo de trabajo, jornada legal o contractual, horas extraordinarias efectuadas y otras condiciones laborales, computándose, en consecuencia, por separado las cantidades que correspondan a la variación de tales conceptos. Con cargo a la masa salarial así obtenida para el año 2021 se deberá satisfacer la totalidad de las retribuciones del personal laboral derivadas de los convenios o acuerdos colectivos que se suscriban en el año 2021 y todas las que se produzcan a lo largo del ejercicio, excepto las que corresponde devengar a dicho personal en el citado año por el concepto de antigüedad.
Las indemnizaciones o los suplidos de este personal no podrán experimentar un crecimiento con respecto al año 2020.
Dos. Las retribuciones del personal laboral al servicio del sector público de la Comunidad Autónoma de Galicia delimitado en el apartado uno del artículo 11 de esta ley no experimentarán un incremento global superior al 0,9 por ciento respecto a las vigentes a 31 de diciembre de 2020.
Artículo 23. Retribuciones del personal al servicio de las instituciones sanitarias de la Comunidad Autónoma de Galicia
Uno. En aplicación de lo previsto en la disposición transitoria sexta.1.a) de la Ley 55/2003, de 16 de diciembre, del Estatuto marco del personal estatutario de los servicios de salud, el personal incluido en el ámbito de aplicación del Real decreto ley 3/1987, de 11 de septiembre, sobre retribuciones del personal estatutario del Instituto Nacional de la Salud, percibirá las retribuciones básicas y el complemento de destino en las cuantías señaladas para dichos conceptos retributivos en los apartados a), b) y c) del artículo 21.uno.
El importe anual de las retribuciones correspondientes al complemento específico, al complemento de productividad fija, al complemento de atención continuada y al complemento de penosidad, responsabilidad y dificultad, así como a la carrera profesional que, en su caso, corresponda al referido personal, experimentarán un incremento del 0,9 por ciento respecto a las vigentes a 31 de diciembre de 2020.
La cuantía individual del complemento de productividad se determinará conforme a los criterios señalados en el artículo 2.tres.c) y en la disposición transitoria tercera del Real decreto ley 3/1987 y en el artículo 43.2 de la Ley 55/2003, así como en las demás normas dictadas para su desarrollo.
Dos. Las retribuciones del restante personal estatutario, funcionario y laboral de las instituciones sanitarias del Servicio Gallego de Salud no experimentarán un incremento superior al 0,9 por ciento respecto a las vigentes a 31 de diciembre de 2020.
Tres. En los supuestos de pactos y acuerdos que establezcan la asignación de conceptos retributivos ligados a la prestación de una jornada complementaria o adicional a la fijada en los propios acuerdos como jornada ordinaria, el abono de dichos conceptos requerirá la acreditación de la prestación efectiva de los servicios.
En ningún caso podrán satisfacerse percepciones retributivas o asignaciones económicas, incluyendo las suplementarias o promediadas, derivadas de atención continuada, guardas o concepto equivalente cuando no exista una prestación efectiva de los servicios motivada por situaciones de incapacidad temporal, excepto en aquellos supuestos expresamente recogidos en una norma con rango de ley.
Cuatro. Los requisitos para la modificación de las retribuciones del personal a que se refiere este artículo serán los establecidos en el artículo 29 de la presente ley.
Artículo 24. Retribuciones del personal de los cuerpos de funcionarios al servicio de la Administración de justicia
Uno. El personal funcionario de los cuerpos al servicio de la Administración de justicia que desempeñe sus funciones en el ámbito competencial de la Comunidad Autónoma de Galicia percibirá las retribuciones que se determinen en la Ley de presupuestos generales del Estado y demás normativa que le sea de aplicación.
Dos. Los complementos y las mejoras retributivas reguladas en las disposiciones o en los acuerdos adoptados por los órganos de la Comunidad Autónoma en el ejercicio de sus competencias por lo que se refiere a este personal no experimentarán un incremento superior al 0,9 por ciento respecto a las vigentes a 31 de diciembre de 2020, sin perjuicio de los acuerdos autorizados por el Consejo de la Xunta de Galicia en el año 2020.
Artículo 25. Criterios retributivos aplicables al personal al servicio de la Comunidad Autónoma no incluido en los artículos anteriores
Uno. En el año 2021 las retribuciones básicas y las complementarias de carácter fijo y periódico del personal al servicio de la Comunidad Autónoma no incluido en los artículos anteriores experimentarán un incremento del 0,9 por ciento respecto a las vigentes a 31 de diciembre de 2020, sin perjuicio, en su caso, de la adecuación de estas últimas cuando sea necesario para asegurar que la retribución total de cada puesto de trabajo guarde la relación procedente con su especial dificultad técnica, dedicación, responsabilidad, peligrosidad y penosidad.
Dos. El conjunto de las restantes retribuciones complementarias, en su caso, experimentará un incremento del 0,9 por ciento respecto a las vigentes a 31 de diciembre de 2020, sin perjuicio de las modificaciones que se deriven de la variación del número de efectivos asignados a cada programa, del grado de consecución de los objetivos fijados para aquel y del resultado individual de su aplicación.
Tres. Los complementos personales y transitorios y las demás retribuciones que tengan análogo carácter se regirán por su normativa específica y por lo dispuesto en la presente ley.
Cuatro. Las indemnizaciones por razón del servicio se regirán por su normativa específica.
Cinco. Las prestaciones familiares establecidas por la normativa específica del régimen especial de la Seguridad Social de los funcionarios civiles del Estado, de las Fuerzas Armadas y de la Administración de justicia, extensiva, preceptivamente, a determinado personal funcionario de la Comunidad Autónoma, se liquidarán a las personas beneficiarias con arreglo a lo que determinen las leyes anuales de presupuestos generales del Estado o cualquier otra disposición que las regule.
Artículo 26. Complemento personal de las víctimas de violencia de género
Al personal que le sea adjudicado provisionalmente un puesto de trabajo en otra administración pública por razón de violencia de género no podrá percibir retribuciones inferiores a las que tenga asignadas en el puesto de trabajo que desempeñaba en la Xunta de Galicia.
Cuando se produzca esta circunstancia, el personal tendrá derecho a percibir un complemento personal equivalente a la diferencia entre la totalidad de los conceptos retributivos, básicos y complementarios, del puesto de origen, con exclusión de las gratificaciones por servicios extraordinarios, en cómputo anual, y las retribuciones que le correspondan por el puesto que ocupe en la administración de destino.
El reconocimiento del derecho a la percepción de este complemento lo realizará en cada caso la Dirección General de la Función Pública, y será abonado por la consejería en la que desempeñaba el puesto de trabajo desde el que se traslada.
CAPÍTULO III
Otras disposiciones en materia de régimen de personal activo
Artículo 27. Prohibición de ingresos atípicos
El personal comprendido dentro del ámbito de aplicación de la presente ley, con excepción de aquel sometido al régimen de arancel, no podrá percibir ninguna participación en los tributos, comisiones u otros ingresos de cualquier naturaleza que correspondan a la administración o a cualquier poder público como contraprestación de cualquier servicio o jurisdicción, ni participación o premio en multas impuestas aunque estuvieran normativamente atribuidas al mismo, debiendo percibir únicamente las remuneraciones del correspondiente régimen retributivo, sin perjuicio de lo que resulte de la aplicación del sistema de incompatibilidades y de lo dispuesto en la normativa específica sobre disfrute de vivienda en razón del trabajo o cargo desempeñado.
Artículo 28. Relaciones de puestos de trabajo
Uno. Las relaciones de puestos de trabajo podrán modificarse para ejecutar las sentencias judiciales firmes de reconocimiento de una relación laboral de carácter indefinido no fijo que requieran la creación de puestos de trabajo, al no poder adscribir a los afectados a un puesto preexistente que estuviera vacante sin ocupación. Este puesto preexistente deberá ser acorde con la naturaleza funcionarial o laboral en relación con las funciones asignadas por la sentencia judicial firme para poder adscribir al mismo el personal afectado.
Con carácter general, los puestos de trabajo de carácter administrativo de la Administración de la Comunidad Autónoma serán creados como de personal funcionario, salvo que por la naturaleza de sus funciones tengan que ser creados para ser desempeñados por personal laboral, de acuerdo con lo que establece la normativa de función pública.
Su creación se propondrá en el plazo máximo de tres meses, a contar a partir de la fecha de firmeza de la sentencia judicial, y, una vez creado el puesto, se adscribirá provisionalmente a él a la persona afectada por la sentencia y se procederá a continuación a su cobertura mediante los sistemas de selección y provisión legalmente establecidos.
Sin menoscabo de lo anterior, las consejerías y sus organismos dependientes podrán proponer mediante la correspondiente modificación de la relación de puestos de trabajo la amortización de aquellos puestos de trabajo que estimen que no son necesarios para el cumplimiento de las funciones que tienen asignadas.
Dos. Las relaciones de puestos de trabajo vigentes a 1 de enero del año 2021 deberán modificarse para adecuarlas a las previsiones presupuestarias que se deducen del anexo de personal de la presente ley, sin que mientras tanto se puedan proveer, provisional o definitivamente, aquellos puestos para los cuales no estuviera prevista dotación en dicho anexo. En tanto no se realicen las mencionadas adaptaciones, los códigos de línea presupuestaria del anexo de personal solo podrán tener asignados créditos para dotaciones de puestos de trabajo, sustituciones de personal temporal o conceptos retributivos específicos.
Artículo 29. Requisitos para la determinación o modificación de las retribuciones del personal laboral y no funcionario
Uno. Será necesario informe favorable, emitido conjuntamente por la Dirección General de la Función Pública y la Dirección General de Planificación y Presupuestos, para determinar o modificar las condiciones retributivas del personal no funcionario y laboral al servicio del sector público de la Comunidad Autónoma de Galicia delimitado en el apartado uno del artículo 11 de la presente ley.
Dos. Con carácter previo a las negociaciones de convenios o acuerdos colectivos que se celebren en el año 2021, habrá de solicitarse de la Consejería de Hacienda y Administración Pública la correspondiente autorización de masa salarial, que cuantifique el límite máximo de las obligaciones que puedan contraerse como consecuencia de dichos pactos, adjuntando al efecto la certificación de las retribuciones salariales satisfechas y devengadas durante el año 2020.
Cuando a consecuencia de convenios o acuerdos colectivos resulte la obligación de reconocimientos de complementos personales de carácter transitorio, deberá establecerse que estos complementos serán absorbidos por cualquier mejora retributiva que se produzca en los ejercicios sucesivos, incluidas las derivadas del cambio de puesto de trabajo. En ningún caso se considerarán el complemento de antigüedad, el complemento de productividad ni las horas extraordinarias a estos efectos.
Cuando se trate de personal no sujeto a convenio colectivo cuyas retribuciones vengan determinadas en todo o en parte mediante contrato individual, habrán de comunicarse a la Consejería de Hacienda y Administración Pública las retribuciones satisfechas y devengadas durante el año 2020.
Para la determinación de las retribuciones de puestos de trabajo de nueva creación bastará con la emisión del informe al que se refiere el apartado uno de este artículo.
Tres. A efectos de los apartados anteriores, se entenderá por determinación o modificación de las condiciones retributivas del personal no funcionario las siguientes actuaciones:
a) La determinación de las retribuciones de los puestos de nueva creación.
b) La firma de convenios colectivos suscritos por los organismos señalados en el apartado anterior, así como sus revisiones y las adhesiones o extensiones a los mismos.
c) La aplicación de convenios colectivos de ámbito sectorial, así como sus revisiones y las adhesiones o extensiones a los mismos.
d) La fijación de retribuciones mediante contrato individual, ya se trate de personal fijo o contratado por un tiempo determinado, cuando no vengan reguladas en todo o en parte mediante un convenio colectivo.
e) El otorgamiento de cualquier clase de mejoras salariales de tipo unilateral con carácter individual o colectivo, aunque se deriven de la aplicación extensiva del régimen retributivo de los funcionarios públicos.
f) La determinación de las retribuciones correspondientes al personal contratado en el exterior.
Cuatro. A fin de emitir el informe señalado en el apartado uno de este artículo, las consejerías, organismos y entes remitirán a la Dirección General de la Función Pública y a la Dirección General de Planificación y Presupuestos el correspondiente proyecto, con carácter previo a su acuerdo o firma en el caso de los convenios colectivos o contratos individuales, junto con la aportación de la valoración de todos sus aspectos retributivos.
Cinco. El mencionado informe será realizado en el plazo máximo de quince días, a contar desde la fecha de recepción del proyecto y de su valoración, y versará sobre todos aquellos extremos de los que se deriven consecuencias directas o indirectas en materia de gasto público, tanto para el año 2021 como para ejercicios futuros, y especialmente en lo que se refiere a la determinación de la masa salarial correspondiente y al control de su crecimiento.
Seis. Serán nulos de pleno derecho los acuerdos adoptados en esta materia con omisión del trámite de informe o en contra de un informe desfavorable, así como los pactos que impliquen crecimientos salariales para ejercicios sucesivos contrarios a lo que determinen las futuras leyes de presupuestos.
Siete. No podrán autorizarse gastos derivados de la aplicación de las retribuciones para el año 2021 sin el cumplimento de los requisitos establecidos en este artículo.
Artículo 30. Personal directivo de las entidades instrumentales del sector público de la Comunidad Autónoma
Uno. En los contratos laborales del personal de alta dirección de las entidades a las que se refiere este artículo no se podrán fijar indemnizaciones, en razón de la extinción de la relación jurídica con la entidad correspondiente, de cuantía superior a la fijada en la legislación reguladora de esta relación laboral de carácter especial.
Dos. Las personas titulares de los órganos ejecutivos, la dirección o la secretaría general, o los cargos asimilados de las entidades instrumentales señaladas en el artículo 45 de la Ley 16/2010, de 17 de diciembre, de organización y funcionamiento de la Administración general y del sector público autonómico de Galicia, serán nombradas y separadas libremente entre personas que reúnan la cualificación necesaria para el cargo, según se determine en el estatuto de cada entidad, salvo en aquellos supuestos en que sean nombrados por decreto del Consejo de la Xunta de Galicia, al estar así contemplado en la normativa reguladora de la entidad instrumental.
Tres. En tanto no se establezca el régimen jurídico específico del personal directivo, el personal funcionario de carrera o estatutario fijo que desempeñe un puesto de personal directivo profesional en las entidades instrumentales del sector público autonómico, configurado como tal en las relaciones de puestos de trabajo, y siempre que reúna los requisitos establecidos para cada puesto, estará en la situación administrativa que corresponda según el régimen jurídico que le sea de aplicación.
El sistema de provisión para la cobertura de dichos puestos será la libre designación con convocatoria pública, de conformidad con los principios de igualdad, mérito, capacidad y publicidad; todo ello de acuerdo con la normativa de función pública.
Cuando el nombramiento de este personal para desempeñar un puesto directivo en una entidad instrumental del sector público autonómico no modifique su situación administrativa, la asimilación retributiva será la que le corresponda conforme a las cuantías previstas en el anexo del Decreto 119/2012, de 3 de mayo, por el que se regulan las retribuciones y percepciones económicas aplicables a los órganos de gobierno o dirección y al personal directivo de las entidades del sector público autonómico, sin perjuicio de las que le correspondan por la antigüedad a que tenga derecho en su condición de empleada o empleado público en situación de servicio activo.
El nivel de complemento de destino que se tomará como referencia para la consolidación del grado personal del personal funcionario que desempeñe puestos directivos profesionales será el que le corresponda en función del cuadro anexo a la Orden de la Consejería de Hacienda de 19 de junio de 2014, a tenor de la clasificación de la entidad y el nivel de responsabilidad del puesto directivo.
Artículo 31. Nombramiento de profesorado interino a tiempo parcial en centros docentes no universitarios
La Consejería de Cultura, Educación y Universidad podrá efectuar, en los centros docentes no universitarios, el nombramiento de profesorado interino con horarios de trabajo inferiores a los establecidos con carácter general, que percibirá las retribuciones básicas y complementarias de forma proporcional a la jornada trabajada.
La Consejería de Cultura, Educación y Universidad tratará de completar el horario docente del personal interino, compartiendo, si fuera necesario, varios centros de enseñanza, para minimizar de este modo el número de plazas ofertadas según el párrafo anterior.
En caso de ser necesario el nombramiento para plazas a tiempo parcial, se dará preferencia para optar a las mismas al profesorado que voluntariamente quiera acceder a ellas, sobre todo a aquellas personas que aleguen necesidades de conciliación de la vida familiar y laboral.
Artículo 32. Profesores y profesoras de cuerpos docentes
Sin perjuicio de lo establecido con carácter general en el artículo 129 de la Ley 2/2015, de 29 de abril, del empleo público de Galicia, y atendiendo a las peculiaridades del personal docente, reconocidas por el artículo 6.2 de la referida ley, el profesorado del cuerpo docente previsto en el ámbito de gestión de la Consejería de Cultura, Educación y Universidad podrá percibir hasta el total de sus retribuciones, tanto básicas como complementarias, cuando fuese autorizado para el disfrute de licencias por estudios durante el curso escolar, en los supuestos, términos, plazos y condiciones que se determinen por la Consejería de Cultura, Educación y Universidad, previo informe favorable de la Dirección General de la Función Pública y de la Dirección General de Planificación y Presupuestos.
Artículo 33. Personal eventual y de gabinete
Uno. El personal eventual de gabinete de la Administración de la Xunta de Galicia únicamente podrá ser adscrito a los departamentos en los que figuren las personas que formen parte del Consejo del Gobierno gallego.
Dos. Se prohíbe la contratación de personal de gabinete por cualquiera de las entidades instrumentales dependientes de la Xunta de Galicia, así como por parte de sus delegaciones territoriales.
CAPÍTULO IV
Universidades
Artículo 34. Costes de personal máximos de las universidades de Galicia
Uno. En conformidad con lo establecido en el artículo 81.4 de la Ley orgánica 6/2001, de 21 de diciembre, de universidades, y en concordancia con la evolución de la masa salarial del personal al servicio de la Comunidad Autónoma y con la normativa básica en materia de reposición de efectivos, se autorizan para el año 2021 los costes del personal docente e investigador y de administración y servicios de las universidades del Sistema universitario de Galicia en las siguientes cuantías, expresadas en miles de euros:
|
|
Masa salarial |
Seguridad Social |
Total |
|
Santiago de Compostela |
139.854 |
21.784 |
161.638 |
|
A Coruña |
88.815 |
13.312 |
102.127 |
|
Vigo |
93.486 |
14.255 |
107.741 |
|
Total |
322.156 |
49.351 |
371.507 |
Este importe de la masa salarial máxima incluye el importe previsto para la aplicación, en su caso, de un incremento global del 0,9 por ciento en el momento en que lo habilite la normativa de la Administración general del Estado.
En las anteriores cuantías no está incluido el coste del personal investigador de proyectos y contratos de investigación, ni el del personal técnico de apoyo contratado con cargo a esos proyectos y contratos.
Dos. Las retribuciones anuales del personal al servicio de las entidades integrantes del Sistema universitario de Galicia no experimentarán un incremento global superior al del 0,9 por ciento respecto a las vigentes a 31 de diciembre de 2020.
Artículo 35. Retribuciones adicionales del personal al servicio de las entidades integrantes del Sistema universitario de Galicia
El importe de las retribuciones adicionales correspondientes a los complementos retributivos autonómicos vinculados al reconocimiento a la labor docente, a la labor investigadora, por los cargos de gestión y a la excelencia curricular docente e investigadora que, en su caso, correspondan al personal docente e investigador funcionario y contratado doctor no experimentarán un incremento global superior al 0,9 por ciento respecto a las vigentes a 31 de diciembre de 2020.
Artículo 36. Oferta de empleo público u otro instrumento similar de gestión de la provisión de necesidades de personal del Sistema universitario de Galicia
Uno. Las universidades integrantes del Sistema universitario de Galicia, respetando las disponibilidades presupuestarias del capítulo I de los correspondientes presupuestos de gastos, aplicarán la tasa de reposición máxima establecida en la normativa básica dictada al respecto y con sujeción a los límites y requisitos establecidos para los cuerpos de catedráticos y catedráticas de universidad y de profesores y profesoras titulares de universidad, así como las plazas de personal de administración y servicios.
Las correspondientes convocatorias habrán de ser autorizadas por la Consejería de Hacienda y Administración Pública, previa acreditación de que la oferta de empleo público de las mencionadas plazas no afecta al cumplimiento de los objetivos de estabilidad presupuestaria establecidos para la correspondiente universidad ni de los demás límites fijados en la Ley orgánica 2/2012, de 27 de abril, de estabilidad presupuestaria y sostenibilidad financiera.
Dos. Dentro de las cuantías máximas autorizadas en el artículo 34 de la presente ley y de acuerdo con lo que dispone la normativa básica en materia de tasa de reposición de efectivos, las universidades del Sistema universitario de Galicia podrán proceder excepcionalmente a la contratación de personal laboral temporal para cubrir necesidades docentes urgentes e inaplazables.
Se sustituye el régimen de autorización previa conjunta por el de comunicación mensual que determinen las consejerías competentes en materia de universidades y presupuestos. Mediante una resolución de estos centros directivos se podrá volver al sistema anterior en caso de que no se realicen las mencionadas comunicaciones o se incumplan las condiciones recogidas en el párrafo anterior para la suscripción de estos contratos.
TÍTULO III
Operaciones de endeudamiento y garantía
CAPÍTULO I
Operaciones de crédito
Artículo 37. Operaciones de endeudamiento por un plazo superior a un año
Uno. Durante el año 2021 la posición neta deudora de la Comunidad Autónoma podrá incrementarse en una cuantía máxima equivalente al 1,1 por ciento del producto interior bruto de la comunidad autónoma.
A estos efectos, se tomará la posición neta deudora de todos los organismos autónomos, agencias públicas autonómicas y demás entidades instrumentales de cualquier condición que, conforme a la normativa de aplicación en materia de estabilidad presupuestaria, estén incluidos dentro del sector de las administraciones públicas y consoliden su endeudamiento con el de la Comunidad Autónoma con arreglo a las normas del Sistema europeo de cuentas nacionales y regionales.
Al objeto de optimizar la carga financiera global de la Comunidad Autónoma, la posición neta deudora de la Administración general podrá incrementarse con la finalidad de amortizar préstamos de los organismos, entes y sociedades indicados en el párrafo precedente, con el mismo importe que se amortice.
Dos. La posición neta deudora será efectiva al término del ejercicio, podrá ser excedida en el curso del mismo y quedará automáticamente revisada:
a) Por las desviaciones que pudieran surgir entre las previsiones de ingresos contenidas en la presente ley y su evolución real.
b) En las cuantías necesarias para financiar las adquisiciones de activos financieros con destino a sujetos no comprendidos en el apartado 1.b) del artículo 2 de la Ley orgánica 2/2012, de 27 de abril, de estabilidad presupuestaria y sostenibilidad financiera, que pudieran surgir a lo largo del ejercicio.
c) En las cuantías asumidas en concepto de deuda por las variaciones en la composición del sector de la Administración pública de la Comunidad Autónoma de Galicia, en los términos del Sistema europeo de cuentas nacionales y regionales, a consecuencia de que entes que estaban contemplados en el mismo pasan a dejar de estarlo o viceversa, así como por el importe de los créditos comerciales y otras cuentas pendientes de pago financiadas mediante operaciones de factoring sin recurso que deban registrarse contablemente como deuda financiera.
d) En la cuantía máxima del endeudamiento autorizado en la Ley de presupuestos de la Comunidad Autónoma de Galicia del último ejercicio que no hubiera sido utilizado, siempre que estuviera dentro de los límites de endeudamiento autorizados por los acuerdos del Consejo de Política Fiscal y Financiera.
e) Por los anticipos reintegrables o préstamos concertados con otras administraciones públicas para la financiación de inversiones incluidas en planes o programas conjuntos.
f) Por los importes adicionales que se amparen en los acuerdos del Consejo de Política Fiscal y Financiera en materia de endeudamiento.
Tres. En el ámbito de la Administración general, se autoriza a la persona titular de la Consejería de Hacienda y Administración Pública para formalizar las operaciones de endeudamiento a que se refiere este artículo. La formalización podrá realizarse de manera fraccionada, en función de las necesidades de financiación de la Comunidad Autónoma. Estas operaciones podrán instrumentarse mediante la emisión de deuda pública, la concertación de créditos o cualesquiera otros instrumentos financieros disponibles en el mercado.
Igualmente, se faculta para, de acuerdo con las respectivas normas de emisión o contratación, o de mutuo acuerdo con los acreedores, acordar operaciones de canje, conversión, amortización anticipada total o parcial, sustitución, refinanciación o modificar o renegociar las operaciones de endeudamiento ya formalizadas, en orden a conseguir la gestión más adecuada del conjunto del endeudamiento de la Comunidad Autónoma.
Asimismo, podrá acordar operaciones con instrumentos financieros derivados que permitan gestionar el riesgo o la carga financiera de la Comunidad Autónoma.
Cuando a fin de optimizar la carga financiera derivada de la deuda de la Comunidad Autónoma se formalicen operaciones de endeudamiento que tengan por finalidad la amortización total o parcial de operaciones vivas contratadas con anterioridad, la cuantía de dichas amortizaciones anticipadas no computará a efectos del cálculo del límite al que se refiere el artículo 30.2 del Texto refundido de la Ley de régimen financiero y presupuestario de Galicia, aprobado por Decreto legislativo 1/1999, de 7 de octubre.
Cuatro. La Agencia Gallega de Infraestructuras se subrogará en la posición deudora de la Sociedad Pública de Inversiones desde el momento de su liquidación.
Artículo 38. Deuda de la tesorería
Uno. La Comunidad Autónoma, para la atención de necesidades de la Administración general, podrá concertar o emitir operaciones de deuda de tesorería, por plazo inferior a un año, conforme a lo dispuesto en el artículo 31 del Texto refundido de la Ley de régimen financiero y presupuestario de Galicia, aprobado por Decreto legislativo 1/1999, de 7 de octubre, hasta un importe que no supere el quince por ciento de la consignación que figura en el presupuesto de la Administración general como ingresos corrientes incondicionados, entendiendo como tal la suma de los capítulos I, II y III y el concepto 400.
Dos. Se autoriza a la persona titular de la Consejería de Hacienda y Administración Pública a determinar las condiciones concretas y a formalizar estas operaciones de crédito o emisión de deuda pública en cualquiera de sus modalidades.
Tres. No obstante, se atribuye al director o directora general de Política Financiera, Tesoro y Fondos Europeos la facultad de acordar la disposición y reembolso de las operaciones a las que se refiere este artículo.
Artículo 39. Endeudamiento de las entidades instrumentales del sector público
Uno. Para que los organismos autónomos, agencias públicas autonómicas y demás entidades instrumentales de cualquier condición que, de acuerdo con la normativa de aplicación en materia de estabilidad presupuestaria, estén incluidos dentro del sector de las administraciones públicas y consoliden su endeudamiento con el de la Comunidad Autónoma conforme a las normas del Sistema europeo de cuentas nacionales y regionales, así como cualesquiera otras entidades incluidas en el sector de sociedades no financieras dependientes de la Comunidad Autónoma de Galicia, puedan concertar o renovar cualquier tipo de operación de endeudamiento o de cobertura sobre ella, o modificar las condiciones financieras de operaciones de endeudamiento vigentes, deberán contar con la autorización de la Consejería de Hacienda y Administración Pública.
Independientemente de lo anterior, en el caso de operaciones para atender necesidades transitorias de tesorería, su saldo vivo a 31 de diciembre de 2021 no podrá sobrepasar el saldo vivo a 31 de diciembre del ejercicio anterior, excepto autorización expresa de la Consejería de Hacienda y Administración Pública.
Dos. El Instituto Gallego de la Vivienda y Suelo, como medida para facilitar el acceso a la vivienda, podrá concertar con entidades financieras préstamos hipotecarios subrogables con destino a la financiación de actuaciones en materia de vivienda de promoción pública, sin que puedan establecerse cláusulas de las cuales se deriven responsabilidades del referido instituto una vez realizada la subrogación, sin perjuicio de la previsión en los procedimientos de ejecución hipotecaria, de la cesión del remate o de la adjudicación por parte de la entidad financiera ejecutante a favor del Instituto Gallego de la Vivienda y Suelo, cuando fuera imprescindible para garantizar el destino y el régimen legal de la vivienda.
Asimismo, en el supuesto de préstamos directos para la adquisición de viviendas concertadas entre las entidades financieras y los adquirentes de viviendas de promoción pública al amparo de los convenios de financiación firmados por el Instituto Gallego de la Vivienda y Suelo y dichas entidades, podrá establecerse, para los supuestos de ejecución hipotecaria, la cesión del remate o de la adjudicación por parte de la entidad financiera ejecutante a favor del Instituto Gallego de la Vivienda y Suelo, cuando fuera imprescindible para garantizar el destino y el régimen legal de la vivienda.
También se podrá establecer la cesión del remate o de la adjudicación por parte de la entidad financiera ejecutante a favor del Instituto Gallego de la Vivienda y Suelo en los préstamos directos que puedan formalizarse entre las entidades financieras y los adjudicatarios y adjudicatarias que, estando en régimen de alquiler, decidan adquirir las viviendas que han sido cedidas en uso al Instituto Gallego de la Vivienda y Suelo por parte de las entidades financieras y la Sociedad de Gestión de Activos Procedentes de la Reestructuración Bancaria, S.A. (Sareb), al objeto de facilitar el acceso a la propiedad a las actuales personas adjudicatarias.
En ningún caso el importe de los créditos hipotecarios vivos en el año 2021 podrá superar los veinticuatro millones de euros, teniendo en cuenta además que el volumen de la deuda viva al final del ejercicio no excederá el del 31 de diciembre del año anterior, excepto con autorización expresa de la Consejería de Hacienda y Administración Pública.
Tres. El régimen de autorización establecido en los apartados anteriores se realizará a través de la dirección general competente en materia de política financiera.
Las mencionadas entidades dependientes de la Comunidad Autónoma habrán de remitir a la Consejería de Hacienda y Administración Pública, a través de la referida dirección general, en los primeros quince días de cada trimestre, y de conformidad con las instrucciones que esta establezca, la siguiente información relativa al final del trimestre inmediato anterior:
a) El desglose de la situación de endeudamiento, con la desagregación de cada operación financiera.
b) El desglose de las operaciones financieras activas.
Asimismo, las citadas entidades estarán obligadas a remitir cualquier otra información requerida por la Consejería de Hacienda y Administración Pública al objeto de cumplir con las obligaciones de suministro de información que vengan establecidas por el Estado y la Unión Europea.
Artículo 40. Otras operaciones financieras
La formalización de cualquier operación de carácter financiero no referida en los artículos precedentes, como instrumentos de leasing, factoring y otros, por parte de los órganos de la Administración general y de cualquiera de las entidades públicas instrumentales habrá de contar con la correspondiente autorización de la Consejería de Hacienda y Administración Pública, a través de la dirección general competente en materia de política financiera.
CAPÍTULO II
Afianzamiento por aval
Artículo 41. Avales
Uno. Con carácter general y de conformidad con lo dispuesto en el artículo 41 del Texto refundido de la Ley de régimen financiero y presupuestario de Galicia, aprobado por Decreto legislativo 1/1999, de 7 de octubre, el importe máximo de los avales que la Xunta de Galicia podrá conceder durante el año 2021 será de treinta millones de euros.
Dos. Adicionalmente, podrá avalarse el puntual e íntegro cumplimiento de todas las obligaciones financieras y pecuniarias del Instituto Gallego de Promoción Económica que pudieran derivarse de los contratos de financiación firmados con el Banco Europeo de Inversiones.
En los primeros quince días de cada trimestre, el Instituto Gallego de Promoción Económica habrá de remitir a la Consejería de Hacienda y Administración Pública, a través de la Dirección General de Política Financiera, Tesoro y Fondos Europeos, y de conformidad con las instrucciones que esta establezca, la información relativa a las disposiciones, aplicaciones y amortizaciones efectuadas de las operaciones avaladas ante el Banco Europeo de Inversiones.
Tres. Con arreglo a lo dispuesto en el artículo 45 del mismo texto legal, el Instituto Gallego de Promoción Económica podrá conceder durante el año 2021 avales en cuantía que no sobrepasase en ningún momento el saldo efectivo vigente de quinientos millones de euros.
Al objeto de atender a proyectos de ayuda al desarrollo en el exterior, y dentro del saldo indicado en el párrafo anterior, el Instituto Gallego de Promoción Económica podrá avalar operaciones de crédito hasta treinta millones de euros.
Por cada operación de aval y por cada línea o programa de avales se dotará una provisión para atender a posibles fallidos en la cuantía que se determine por la Dirección General de Política Financiera, Tesoro y Fondos Europeos, sea en relación con el importe de la operación individual, sea en consideración al montante total de la línea o programa. El importe de estas provisiones se destinará al Fondo de Garantía de Avales de acuerdo con lo señalado en el apartado i) del artículo 7 de la presente ley.
En los primeros quince días de cada trimestre el Instituto Gallego de Promoción Económica habrá de remitir a la Consejería de Hacienda y Administración Pública, a través de la referida dirección general, y de conformidad con las instrucciones que esta establezca, la información relativa a los avales existentes al final del trimestre inmediato anterior.
Cuatro.
a) El Consejo de la Xunta de Galicia, a propuesta conjunta de la persona titular de la Consejería de Hacienda y Administración Pública y de la consejería a la que esté adscrito el Instituto Gallego de Promoción Económica, podrá acordar, a instancia motivada del Instituto Gallego de Promoción Económica y previa petición de los interesados y del informe de la consejería correspondiente en razón de la materia, la novación de las obligaciones de reintegro derivadas de la ejecución y pago de los avales del Instituto Gallego de Promoción Económica y la suspensión del ejercicio de las acciones de regreso que al amparo del artículo 10.2 del Decreto 284/1994, de 15 de septiembre, de regulación de avales del Instituto Gallego de Promoción Económica, corresponden a la Comunidad Autónoma, cuando se cumplan las siguientes condiciones:
1ª) El ejercicio de la acción de regreso regulada en el artículo 10.2 del Decreto 284/1994, de 15 de septiembre, de regulación de avales del Instituto Gallego de Promoción Económica, afecta grave o sustancialmente al mantenimiento de la actividad productiva o empresarial a la que estén afectos los bienes tomados en contragarantía de los avales, y la valoración que se efectúe de la viabilidad económica de la empresa permite considerar que la continuación de la explotación es más ventajosa para la administración, al permitir recuperar en un mayor grado el importe de sus créditos.
2ª) La parte deudora deberá ofertar un calendario de pagos para el reintegro de las cantidades adeudadas y garantizar estos pagos con iguales garantías que las constituidas inicialmente conforme a lo previsto en la normativa aplicable. El Instituto Gallego de Promoción Económica podrá exigir garantías adicionales en el supuesto de que las inicialmente constituidas resulten insuficientes.
3ª) La novación se justificará en atención a la capacidad económica y previsiones de ingresos del titular de los bienes, al mantenimiento de la actividad productiva o empresarial y del empleo vinculado a esta, y al valor actualizado de los bienes dados en contragarantía. Complementariamente, se tendrán en cuenta circunstancias tales como la promoción de formas asociativas laborales u otras consideraciones socioeconómicas relevantes, las cuales habrán de ser debidamente motivadas. Esta novación podrá incluir quitas o aminoración del importe adeudado, además del aplazamiento del pago. La novación establecerá compromisos determinados en materia de mantenimiento de actividad y empleo, a cargo del beneficiario o beneficiaria.
b) El incumplimiento del calendario de pagos establecido o de los compromisos asumidos en materia de mantenimiento de actividad y empleo supondrá la ineficacia del pacto novatorio y la obligación de reintegro a la Administración autonómica del importe total inicialmente adeudado más los intereses de mora correspondientes, pudiendo establecerse, además, penalidades por incumplimiento.
El incumplimiento supondrá también la incoación de las acciones de regreso que al amparo del artículo 10.2 del Decreto 284/1994 corresponden a la Comunidad Autónoma.
TÍTULO IV
Gestión presupuestaria
Artículo 42. Intervención limitada
La cuantía a la que se refiere el artículo 97.1.a) del Texto refundido de la Ley de régimen financiero y presupuestario de Galicia, aprobado por Decreto legislativo 1/1999, de 7 de octubre, queda establecida en el importe fijado para tener la consideración de contratos menores de suministro en la legislación reguladora de la contratación del sector público.
Artículo 43. Fiscalización de las operaciones de endeudamiento de la Comunidad Autónoma
La intervención previa de los procedimientos de contratación de operaciones de endeudamiento de la Comunidad Autónoma se realizará en el momento procedimental inmediatamente anterior al compromiso que se adquiere con la firma del contrato, comprobándose el cumplimiento de todos los requisitos exigidos para aprobar y comprometer el gasto.
Artículo 44. Fiscalización de nombramientos o contratos para sustituciones de personal
La fiscalización de nombramientos y contratos para sustituciones de personal por razones de necesidad y de urgencia coyuntural se realizará con carácter previo al alta en nómina, mediante la verificación de la adecuación del proceso de selección con la normativa vigente y de la existencia de nombramiento o de contrato, así como de crédito adecuado y suficiente.
Artículo 45. Proyectos de gasto
Uno. La Consejería de Hacienda y Administración Pública podrá agregar las partidas de gasto corriente que constituyan un centro de costes en proyectos de gasto a efectos de asignarles objetivos presupuestarios.
Dos. Las modificaciones de los programas de inversión que impliquen el inicio de nuevos proyectos o la variación de los existentes requerirán la asignación de un nuevo código por la Dirección General de Planificación y Presupuestos de la Consejería de Hacienda y Administración Pública, previa tramitación de la oportuna modificación por el órgano competente según lo previsto en el Texto refundido de la Ley de régimen financiero y presupuestario de Galicia, aprobado por Decreto legislativo 1/1999, de 7 de octubre.
Artículo 46. Autorización del Consejo de la Xunta de Galicia para la tramitación de determinados expedientes
Uno. Requerirá autorización previa por parte del Consejo de la Xunta de Galicia la tramitación de expedientes de contratación y de encomiendas de gestión cuando el valor estimado o el importe del gasto, respectivamente, sea superior a cuatro millones de euros.
Dos. La tramitación de expedientes que conlleve la modificación de convenios que hayan sido previamente autorizados por el Consejo de la Xunta de Galicia requerirá autorización previa del mismo órgano. No obstante, no será precisa esta autorización cuando la modificación no suponga una alteración del objeto ni conlleve incremento del importe total de las obligaciones de contenido económico asumidas por las entidades del sector público autonómico o en el número de ejercicios presupuestarios a los que se imputan dichas obligaciones, siempre y cuando la distribución del importe correspondiente a cada ejercicio respete los límites a los que hace referencia el artículo 58.3 del Texto refundido de la Ley de régimen financiero y presupuestario de Galicia, aprobado por Decreto legislativo 1/1999, de 7 de octubre.
Artículo 47. Transferencias de financiación
Uno. Tienen la consideración de transferencias de financiación las aportaciones en dinero nominativas a favor de los organismos y entidades vinculadas o dependientes de la Administración de la Comunidad Autónoma destinadas a financiar global o parcialmente su actividad con carácter indiferenciado.
Dos. Las aportaciones de naturaleza corriente habrán de librarse con carácter mensual por doceavas partes, salvo que mediante convenio se regule otro régimen diferente de pago. Este convenio deberá someterse a informe de la Intervención General de la Comunidad Autónoma sobre la adecuación del régimen de libramiento propuesto al ritmo de ejecución del gasto corriente de la entidad.
La vigencia de estos convenios se circunscribirá al ejercicio presupuestario.
Tres. Las aportaciones de capital se librarán atendiendo al ritmo de ejecución del gasto de capital de la entidad.
Cuatro. Los convenios que se formalicen para regular el régimen de libramientos de las transferencias de financiación no precisarán de autorización previa del Consejo de la Xunta de Galicia.
Cinco. La Intervención General de la Comunidad Autónoma verificará la correcta aplicación de estas aportaciones mediante el uso de las técnicas de fiscalización y auditoría previstas en el Decreto legislativo 1/1999, de 7 de octubre, por el que se aprueba el Texto refundido de la Ley de régimen financiero y presupuestario de Galicia, y en las normas que la desarrollan.
Artículo 48. Subvenciones nominativas
Uno. No podrán incrementarse los créditos previstos en la presente ley para subvenciones nominativas.
Dos. Los convenios o resoluciones en los que se contemple la concesión de subvenciones nominativas regularán asimismo el régimen de justificación, pagos y anticipos que, en su caso, pudieran librarse. Estos convenios o resoluciones solo necesitarán la autorización previa del Consejo de la Xunta de Galicia cuando de manera excepcional, previa justificación de su ineludible necesidad, establezcan un pago a cuenta o anticipo superior a los permitidos en los artículos 62 y 63 del Decreto 11/2009, de 8 de enero, por el que se aprueba el Reglamento de la Ley de subvenciones de Galicia.
Artículo 49. Concesión directa de ayudas y subvenciones
La resolución de concesión de subvenciones corrientes y de capital que con carácter excepcional se realicen al amparo de lo dispuesto en los artículos 19.4.c) y 26.3 de la Ley 9/2007, de 13 de junio, de subvenciones de Galicia, requerirá autorización del Consejo de la Xunta de Galicia cuando su cuantía sobrepase el importe de seis mil diez euros por beneficiario o beneficiaria y año, o las concedidas por cada departamento de la Administración autonómica excedan globalmente de los sesenta mil cien euros en el ejercicio, exceptuadas las que vayan a ser formalizadas mediante un convenio o instrumento bilateral, a las cuales les será de aplicación el régimen general previsto en el artículo 26.3 de dicha Ley 9/2007. Los importes se elevarán a doce mil euros y ciento veinte mil trescientos euros, respectivamente, para la sección 04, servicio 10, Secretaría General de la Presidencia.
Artículo 50. Simplificación de la acreditación del cumplimiento de las obligaciones con la Administración pública de la Comunidad Autónoma, la Administración del Estado y la Seguridad Social
De acuerdo con lo previsto en el artículo 11 del Decreto 11/2009, de 8 de enero, por el que se aprueba el Reglamento de la Ley de subvenciones de Galicia, la obligatoriedad de presentar la certificación que acredita el cumplimiento de las obligaciones tributarias, con la Seguridad Social y de no tener pendientes de pago deudas con la Administración pública de la Comunidad Autónoma podrá ser reemplazada por la declaración responsable de la persona solicitante de estar al día en el cumplimiento de las obligaciones tributarias o frente a la Seguridad Social, así como de no tener pendiente de pago ninguna otra deuda con la Administración pública de la Comunidad Autónoma en los siguientes casos:
a) Las subvenciones o ayudas que se concedan con cargo al artículo 77 del presupuesto de gastos, cuando no sobrepasasen por beneficiario o beneficiaria y ayuda el importe de mil quinientos euros.
b) Las concedidas a los beneficiarios y beneficiarias para la mejora de la condición de financiación que se paguen a través de las entidades financieras correspondientes.
c) Las ayudas que se concedan para incentivar la contratación de seguros en el sector agrario y acuícola, amparados en el Plan de seguros agrarios combinados.
d) Las ayudas que se concedan con carácter de compensación o indemnizatorio.
Artículo 51. Exoneración de la obligación de constituir garantías para los beneficiarios y beneficiarias de ayudas y subvenciones
De acuerdo con lo previsto en el artículo 65.4 del Decreto 11/2009, de 8 de enero, por el que se aprueba el Reglamento de la Ley de subvenciones de Galicia, quedan exoneradas de la constitución de garantía las universidades públicas y las entidades vinculadas o dependientes de las mismas.
Artículo 52. Pago de las ayudas y subvenciones
El pago, mediante abonos mensuales, de las becas que se concedan a personas físicas beneficiarias directas, destinadas expresamente a financiar estudios e investigación en centros públicos o privados, podrá efectuarse de forma anticipada, con arreglo a lo establecido en el artículo 31.6 de la Ley 9/2007, de 13 de junio, de subvenciones de Galicia.
Artículo 53. Préstamos concedidos con cargo a los presupuestos generales de la Comunidad Autónoma
Uno. Sin perjuicio del análisis de riesgos, competencia y responsabilidad del centro gestor del gasto, será preceptivo y vinculante el informe de la Consejería de Hacienda y Administración Pública para la concesión de préstamos con cargo a los créditos del capítulo VIII de los presupuestos generales de la Comunidad Autónoma.
El citado informe tendrá por objeto determinar el efecto que las condiciones de concesión de los préstamos pudieran tener sobre el cumplimento del objetivo de estabilidad presupuestaria y, en atención a dichas consideraciones, determinará la procedencia de la concesión de las operaciones propuestas.
En el supuesto de préstamos a conceder a través de procedimientos de concurrencia, el citado informe se emitirá en el momento anterior a la aprobación de la convocatoria.
Dos. Las personas beneficiarias de los préstamos deberán acreditar que se encuentran al corriente del pago de las obligaciones de reembolso de cualquier otro préstamo concedido anteriormente con cargo a los presupuestos de la Comunidad Autónoma.
Corresponde al centro gestor del gasto comprobar el cumplimiento de estas condiciones con anterioridad al pago, exigiendo, cuando no pudiera acreditarse de otro modo, una declaración responsable de la persona beneficiaria o certificación del órgano competente si el mismo fuese una administración pública.
Tres. Mediante una orden de la Consejería de Hacienda y Administración Pública podrán dictarse las instrucciones que sean precisas para el cumplimiento de esta disposición.
Artículo 54. Expedientes de dotación artística
Para la aplicación de lo previsto en el artículo 119 de la Ley 5/2016, de 4 de mayo, del patrimonio cultural de Galicia, el porcentaje correspondiente al año 2021 será del dos por ciento, quedando excluidas de la base de aplicación de este porcentaje las obras por importes inferiores a ciento veinte mil euros.
Artículo 55. Módulo económico de distribución de fondos públicos para el sostenimiento de centros concertados
Uno. Con arreglo a lo dispuesto en los apartados 2 y 3 del artículo 117 de la Ley orgánica 2/2006, de 3 de mayo, de educación, el importe del módulo económico por unidad escolar, a efectos de distribución de la cuantía global de los fondos públicos destinados al sostenimiento de los centros concertados para el año 2021, es el fijado en el anexo IV de la presente ley.
Dos. Las retribuciones del personal docente tendrán efectividad desde el 1 de enero de 2021, sin perjuicio de la fecha en la cual se firmen las tablas salariales para 2021 del Convenio colectivo de empresas de la enseñanza privada sostenidas total o parcialmente con fondos públicos. La Administración autonómica podrá aceptar pagos a cuenta, previa solicitud expresa y coincidente de todas las organizaciones patronales y consulta con las sindicales, hasta el momento en que se produzca la firma de las correspondientes tablas, considerándose que estos pagos a cuenta tendrán efecto desde el 1 de enero de 2021.
Las cuantías señaladas para salarios de personal docente, incluidas cargas sociales, serán abonadas directamente por la administración, mediante pago delegado, sin menoscabo de la relación laboral entre el profesorado y el titular del centro respectivo. La distribución de los importes que integran los «Gastos variables» se efectuará de acuerdo con lo establecido en las disposiciones reguladoras del régimen de conciertos.
La administración solo abonará las categorías funcionales directivas de director o directora y jefe o jefa de estudios del centro, así como los trienios de estas dos categorías. No abonará ninguna otra categoría funcional directiva, y singularmente las denominadas «jefaturas de departamento», aunque ello figure expresamente recogido en el convenio colectivo vigente. En el año 2021 la Administración autonómica tampoco celebrará acuerdos ni dictará instrucciones o resoluciones para el abono de la paga extraordinaria por antigüedad en la empresa prevista en el convenio colectivo de empresas de la enseñanza privada sostenidas total o parcialmente con fondos públicos.
Los componentes del módulo destinados a «Otros gastos» y «Personal complementario» tendrán efectos a partir del 1 de enero de 2021.
Las cuantías correspondientes al módulo de «Otros gastos» se abonarán mensualmente, pudiendo los centros justificar su aplicación al finalizar el correspondiente ejercicio económico de forma conjunta para todas las enseñanzas concertadas del centro.
Las cuantías correspondientes al módulo de «Personal complementario» también se abonarán mensualmente, debiendo los centros justificar estos importes al final del ejercicio económico y separadamente del módulo de «Otros gastos».
Tres. Los centros que impartan los cuatro cursos de la educación secundaria obligatoria serán dotados de la financiación de los servicios de orientación educativa. Esta dotación se realizará sobre la base de calcular el equivalente a una jornada completa del o la profesional adecuado a estos cometidos, en función del número de unidades de educación secundaria obligatoria que tenga concertadas el centro y hasta un máximo de veinticinco horas por centro. Los costes de la persona orientadora, que se incluirán en la nómina del pago delegado del centro, serán los correspondientes al salario, gastos variables y complemento retributivo según lo establecido en los módulos económicos por unidad escolar del primer y segundo cursos o del tercer y cuarto cursos de educación secundaria obligatoria, respectivamente.
Cuatro. Se faculta al Consejo de la Xunta de Galicia para fijar las relaciones profesor o profesora por unidad concertada adecuadas para impartir el plan de estudios vigente en cada nivel objeto del concierto, calculadas basándose en las jornadas de profesor o profesora con veinticinco horas semanales.
La administración no asumirá los incrementos retributivos, las reducciones horarias o cualquier otra circunstancia que conduzca a sobrepasar lo previsto para cada centro en los correspondientes módulos económicos, según lo establecido en el anexo IV de la presente ley.
Cinco. La relación profesor o profesora por unidad de los centros concertados podrá ser incrementada en función del número total de profesorado afectado por las medidas de recolocación que hubieran venido adoptándose hasta el momento de la entrada en vigor de la presente ley y se encontrasen en pago delegado.
TÍTULO V
Corporaciones locales
CAPÍTULO I
Financiación y cooperación económica con las corporaciones locales
Artículo 56. Créditos asignados a las corporaciones locales
El monto total de los créditos que se asignan a las corporaciones locales en los estados de gastos que se desglosan en el artículo 2 de la presente ley, derivados de su participación en el Fondo de Cooperación Local y de la celebración de convenios y la concesión de subvenciones, asciende a 407.864.257 euros, con la distribución funcional que figura en el anexo V.
Artículo 57. Dotación y distribución del Fondo de Cooperación Local
Uno. Con arreglo a lo indicado en la disposición adicional quinta de la Ley 14/2010, de 27 de diciembre, de presupuestos generales de la Comunidad Autónoma de Galicia para el año 2011, el porcentaje de participación del Fondo de Cooperación Local en la recaudación líquida de los capítulos I, II y III del presupuesto de ingresos de la Administración general, homogeneizados como se indica en el párrafo siguiente, queda establecida en el 2,3200880 por ciento para el ejercicio de 2021.
El índice de evolución correspondiente a la recaudación de los capítulos I, II y III del presupuesto de ingresos, homogeneizada con las variaciones de los tipos impositivos estatales del impuesto sobre el valor añadido y de los impuestos especiales comunicadas por el Estado en ese ejercicio, es positivo con respecto a la de 2011, que es utilizada en la determinación del porcentaje de participación señalada.
En consecuencia, en el año 2021 se repartirá un fondo adicional entre los municipios, desagregándose el porcentaje de participación de la forma siguiente:
a) El 2,1498845 por ciento corresponde al fondo base.
b) El 0,1702035 por ciento corresponde al fondo adicional.
Dos. El crédito presupuestario inicial destinado al pago de las entregas a cuenta correspondientes a la participación de las entidades locales en los tributos de la Comunidad Autónoma asciende a 121.916.713 euros, de los cuales 112.972.806 euros corresponden al fondo base y 8.943.907 euros al fondo adicional.
Tres. Con anterioridad al reparto del fondo base se deducirá un importe de seiscientos mil euros anuales, que se destinarán a los gastos de mantenimiento propios de la Federación Gallega de Municipios y Provincias. La cantidad restante será objeto de distribución entre todos los municipios de Galicia, conforme a los coeficientes que se establecen en el anexo VI.
Cuatro. Con arreglo al acuerdo alcanzado en la Subcomisión Permanente del Régimen Económico y Financiero de la Comisión Gallega de Cooperación Local, con anterioridad al reparto del fondo adicional se deducirá un importe de 268.907 euros, que se destinará a la Federación Gallega de Municipios y Provincias, al objeto de actualizar las dotaciones financiadoras de sus gastos de funcionamiento. El resto de la dotación de este fondo se repartirá en función de los siguientes criterios:
– ciento cuarenta y cinco mil euros a los municipios con instituciones penitenciarias en su término municipal
– dos millones doscientos treinta mil euros a los municipios de menos de cincuenta mil habitantes que tienen que asumir los gastos de funcionamiento de los centros de salud de su titularidad
– novecientos mil euros a los municipios que tienen que asumir la financiación de los costes de mantenimiento de los conservatorios de grado medio
– un millón quinientos mil euros a los municipios resultantes de un proceso de fusión, en cumplimiento de lo señalado en el artículo 13.uno, apartado a) y f), de la Ley 5/1997, de 22 de julio, reguladora de la Administración local de Galicia. El reparto de este importe se realizará en las condiciones que establezca la consejería competente en materia de Administración local
– un millón doscientos mil euros a los municipios que tienen que asumir la financiación de los servicios de emergencia de carácter supramunicipal
– un millón quinientos mil euros a los municipios que tienen que asumir la financiación de las redes de franjas secundarias de gestión de la biomasa para la prevención de incendios
– un millón doscientos mil euros a los municipios integrados en el Plan de retirada sistemática de nidos de avispón negro (Vespa velutina nigrithorax).
Mediante acuerdo de la Subcomisión Permanente del Régimen Económico y Financiero de la Comisión Gallega de Cooperación Local se determinarán tanto las variables a utilizar en el reparto de cada uno de los bloques señalados en este apartado como los módulos unitarios a considerar en relación con cada una de esas variables, y se señalará la cuantía que corresponde a cada municipio por el fondo adicional de 2021.
Para el caso de los servicios de emergencia de carácter supramunicipal, las redes de franjas secundarias de gestión de la biomasa para la prevención de incendios y el Plan de retirada sistemática de nidos del avispón negro (Vespa velutina nigrithorax), la Administración autonómica podrá optar, de conformidad con lo acordado con la Federación Gallega de Municipios y Provincias, por asumir directamente la gestión de las actuaciones. En este supuesto, las dotaciones antes expresadas y precisas para su financiación se adscribirán a las correspondientes aplicaciones del presupuesto de gastos de las consejerías competentes, por lo que no se precisará su reparto entre los municipios.
Cinco. Lo dispuesto en los apartados uno y tres será de aplicación en la distribución de la entrega a cuenta y de la liquidación definitiva del ejercicio 2021.
En el caso del fondo adicional, si la diferencia entre el importe total de la liquidación definitiva y el correspondiente a las entregas a cuenta realizadas es positiva, esta se distribuirá exclusivamente entre los municipios con población de derecho inferior a quince mil habitantes, de acuerdo con los siguientes criterios de ponderación: habitantes, cincuenta y cinco por ciento; mayores de sesenta y cinco años, diez por ciento; superficie, quince por ciento; núcleos de población, veinte por ciento. Los datos considerados para la aplicación de los criterios previstos en los apartados anteriores serán los oficialmente disponibles a 1 de enero del año 2021.
Las cantidades asignadas a cada municipio en el reparto de este resto del fondo adicional, conforme a los criterios precedentes, se modularán mediante la aplicación, con efectos redistributivos y una ponderación del cinco por ciento, de la variable esfuerzo fiscal, con lo cual se obtienen así las participaciones finales de cada municipio.
El índice de esfuerzo fiscal municipal se obtendrá mediante la aplicación de la siguiente fórmula:
EFM = (RM/RG) – (PM/PG)
en la cual:
– EFM es el índice de esfuerzo fiscal municipal
– RM es la recaudación de los capítulos I, II y III del municipio, excluidos los tributos cedidos por el Estado
– RG es la recaudación de los capítulos I, II y III de todos los municipios, excluidos los tributos cedidos por el Estado
– PM es la población del municipio a 1 de enero del año considerado para la recaudación
– PG es la población de todos los municipios en la misma fecha.
Los datos de recaudación a considerar en el cálculo del índice de esfuerzo fiscal son los correspondientes al último ejercicio disponible por el Consejo de Cuentas a 1 de enero de 2021 que resultasen de la liquidación de los capítulos I, II y III del presupuesto de ingresos de la respectiva entidad local, obtenidos a partir de las cuentas rendidas en plazo y forma, en conformidad con lo exigido por la Ley 6/1985, de 24 de junio, del Consejo de Cuentas.
En caso de que el municipio no hubiera efectuado la rendición de cuentas en plazo y forma, se le atribuirá la recaudación que resultase de aplicar a su población la menor recaudación per cápita de los municipios que la hubiesen presentado.
Seis. Para determinar la liquidación definitiva de 2019 se tomará la recaudación líquida de los capítulos I, II y III del presupuesto de ingresos homogeneizada con las variaciones de los tipos impositivos del impuesto sobre el valor añadido y de los impuestos especiales comunicadas por el Estado como definitivas para ese ejercicio.
En lo referente al fondo base, la distribución de esta liquidación definitiva se realizará aplicando a cada municipio el coeficiente de reparto y las reglas de distribución que le han correspondido en la entrega a cuenta del ejercicio que se liquida.
En el caso del fondo adicional, la diferencia entre la liquidación definitiva que le corresponde y el importe de la entrega a cuenta se distribuirá entre los municipios con población de derecho inferior a quince mil habitantes, de acuerdo con los criterios establecidos para estos municipios en el artículo 57.cinco de la Ley 2/2018, de 28 de diciembre, de presupuestos generales de la Comunidad Autónoma de Galicia para el año 2019.
Siete. Cuando en el transcurso del ejercicio se ponga fin a procedimientos de fusión o de incorporación de municipios, el municipio resultante de la fusión o incorporación percibirá la suma de las entregas a cuenta correspondientes a cada municipio fusionado o incorporado y, en su caso, las liquidaciones definitivas que para cada uno de ellos se satisfagan en el año 2021. Del mismo modo, el municipio resultante de estos procedimientos tendrá derecho a percibir la suma de las liquidaciones que por el ejercicio 2021 correspondan a los municipios fusionados o incorporados.
Artículo 58. Transferencias derivadas de convenios o subvenciones
Las transferencias a las entidades locales de Galicia derivadas de la celebración de convenios o de la concesión de subvenciones, que figuran recogidas en los diferentes programas de los estados de gastos que se desglosan en el artículo 2 de la presente ley, ascienden a 280.806.347 euros, con la distribución funcional que figura en el anexo VII.
CAPÍTULO II
Procedimiento de compensación y retención del Fondo de Cooperación Local
Artículo 59. Deudas objeto de compensación
Uno. Las cantidades que correspondan a cada municipio como participación en el Fondo de Cooperación Local serán susceptibles de compensación con las deudas vencidas, líquidas y exigibles que tengan contraídas con la Comunidad Autónoma y las entidades instrumentales del sector público autonómico que actúen en el ejercicio de sus potestades administrativas.
Dos. En particular, podrán ser objeto de compensación las cantidades vencidas, líquidas y exigibles adeudadas a la Administración de la Comunidad Autónoma y a las entidades instrumentales del sector público autonómico que actúen en el ejercicio de sus potestades administrativas, como daños y perjuicios derivados del incumplimiento de convenios administrativos de colaboración.
A estos efectos, se entenderá que son líquidas las cantidades que la Comunidad Autónoma haya abonado a terceros a consecuencia del incumplimiento del convenio por la entidad local. Estas cantidades se comunicarán al municipio, adjuntando las facturas u otros documentos que acrediten los gastos realizados, y tras la audiencia de este se aprobarán por resolución motivada.
Tres. Además, podrán ser objeto de compensación con la participación en el Fondo de Cooperación Local las aportaciones de los municipios que, en virtud de convenio con la Xunta de Galicia y sus entidades instrumentales, tengan la condición de vencidas, líquidas y exigibles.
Cuatro. Por último, podrán ser objeto de retención las cantidades que las entidades locales municipales deban satisfacer a las mancomunidades a las que pertenezcan de acuerdo con lo dispuesto en la legislación de la Administración local. También las que deban satisfacerse a otras mancomunidades, municipios y consorcios que gestionen servicios en común, a consecuencia de su obligación de participar en la financiación y mantenimiento de estos servicios y siempre que así se estableciera de forma expresa en el instrumento regulador firmado entre las partes, y que este instrumento fuera comunicado, con carácter previo a su firma, a la consejería competente en materia de hacienda para que autorizase la utilización del procedimiento de compensación.
Artículo 60. Procedimiento para la compensación de las deudas y posterior retención en las entregas a cuenta
Uno. En caso de deudas vencidas, líquidas y exigibles con la Xunta de Galicia, sus organismos autónomos, agencias públicas y demás entidades instrumentales del sector público autonómico que actúen en ejercicio de potestades administrativas, el procedimiento de retención se iniciará a solicitud del órgano al que correspondiera la competencia en el procedimiento ejecutivo de recaudación de la deuda, el cual previamente habrá dictado el oportuno acuerdo de compensación de la misma y se lo habrá notificado al municipio deudor.
En este supuesto, corresponderá al órgano encargado de la gestión del Fondo de Cooperación Local dictar el acuerdo de retención, tanto en las entregas a cuenta del fondo a realizar al municipio deudor durante el ejercicio corriente como en la liquidación definitiva anual del mismo que se realice durante dicho ejercicio, habida cuenta de lo establecido en el artículo siguiente en cuanto al orden de prelación de deudas en los supuestos de concurrencia.
Dos. El procedimiento previsto en el apartado anterior también será de aplicación a las deudas incluidas en el apartado tres del artículo 59. No obstante, cuando el propio convenio contemplara expresamente la posibilidad de realizar la retención en el Fondo de Cooperación Local, el procedimiento se limitará a lo señalado respecto al acuerdo de retención.
Tres. En caso de deudas con entidades locales que no dependen de la Comunidad Autónoma, el procedimiento de retención se iniciará a solicitud del alcalde o alcaldesa o del presidente o presidenta de la entidad local acreedora de la deuda, quien adjuntará a esta solicitud la certificación de su responsable de recaudación, en la que se haga constar la denominación, el concepto y el importe de la deuda cuya retención se solicita, así como la fecha en que se produjo el vencimiento del periodo de pago comunicado para hacerla efectiva. Además, a la solicitud se le incorporará una copia compulsada del documento (estatutos de la entidad, convenio de prestación de servicios o cualquier otro) del que dimane la vinculación jurídica entre las partes y ampare la obligatoriedad de la deuda reclamada, adjuntándose asimismo el plan de pagos que se propone.
En este supuesto, corresponderá al órgano encargado de la gestión del Fondo de Cooperación Local dictar el acuerdo de retención, tanto en las entregas a cuenta del fondo a realizar al municipio deudor durante el ejercicio corriente como en la liquidación definitiva anual del mismo que se realice durante dicho ejercicio, habida cuenta de lo establecido en el artículo siguiente en cuanto al orden de prelación de deudas en supuestos de concurrencia.
Artículo 61. Orden de prelación en la concurrencia de deudas
Uno. Cuando concurran varias deudas a satisfacer por el mismo municipio, la retención se practicará teniendo en cuenta el siguiente orden de prelación:
1) la deuda correspondiente a la liquidación anual del Fondo de Cooperación Local, cuando esta tuviese carácter negativo
2) las restantes deudas previstas en el artículo 59.
Dos. En caso de que la liquidación anual del Fondo de Cooperación Local al municipio tenga carácter negativo, se procederá a su retención, por partes iguales en las entregas a cuenta correspondientes a las cuatro mensualidades inmediatamente siguientes al conocimiento de la liquidación, pudiendo alcanzar hasta el cien por cien de la cuantía asignada a cada entrega a cuenta.
Si la cuantía de esta liquidación negativa sobrepasase el importe de esas cuatro mensualidades, continuará practicándose la retención, conforme a las condiciones anteriormente señaladas, en las mensualidades sucesivas hasta que se extinga la deuda.
Tres. Cuando el importe que haya de la liquidación anual de carácter negativo lo permita y en el acuerdo de retención concurran otras deudas previstas en el artículo 59, la retención, hasta la extinción total de las deudas, podrá alcanzar hasta el cien por cien de la cuantía asignada, tanto en cada entrega a cuenta como en la liquidación definitiva anual correspondiente a la participación en el fondo, al respectivo municipio. Esta retención será de aplicación a las deudas siguiendo estrictamente el orden de prelación establecida en este artículo.
Cuatro. Si en el acuerdo de retención existiera la concurrencia de las deudas previstas en el grupo 2 del apartado uno de este artículo, y cuando la cuantía de todas ellas sobrepasase la cantidad máxima susceptible de retención, esta se prorrateará entre aquellas en función de sus importes.
Cinco. La cuantía a retener en el conjunto del ejercicio podrá reducirse cuando se justificase la existencia de graves desfases de tesorería generados por la prestación de aquellas obligaciones relativas a:
– el cumplimiento regular de las obligaciones de personal
– la prestación de los servicios públicos obligatorios en función del número de habitantes del municipio
– la prestación de servicios sociales, protección civil y extinción de incendios, para cuya realización no se exija contraprestación alguna en forma de precio público o tasa equivalente al coste del servicio realizado.
En ningún caso podrá establecerse un porcentaje de retención para el conjunto de las restantes deudas previstas en el apartado uno de este artículo inferior al cincuenta por ciento de la entrega a cuenta o de la liquidación definitiva anual correspondiente al municipio.
En los procedimientos de reducción del porcentaje de retención, el órgano gestor del Fondo de Cooperación Local dictará la resolución correspondiente, teniendo en cuenta la situación financiera de la entidad y la necesidad de garantizar la prestación de los servicios públicos obligatorios.
Para ello, la entidad local deberá aportar, con carácter imprescindible y no exclusivo:
– un certificado expedido por los órganos de recaudación de las entidades acreedoras por el cual se acredite haber atendido al pago de las obligaciones corrientes en los doce meses precedentes al mes inmediato anterior a la fecha de la solicitud de la certificación
– un informe de la situación financiera actual suscrito por el interventor o interventora local, que incluya el cálculo del remanente de tesorería en la fecha de solicitud de la reducción del porcentaje de retención y ponga de manifiesto los términos en que dicha situación afecta al cumplimiento de las obligaciones contempladas en el párrafo primero de este apartado.
– un plan de saneamiento, aprobado por el pleno, que incluya el ejercicio en curso.
En la resolución se fijará el periodo de tiempo en el cual el porcentaje de retención habrá de ser reducido, sin que quepa la extensión del mismo más allá de la finalización del ejercicio económico. En todo caso, tal reducción estará condicionada a la aprobación por la entidad local de un plan de saneamiento o a la verificación del cumplimiento de otro en curso.
Seis. Las deudas objeto de retención en un ejercicio que no se hubieran extinguido al término del mismo recibirán, dentro del grupo al que se refiere el apartado uno de este artículo, tratamiento preferente para el ejercicio siguiente, de modo que las deudas pertenecientes al mismo grupo, cuya compensación se solicitase en ese ejercicio, concurrirán con aquellas solo cuando la aplicación de los límites porcentuales que, en cada caso, contemple este artículo lo permitiera.
Siete. Las resoluciones en las cuales se declara la extinción de las deudas con cargo a las cantidades que se hubiesen retenido corresponderán, en cada caso, al órgano legalmente competente que tenga atribuida la gestión recaudatoria, de acuerdo con la normativa específica de aplicación, surtiendo sus efectos, en la parte concurrente de la deuda, desde el momento en que se efectuó la retención.
TÍTULO VI
Normas tributarias
CAPÍTULO I
Tributos propios
Artículo 62. Criterios de afectación de determinados tributos
Uno. La totalidad de los ingresos previstos por el impuesto sobre el daño medioambiental causado por determinados usos y aprovechamientos del agua embalsada, establecido por Ley 15/2008, de 19 de diciembre, financiará actuaciones comprendidas en los programas 541B, 541D y 551B, en concreto los gastos de inversión destinados al saneamiento, protección y mejora del medio natural, así como la realización de transferencias para llevar a cabo obras y servicios hidráulicos.
Dos. La mitad de la dotación anual, que con los recursos del canon eólico corresponde al Fondo de Compensación Ambiental, establecido por Ley 8/2009, de 22 de diciembre, financiará los gastos de inversión consignados en los programas 541B, 541D, 551B y 733A, así como en este último programa los gastos correspondientes con lo señalado en el artículo 13.cuatro.c).
Disposición adicional primera. Información al Parlamento
Uno. La Consejería de Hacienda y Administración Pública facilitará mensualmente a la Comisión de Economía, Hacienda y Presupuestos del Parlamento, en un soporte informático apto para el tratamiento de los datos, la información referida a las siguientes actuaciones:
a) Las ampliaciones de crédito realizadas para atender al pago de obligaciones derivadas de quiebras de operaciones de crédito avaladas por la Comunidad Autónoma.
b) Las operaciones de endeudamiento por un plazo superior a un año, formalizadas por la Comunidad Autónoma, sus organismos autónomos, las agencias públicas autonómicas o restantes entidades instrumentales del sector público autonómico, con arreglo a las autorizaciones contenidas en la presente ley.
c) Los avales amortizados, pagos efectuados por fallidos, importes recuperados y riesgo acumulado, tanto en lo que respecta a los avales concedidos por la Comunidad Autónoma como a los concedidos por las entidades instrumentales del sector público autonómico, tales como el Instituto Gallego de Promoción Económica, XesGalicia o Sodiga.
d) La enumeración nominal e individualizada de las concesiones de subvenciones o ayudas autorizadas por el Consejo de la Xunta de Galicia a las que se refiere el artículo 26.3 de la Ley 9/2007, de 13 de junio, de subvenciones de Galicia.
Dos. La Consejería de Hacienda y Administración Pública facilitará trimestralmente a la Comisión de Economía, Hacienda y Presupuestos del Parlamento, en un soporte informático apto para el tratamiento de los datos, la información referida a la siguiente actuación:
a) Las autorizaciones de revisiones de precios en conciertos o convenios que superen el incremento del índice de precios al consumo.
Tres. La Consejería de Hacienda y Administración Pública comunicará a la Comisión de Economía, Hacienda y Presupuestos del Parlamento, en un plazo de treinta días:
a) La realización de las adaptaciones técnicas de los presupuestos autorizadas conforme a lo previsto en el apartado p) del artículo 5 de esta ley.
b) Las modificaciones efectuadas conforme a lo indicado en el artículo 9.
c) Los presupuestos de los organismos autónomos, agencias públicas autonómicas, entidades públicas empresariales y sociedades mercantiles públicas autonómicas que pudieran entrar en funcionamiento a lo largo de 2021.
Cuatro. La Sociedad Pública de Inversiones de Galicia, S.A., o entidad que se subrogue en su posición, comunicará mensualmente a la Comisión de Economía, Hacienda y Presupuestos del Parlamento los planes económico-financieros que suscribiese en el desarrollo de su actividad.
Disposición adicional segunda. Presupuesto inicial de las agencias públicas autonómicas y requisitos de creación
Uno. Para las agencias públicas que puedan constituirse hasta el 31 de diciembre del año 2021 y asuman funciones de otros centros directivos, organismos o entidades, el Consejo de la Xunta de Galicia, a propuesta de la persona titular de la Consejería de Hacienda y Administración Pública y a iniciativa de la consejería de la que dependa la agencia pública, establecerá las dotaciones de su presupuesto inicial, las cuales habrán de remitirse para su conocimiento al Parlamento de Galicia.
El presupuesto se financiará mediante la aminoración de los créditos que tenga atribuidos el centro, organismo o entidad cuyas funciones asuma, sin que suponga un incremento del gasto público, teniendo la vinculación presupuestaria establecida para agencias en la normativa vigente en materia de régimen financiero y presupuestario de Galicia.
Dos. No obstante, cuando la agencia que se constituya asuma en su totalidad funciones de un organismo autónomo, se procederá a la adaptación del presupuesto del organismo a lo previsto para las agencias en la normativa vigente en materia de régimen financiero y presupuestario de Galicia, de conformidad con lo siguiente:
a) La vinculación del presupuesto a partir de la entrada en vigor del estatuto de la agencia será la prevista para las agencias en la normativa vigente en materia de régimen financiero y presupuestario de Galicia.
b) Para incorporar al presupuesto del organismo los recursos y dotaciones correspondientes a las operaciones comerciales que, en su caso, realice, se tramitará un expediente de modificación presupuestaria que autorizará la persona titular de la Consejería de Hacienda y Administración Pública, manteniéndose el equilibrio presupuestario.
Tres. En caso de que por las fechas de aprobación de los estatutos o por cualquier otra circunstancia que dificulte la aplicación de lo dispuesto en los apartados anteriores se considerase procedente no alterar durante el año 2021 la estructura y régimen presupuestario de los centros u organismos afectados, esta circunstancia se hará constar en el decreto por el que se apruebe el correspondiente estatuto.
Disposición adicional tercera. Autorización de presupuestos en entidades instrumentales de nueva creación
Se autoriza al Consejo de la Xunta de Galicia, a propuesta de la Consejería de Hacienda y Administración Pública, a aprobar los presupuestos de explotación y capital de las entidades públicas instrumentales con presupuesto estimativo que se constituyan o entren en funcionamiento a lo largo del año 2021, y tales presupuestos habrán de remitirse al Parlamento de Galicia.
Disposición adicional cuarta. Adecuación de los estados financieros de las entidades instrumentales
Los órganos de gobierno de las entidades públicas empresariales, sociedades mercantiles públicas autonómicas, fundaciones del sector público autonómico y demás entidades con presupuesto estimativo incluidas en el ámbito de aplicación de la presente ley deberán adecuar los presupuestos de explotación y capital y demás estados financieros a las transferencias de financiación consignadas en los estados de gastos de esta ley, en el plazo de un mes desde la entrada en vigor de esta norma.
Disposición adicional quinta. Remisión y control de información económico-financiera
Uno. Todas las entidades pertenecientes al sector público autonómico, según la definición que realiza la Ley 16/2010, de 17 de diciembre, de organización y funcionamiento de la Administración general y del sector público autonómico de Galicia, así como todas las entidades clasificadas como «administraciones públicas», según la definición que realiza el Sistema europeo de cuentas estatales y regionales (SEC2010), están obligadas a remitir a la Intervención General de la Comunidad Autónoma la información prevista en la Ley orgánica 2/2012, de 27 de abril, de estabilidad presupuestaria y sostenibilidad financiera, y en su normativa de desarrollo, en los términos y plazos que les sean requeridos por esta.
Las entidades no incluidas en el párrafo anterior, cualquiera que sea su forma y naturaleza jurídica, que tengan su sede en la comunidad autónoma de Galicia están obligadas a remitir a la Intervención General de la Comunidad Autónoma la información que esta les requiera a efectos de analizar su posible clasificación como «administración pública», según los criterios fijados en el Sistema europeo de cuentas estatales y regionales (SEC2010).
Dos. A efectos de garantizar la exactitud y coordinación de la información económico-financiera suministrada por la Administración general y los organismos autónomos, la Intervención General de la Comunidad Autónoma verificará mediante técnicas de auditoría que los datos e información con trascendencia económica proporcionados por los órganos gestores como soporte de la información contable reflejen razonablemente las operaciones derivadas de su actividad. La Intervención General de la Comunidad Autónoma establecerá el procedimiento, alcance y periodicidad de las actuaciones que hayan de desarrollarse.
Las auditorías de las cuentas anuales de las agencias públicas autonómicas y consorcios adscritos a la Comunidad Autónoma serán realizadas por la Intervención General de la Comunidad Autónoma de conformidad con el procedimiento previsto en el título V del Texto refundido de la Ley de régimen financiero y presupuestario de Galicia, aprobado por Decreto legislativo 1/1999, de 7 de octubre.
Para la ejecución de las auditorías de cuentas anuales, la Intervención General de la Comunidad Autónoma podrá, en caso de insuficiencia de medios propios disponibles, solicitar la colaboración de empresas privadas de auditoría, que deberán ajustarse a las normas e instrucciones que determine aquella. La contratación de la colaboración en los trabajos de auditoría de cuentas anuales de las agencias y consorcios que en cada caso se señale la realizará la Consejería de Hacienda y Administración Pública.
Toda contratación de empresas privadas de auditoría, en el ámbito señalado anteriormente, deberá ir precedida, con carácter anual, de una orden por parte de la Consejería de Hacienda y Administración Pública, en la cual se especificará la insuficiencia de los servicios de la Intervención General de la Comunidad Autónoma que justifique dicha contratación.
Los auditores y auditoras que sean contratados no podrán serlo mediante contrataciones sucesivas para la realización de trabajos sobre una misma entidad por más de diez años. Posteriormente no podrán ser contratados de nuevo hasta que hayan transcurrido dos años desde la finalización del periodo anterior. Transcurridos cinco años desde el contrato inicial, será obligatoria para las sociedades de auditoría o los auditores contratados la rotación de los auditores responsables principales de los trabajos contratados, quienes no podrán intervenir en la realización de trabajos sobre la entidad hasta haber transcurrido tres años desde la finalización del periodo de cinco años antes referido, en el caso en el que siga vigente el periodo máximo de contratación.
Las sociedades de auditoría o los auditores y auditoras de cuentas individuales concurrentes en relación con cada trabajo para adjudicar no podrán ser contratados cuando, en el año anterior a aquel en que van a desarrollar su trabajo o en ese mismo año, hayan realizado o realicen otros trabajos para la entidad, sobre áreas o materias respeto a las cuales deba pronunciarse el auditor o auditora en su informe.
En el ejercicio de sus funciones de control, la Intervención General de la Comunidad Autónoma podrá acceder a los papeles de trabajo que hayan servido de base a los informes de auditoría de cuentas del sector público de la Comunidad Autónoma realizados por auditores y auditoras privados.
Disposición adicional sexta. Porcentajes de gastos generales de estructura de contrato de obra
En virtud de la previsión establecida en el artículo 131.1 del Reglamento general de la Ley de contratos de las administraciones públicas, aprobado por Real decreto 1098/2001, de 12 de octubre, se determina, con carácter uniforme para todos los contratos de obra que concierten los órganos de contratación de la Administración general de la Comunidad Autónoma y de su sector público, la siguiente distribución de los gastos generales de estructura que sobre ellos inciden:
a) El trece por ciento en concepto de gastos generales de la empresa, gastos financieros, cargas fiscales (impuesto sobre el valor añadido excluido), tasas de la administración, que inciden sobre el coste de las obras, y los demás derivados de las obligaciones del contrato.
b) El seis por ciento en concepto de beneficio industrial del contratista.
Disposición adicional séptima. Enajenación de suelo empresarial por el Instituto Gallego de la Vivienda y Suelo
Se autoriza al Instituto Gallego de la Vivienda y Suelo, en los supuestos de enajenación de terrenos destinados a la creación de suelo industrial y residencial, así como a parcelas o polígonos empresariales o residenciales terminados que se realicen a favor de las sociedades públicas con participación mayoritaria por el anterior organismo, para que la enajenación pueda efectuarse con pago aplazado no superior a diez años y sin repercusión de intereses.
Disposición adicional octava. Adaptación del título II de la presente ley a lo establecido en la normativa básica estatal
Uno. Las retribuciones del personal del sector público recogidas en el anexo de personal para el año 2021, salvo para determinados supuestos contemplados en el artículo 18, recogen la previsión de un incremento retributivo del 0,9 por ciento; sin embargo, este importe no será de aplicación hasta que se habilite por la normativa de la Administración general del Estado.
La consejería competente en materia de hacienda llevará a cabo las gestiones necesarias para hacer efectivo los aumentos retributivos, en su límite máximo, habilitados por la normativa básica estatal como máximo en el mes siguiente, a contar desde la notificación de la autorización estatal que la faculte para implantarlos.
Dos. La aplicación de lo dispuesto en el artículo 12 de la presente ley en relación con la oferta pública de empleo u otro instrumento similar de gestión de la provisión de necesidades de personal será efectiva en el momento en que entre en vigor la correspondiente normativa de la Administración general del Estado.
Disposición adicional novena. Retribuciones de los consejos de administración
En el año 2021 las retribuciones de los consejos de administración de las sociedades mercantiles públicas o de las entidades públicas empresariales no experimentarán incremento respecto a las vigentes a 31 de diciembre de 2020.
Las retribuciones de los miembros del Consejo de Administración de la Corporación Radio e Televisión de Galicia, S.A., deberán ajustarse a lo establecido en el Acuerdo del Consejo de la Xunta de Galicia de 21 de enero de 2016.
Disposición adicional décima. Modificación de las plantillas del Servicio Gallego de Salud
Corresponde al Servicio Gallego de Salud la autorización de las modificaciones, dentro de cada centro de gestión, de las plantillas de personal estatutario, de personal MIR/EIR (personal médico y enfermero interno residente en formación) y de cualquier otro tipo de personal de instituciones sanitarias dependientes del organismo no incluido en las relaciones de puestos de trabajo, siempre que la modificación acordada no supusiera un incremento de los créditos del artículo correspondiente de dicho centro.
En idénticas condiciones corresponde al Servicio Gallego de Salud la autorización de la modificación prevista en el párrafo anterior de las plantillas de personal funcionario sanitario pertenecientes a las clases de médicos y médicas, practicantes y matrones y matronas titulares.
En todo caso, se dará cuenta a la Consejería de Hacienda y Administración Pública una vez tramitada la correspondiente modificación.
Disposición adicional undécima. Medidas con relación al V Convenio colectivo único para el personal laboral de la Xunta de Galicia y el Acuerdo por el que se establecen las condiciones especiales de trabajo del personal del Servicio de Prevención y Defensa contra los Incendios Forestales de la Xunta de Galicia
Durante el año 2021 quedará suspendida la aplicación del artículo 19 del V Convenio colectivo único para el personal laboral de la Xunta de Galicia. Además, durante las épocas de peligro bajo, quedará suspendido el primer párrafo del apartado 3.3.8 del Acuerdo por el que se establecen las condiciones especiales de trabajo del personal del Servicio de Prevención y Defensa contra los Incendios Forestales (SPDCIF) de la Xunta de Galicia.
Disposición adicional duodécima. Centros concertados
Uno. En el ámbito de la enseñanza privada concertada se mantiene la suspensión del Acuerdo de 24 de abril de 2008 por el que se autoriza la firma del acuerdo entre la Consejería de Cultura, Educación y Ordenación Universitaria, las organizaciones patronales y las organizaciones sindicales de la enseñanza privada concertada de la Comunidad Autónoma de Galicia sobre condiciones laborales y la calidad de la enseñanza, publicado mediante Resolución de 15 de mayo de 2008, en lo relativo a lo establecido en su cláusula tercera sobre el incremento interanual del dos por ciento en el complemento retributivo de la Comunidad Autónoma y el incremento de cuarenta y cinco euros brutos mensuales para todo el profesorado en pago delegado y jornada completa.
Dos. En el caso de los centros concertados, los módulos económicos para su sostenimiento, que se publican como anexo IV de la presente ley, recogen un incremento del 0,9 por ciento respecto a los vigentes a 31 de diciembre de 2020. No obstante, este incremento no será de aplicación hasta que se aprueben los módulos estatales de distribución de fondos públicos para el sostenimiento de los centros concertados para el año 2021. Si los módulos estatales establecieran una variación porcentual distinta, se aplicará el mismo porcentaje a los módulos vigentes a 31 de diciembre de 2020.
Si durante el ejercicio 2021 se aplicara cualquier otra variación adicional de los módulos estatales, también será de aplicación a los módulos vigentes en ese momento en la Comunidad Autónoma de Galicia.
Estas variaciones no serán de aplicación al incremento de treinta euros por mes por profesor o profesora, en catorce mensualidades, en el complemento retributivo de la Comunidad Autónoma, establecidos en la Resolución de 30 de noviembre de 2018, de la Dirección General de Centros y Recursos Humanos, por la que se da publicidad al Acuerdo el Consejo de la Xunta de Galicia de 15 de noviembre de 2018 por el que se aprueba el acuerdo conseguido el 5 de noviembre de 2018 entre la Consejería de Educación, Universidad y Formación Profesional y las organizaciones patronales CECE-Galicia, Educación y Gestión (Escuelas Católicas), ACES-Galicia y las organizaciones sindicales FSIE-Galicia, CCOO-Enseñanza, UGT-Galicia y USO sobre incremento salarial del personal docente de la enseñanza concertada en régimen de pago delegado.
Disposición adicional decimotercera. Normas de especial aplicación en materia de recursos educativos complementarios de enseñanza pública
Con arreglo a lo dispuesto en la disposición adicional decimotercera de la Ley 6/2019, de 23 de diciembre, de presupuestos generales de la Comunidad Autónoma de Galicia para el año 2020, en el ejercicio económico 2021 se procederá al pago de la segunda mitad de las actualizaciones de los precios aplicables a los contratos, convenio y demás expedientes de gasto que dan soporte a los recursos educativos de la enseñanza pública gallega.
Este pago derivado de las variaciones positivas y negativas de los precios al consumo (IPC gallego) se realizará a las empresas que tuvieran derecho al mismo con cargo a la partida presupuestaria 10.10.423A.223.08 del presupuesto de gastos del ejercicio 2021 de la Consejería de Cultura, Educación y Universidad, de acuerdo con las formalidades económico-administrativas que dicho departamento determine, hasta un máximo de 3.102.213,28 euros, como cuantía global inclusiva de todos los pagos que hubiera que realizar en ese ejercicio económico.
Los precios de los contratos en 2021 serán actualizados, en nómina ordinaria o extraordinaria, con el porcentaje de la alteración a la que ascienda la tasa de variación anual del IPC gallego de 2020, a aplicar sobre los precios base del ejercicio 2020 sin actualizaciones, de acuerdo con lo previsto en la normativa contractual que resulte de aplicación, multiplicado por los días de prestación del servicio durante el año 2021, precios que, en todo caso, serán los existentes a 31 de diciembre de 2020.
Disposición adicional decimocuarta. Prestaciones extraordinarias para personas beneficiarias de pensiones y subsidios no contributivos
En el año 2021 las personas beneficiarias de pensiones de jubilación e invalidez en su modalidad no contributiva, de pensiones del Fondo de Asistencia Social y del subsidio de garantía de ingresos mínimos tendrán derecho a la percepción de una prestación única no superior a doscientos diez euros, en las condiciones que establezca el Consejo de la Xunta de Galicia a propuesta de la consejería con competencias en materia de bienestar social.
Disposición adicional decimoquinta. Prestación de ayuda económica a través de la Tarjeta Bienvenida
Las familias que en el año 2021 tengan un hijo o hija o adopten un niño o niña tendrán derecho a percibir una ayuda económica de mil doscientos euros durante un año en las condiciones que se establezcan por la consejería con competencia en materia de bienestar social. En caso de adopción o guarda con fines adoptivos, el derecho a la percepción de la ayuda se producirá desde el mes en el que se emita la resolución administrativa o judicial.
Para aquellas familias con renta igual o inferior a veintidós mil euros, la ayuda se ampliará en el segundo año de vida y hasta que el niño o niña cumpla tres años, o hasta que se cumplan tres años del fallo de la correspondiente resolución para los supuestos de adopción o guarda con fines adoptivos.
La ayuda se ampliará en las siguientes cuantías:
a) Seiscientos euros por año, a razón de cincuenta euros por mes, si el hijo o hija que da derecho a la ayuda es el primero.
b) Mil doscientos euros por año, a razón de cien euros por mes, si el hijo o hija que da derecho a la ayuda es el segundo.
c) Dos mil cuatrocientos euros por año, a razón de doscientos euros por mes, si el hijo o hija que da derecho a la ayuda es el tercero o sucesivos.
Para las familias que residan en el rural y las que tengan el tercer hijo o hija y sucesivos, la ayuda se incrementará en las condiciones que establezca la Consejería de Política Social.
Disposición adicional decimosexta. Habilitación para efectuar modificaciones presupuestarias
Se autoriza a la Consejería de Hacienda y Administración Pública para:
1) Efectuar las modificaciones precisas para adaptar las partidas presupuestarias financiadas con fondos REACT-EU a la naturaleza de las actuaciones de gasto que finalmente se contemplen en los proyectos del programa operativo.
2) Generar crédito en base a los importes efectivamente asignados a la Administración autonómica, financiados por los nuevos fondos contemplados en el instrumento Next Generation EU (Próxima Generación UE), gestionados por la Administración general del Estado o directamente por la Comisión Europea.
3) Realizar las retenciones de crédito que fueran precisas en las diferentes secciones presupuestarias y transferir su importe al programa 621B «Imprevistos y funciones no clasificadas», en caso de nuevos episodios de emergencia sanitaria.
4) A efectos del cálculo del límite de compromisos de gasto para ejercicios futuros a que se refiere el apartado 3 del artículo 58 del Texto refundido de la Ley de régimen financiero y presupuestario de Galicia, no formará parte del crédito inicial a considerar la parte financiada con las modalidades 1013, 1016, 4190 y 4390 de los fondos extraordinarios COVID-19 y REACT-UE.
Disposición transitoria primera. Adecuación de las entidades públicas instrumentales
Lo dispuesto en la presente ley para las entidades incluidas en el apartado cinco de la disposición transitoria tercera de la Ley 16/2010, de 17 de diciembre, de organización y funcionamiento de la Administración general y del sector público autonómico de Galicia, será de aplicación a las agencias públicas autonómicas que resulten de la adaptación de sus normas estatutarias de organización y funcionamiento.
Disposición transitoria segunda. Dotación del fondo de contingencia
La dotación del fondo de contingencia de ejecución presupuestaria al que se refiere el artículo 55 bis del Texto refundido de la Ley de régimen financiero y presupuestario de Galicia, aprobado por Decreto legislativo 1/1999, de 7 de octubre, se realizará gradualmente durante el periodo de consolidación presupuestaria. Para el año 2021, la dotación será de 45.417.175 euros, pudiendo emplearse para financiar necesidades inaplazables no previstas en el presupuesto inicial en cualquier capítulo del presupuesto consolidado.
Disposición transitoria tercera. Fondo consenso
A efectos de cerrar un modelo consensuado de salida de la crisis, se crea un fondo en la sección 23, dotado con el importe equivalente al uno por ciento del gasto no financiero primario, destinado a financiar proyectos de inversión que colaboren a impulsar la recuperación económica compatibles con el modelo de crecimiento que diseña el Plan estratégico de Galicia, a partir de las transiciones ecológica y digital, la innovación y la cohesión social y territorial, que se formulen en el seno de la Comisión no permanente especial de estudio sobre la reactivación económica, social y cultural de Galicia por la crisis del COVID-19, en el marco del Dialogo social de Galicia o por el Comité de Expertos Económicos de Galicia.
Disposición final primera. Desarrollo de la ley
Se faculta a la Xunta de Galicia para dictar las disposiciones necesarias para el desarrollo y ejecución de cuanto se prevé en la presente ley.
Disposición final segunda. Vigencia
Las disposiciones de la presente ley tendrán vigencia exclusiva para el año 2021.
Disposición final tercera. Entrada en vigor
La presente ley entrará en vigor el día siguiente de su publicación en el Diario Oficial de Galicia, excepto el artículo 11, el capítulo II y el capítulo IV del título II y el artículo 55, que tendrán efectos económicos desde el día 1 de enero de 2021.
Santiago de Compostela, veintiocho de enero de dos mil veintiuno
Alberto Núñez Feijóo
Presidente
ANEXO I
Artículo 3.uno
|
Entidades públicas empresariales |
Explotación |
Capital |
|
Portos de Galicia |
17.048 |
18.442 |
|
Augas de Galicia |
33.481 |
95.418 |
|
Total |
50.528 |
113.859 |
|
(Miles de euros) |
||
Artículo 3.dos
|
Consorcios autonómicos |
Explotación |
Capital |
|
Agencia de Protección de la Legalidad Urbanística |
3.852 |
1.983 |
|
Consorcio Gallego de Servicios de Igualdad y Bienestar |
88.884 |
4.496 |
|
Agencia para la Calidad del Sistema Universitario de Galicia |
1.299 |
22 |
|
Consorcio Extensión Universitaria y Divulgación Ambiental de Galicia |
838 |
54 |
|
Consorcio para la gestión y explotación de la red básica de abastecimiento de agua a los municipios de Cervo y Burela |
386 |
|
|
Consorcio Casco Viejo de Vigo |
475 |
2.583 |
|
Consorcio Local de Os Peares |
71 |
4 |
|
Total |
95.805 |
9.142 |
|
(Miles de euros) |
||
Artículo 3.tres
|
Sociedades mercantiles públicas autonómicas |
Explotación |
Capital |
|
Redes de Telecomunicación Galegas, S.A. |
8.595 |
500 |
|
Sociedade Pública de Investimentos de Galicia, S.A. |
3.611 |
1.810 |
|
Sodiga Galicia, Sociedade de Capital Risco, S.A. |
1.006 |
|
|
XesGalicia, Sociedade Xestora de Entidades Capital Risco, S.A. |
2.230 |
20 |
|
Galicia Calidade, S.A. |
774 |
6 |
|
Parque Tecnolóxico de Galicia, S.A. |
1.507 |
53 |
|
Sociedade Anónima de Xestión do Plan Xacobeo, S.A. |
6.261 |
|
|
Empresa Pública de Servizos Agrarios Galegos, S.A. |
16.438 |
|
|
Xenética Fontao, S.A. |
3.942 |
380 |
|
Galaria Empresa Pública de Servizos Sanitarios, S.A. |
15.334 |
4.055 |
|
Sociedade Galega de Medio Ambiente, S.A. |
101.363 |
17.935 |
|
Gestión do Solo de Galicia – Xestur, S.A. |
31.957 |
12 |
|
Corporación Radio e Televisión de Galicia, S.A. |
101.512 |
8.839 |
|
Total |
294.532 |
33.610 |
|
(Miles de euros) |
||
Artículo 3.cuatro
|
Fundaciones del sector público autonómico |
Explotación |
Capital |
|
Fundación Instituto Gallego de Oftalmología |
1.279 |
74 |
|
Fundación Pública Ciudad de la Cultura de Galicia |
7.868 |
9.400 |
|
Fundación Pública Urgencias Sanitarias de Galicia 061 |
74.336 |
|
|
Fundación Pública Gallega de Medicina Genómica |
4.800 |
1.425 |
|
Fundación Galicia Europa |
759 |
4 |
|
Fundación Pública Gallega para la Tutela de Personas Adultas |
1.295 |
5 |
|
Fundación Semana Verde de Galicia |
2.904 |
|
|
Fundación Centro Gallego de Artesanía y Diseño |
684 |
5 |
|
Fundación Centro Tecnológico Supercomputación de Galicia |
2.462 |
23.002 |
|
Fundación Exposiciones y Congresos de A Estrada |
206 |
|
|
Fundación Ferias y Exposiciones de Lugo |
520 |
29 |
|
Fundación Ferias y Exposiciones de Ourense |
1.315 |
30 |
|
Instituto Ferial de A Coruña |
420 |
|
|
Fundación Centro Tecnológico de la Carne |
2.255 |
450 |
|
Fundación Pública Gallega Rof Codina |
1.921 |
10 |
|
Fundación Deporte Gallego |
3.990 |
10 |
|
Fundación Centro Tecnológico del Mar |
4.097 |
|
|
Fundación Gallega Formación para el Trabajo |
627 |
1 |
|
Fundación Camilo José Cela |
289 |
2 |
|
Total |
112.028 |
34.446 |
|
(Miles de euros) |
||
ANEXO II
Artículo 3.cinco
|
Entidades públicas empresariales |
Subvenciones |
Subvenciones |
|
Portos de Galicia |
0 |
8.351 |
|
Augas de Galicia |
0 |
68.927 |
|
Total |
0 |
77.278 |
|
(Miles de euros) |
||
|
Sociedades mercantiles públicas autonómicas |
Subvenciones |
Subvenciones |
|
Sociedade Pública de Investimentos de Galicia, S.A. |
0 |
10.566 |
|
Galicia Calidade, S.A. |
395 |
220 |
|
Parque Tecnolóxico de Galicia, S.A. |
628 |
545 |
|
Sociedade Anónima de Xestión do Plan Xacobeo, S.A. |
5.869 |
0 |
|
Empresa Pública de Servizos Agrarios Galegos, S.A. |
0 |
7.750 |
|
Xenética Fontao, S.A. |
150 |
0 |
|
Galaria Empresa Pública de Servizos Sanitarios, S.A. |
15.589 |
3.000 |
|
Xestión do Solo de Galicia – Xestur, S.A. |
20 |
8.000 |
|
Corporación Radio e Televisión de Galicia, S.A. |
0 |
250 |
|
Total |
22.650 |
30.331 |
|
(Miles de euros) |
||
ANEXO III
Artículo 5.e)
Distribución de tasas y precios (euros)
|
Secciones |
Tasas |
Precios |
Total |
|
Vicepresidencia primera y Consejería de Presidencia, Justicia y Turismo |
2.172.460 |
85.000 |
2.257.460 |
|
Vicepresidencia segunda y Consejería de Economía, Empresa e Innovación |
3.117.445 |
1.750.000 |
4.867.445 |
|
Consejería de Hacienda y Administración Pública (Selección personal) |
102.102 |
102.102 |
|
|
Consejería de Hacienda y Administración Pública (Otras) |
73.522 |
73.522 |
|
|
Consejería de Medio Ambiente, Territorio y Vivienda |
2.582.625 |
221.500 |
2.804.125 |
|
Consejería de Infraestructuras y Movilidad |
3.737.712 |
3.737.712 |
|
|
Consejería de Cultura, Educación y Universidad |
1.970.684 |
8.447.300 |
10.417.984 |
|
Consejería de Empleo e Igualdad |
44.409 |
44.409 |
|
|
Consejería de Sanidad |
2.708.837 |
2.708.837 |
|
|
Consejería de Política Social |
41.075 |
17.147.858 |
17.188.933 |
|
Consejería del Medio Rural (Productos y aprovechamientos forestales) |
1.000.000 |
1.000.000 |
|
|
Consejería del Medio Rural (Otros) |
1.182.211 |
206.000 |
1.388.211 |
|
Consejería del Mar |
982.605 |
166.781 |
1.149.386 |
|
Total |
18.715.687 |
29.024.439 |
47.740.126 |
ANEXO IV
Artículo 55
Conforme a lo dispuesto en ese artículo, los importes anuales y eldesglose de los módulos económicos por unidad escolar en los centros concertados de los distintos niveles y modalidades educativas quedan establecidos con efectos del 1 de enero, y hasta el 31 de diciembre de 2021, de la siguiente manera:
• Educación infantil:
(Ratio profesor/a/unidad: 1,08:1)
|
Salarios de personal docente, incluidas cargas sociales |
34.206,84 |
|
|
Gastos variables |
4.423,03 |
|
|
Complemento retributivo de la Comunidad Autónoma, incluidas cargas sociales |
7.737,48 |
|
|
Otros gastos |
6.646,80 |
|
|
Importe total anual |
53.014,15 |
|
• Educación primaria:
Centros de hasta seis unidades de primaria
(Ratio profesor/a/unidad: 1,40:1)
|
Salarios de personal docente, incluidas cargas sociales |
44.342,19 |
|
|
Gastos variables |
5.733,56 |
|
|
Complemento retributivo de la Comunidad Autónoma, incluidas cargas sociales |
10.030,06 |
|
|
Otros gastos |
6.646,80 |
|
|
Importe total anual |
66.752,61 |
|
Centros de más de seis unidades de primaria
(Ratio profesor/a/unidad: 1,36:1)
|
Salarios de personal docente, incluidas cargas sociales |
43.075,28 |
|
|
Gastos variables |
5.569,75 |
|
|
Complemento retributivo de la Comunidad Autónoma, incluidas cargas sociales |
9.743,50 |
|
|
Otros gastos |
6.646,80 |
|
|
Importe total anual |
65.035,33 |
|
• Educación especial (niveles obligatorios y gratuitos):
I. Educación básica primaria:
(Ratio profesor/a/unidad: 1,12:1)
|
Salarios de personal docente, incluidas cargas sociales |
35.473,77 |
|
|
Gastos variables |
4.586,85 |
|
|
Complemento retributivo de la Comunidad Autónoma, incluidas cargas sociales |
8.024,03 |
|
|
Otros gastos |
7.086,36 |
|
|
Importe total anual |
55.171,01 |
|
|
Personal complementario (logopedas, fisioterapeutas, ayudantes técnicos educativos, psicólogo/a-pedagogo/a, trabajador/a social, maestro/a especialidad de Audición y Lenguaje y cuidador/a), según deficiencias: |
|
|
Psíquicos |
21.911,38 |
|
Autistas o problemas graves de personalidad |
25.304,02 |
|
Auditivos |
20.387,67 |
|
Plurideficientes |
25.304,02 |
II. Programas de formación para la transición a la vida adulta
(Ratio profesor/a/unidad: 2:1)
|
Salarios de personal docente, incluidas cargas sociales |
63.345,98 |
|
|
Gastos variables |
5.373,51 |
|
|
Complemento retributivo de la Comunidad Autónoma, incluidas cargas sociales |
14.328,64 |
|
|
Otros gastos |
9.973,23 |
|
|
Importe total anual |
93.021,36 |
|
|
Personal complementario (logopedas, fisioterapeutas, ayudantes técnicos educativos, psicólogo/a-pedagogo/a, trabajador/a social, maestro/a especialidad de Audición y Lenguaje y cuidador/la), según deficiencias: |
|
|
Psíquicos |
34.984,55 |
|
Autistas o problemas graves de personalidad |
38.902,38 |
|
Auditivos |
27.106,09 |
|
Plurideficientes |
38.902,38 |
Educación secundaria obligatoria:
I. Primero y segundo cursos:
Centros de hasta cuatro unidades de ESO
(Ratio profesor/a/unidad: 1,56:1)
|
Salarios de personal docente, incluidas cargas sociales |
58.022,41 |
|
|
Gastos variables |
10.583,96 |
|
|
Complemento retributivo de la Comunidad Autónoma, incluidas cargas sociales (*) |
14.218,61 |
|
|
Otros gastos |
8.624,60 |
|
|
Importe total anual |
91.449,58 |
|
Centros de más de cuatro unidades de ESO
(Ratio profesor/a/unidad: 1,52:1)
|
Salarios de personal docente, incluidas cargas sociales |
56.534,64 |
|
|
Gastos variables |
10.312,60 |
|
|
Complemento retributivo de la Comunidad Autónoma, incluidas cargas sociales (*) |
13.854,05 |
|
|
Otros gastos |
8.624,60 |
|
|
Importe total anual |
89.325,89 |
|
II. Tercero y cuarto cursos:
Centros de hasta cuatro unidades de ESO
(Ratio profesor/a/unidad: 1,84:1)
|
Salarios de personal docente, incluidas cargas sociales |
68.436,70 |
|
|
Gastos variables |
12.483,63 |
|
|
Complemento retributivo de la Comunidad Autónoma, incluidas cargas sociales |
13.427,21 |
|
|
Otros gastos |
9.513,73 |
|
|
Importe total anual |
103.861,27 |
|
Centros de más de cuatro unidades de ESO
(Ratio profesor/a/unidad: 1,66:1)
|
Salarios de personal docente, incluidas cargas sociales |
61.741,81 |
|
|
Gastos variables |
11.262,44 |
|
|
Complemento retributivo de la Comunidad Autónoma, incluidas cargas sociales |
12.113,69 |
|
|
Otros gastos |
9.513,73 |
|
|
Importe total anual |
94.631,67 |
|
Ciclos formativos:
(Ratio profesor/a/unidad grado medio: 1,52:1)
(Ratio profesor/a/unidad grado superior: 1,52:1)
I. Salarios de personal docente, incluidas cargas sociales:
|
Grupo 1. Ciclos formativos de grado medio de 1.300 a 1.700 horas: |
|
|
Primer curso |
55.189,59 |
|
Segundo curso |
0,00 |
|
Grupo 2. Ciclos formativos de grado medio de 2.000 horas: |
|
|
Primer curso |
55.189,59 |
|
Segundo curso |
55.189,59 |
|
Grupo 3. Ciclos formativos de grado superior de 1.300 a 1.700 horas: |
|
|
Primer curso |
55.189,59 |
|
Segundo curso |
0,00 |
|
Grupo 4. Ciclos formativos de grado superior de 2.000 horas: |
|
|
Primer curso |
55.189,59 |
|
Segundo curso |
55.189,59 |
II. Gastos variables:
|
Grupo 1. Ciclos formativos de grado medio de 1.300 a 1.700 horas: |
|
|
Primer curso |
7.080,07 |
|
Segundo curso |
0,00 |
|
Grupo 2. Ciclos formativos de grado medio de 2.000 horas: |
|
|
Primer curso |
7.080,07 |
|
Segundo curso |
7.080,07 |
|
Grupo 3. Ciclos formativos de grado superior de 1.300 a 1.700 horas: |
|
|
Primer curso |
7.620,43 |
|
Segundo curso |
0,00 |
|
Grupo 4. Ciclos formativos de grado superior de 2.000 horas: |
|
|
Primer curso |
7.620,43 |
|
Segundo curso |
7.620,43 |
III. Complemento retributivo de la Comunidad Autónoma, incluidas cargas sociales
|
Ciclos formativos de grado medio |
11.092,05 |
|
Ciclos formativos de grado superior |
11.092,05 |
IV. Otros gastos:
|
Grupo 1. Ciclos formativos de: |
|
|
Animación turística |
|
|
Conducción de actividades físico-deportivas en el medio natural |
|
|
Estética personal decorativa |
|
|
Higiene bucodental |
|
|
Química ambiental |
|
|
Primer curso |
11.199,39 |
|
Segundo curso |
2.606,59 |
|
Grupo 2. Ciclos formativos de: |
|
|
Cuidados auxiliares de enfermería |
|
|
Comercio |
|
|
Curtidos |
|
|
Documentación sanitaria |
|
|
Fabricación de productos farmacéuticos y afines |
|
|
Laboratorio de imagen |
|
|
Laboratorio |
|
|
Buceo a media profundidad |
|
|
Molinería e industrias cerealistas |
|
|
Procesos de ennoblecimiento textil |
|
|
Secretariado |
|
|
Servicios al consumidor |
|
|
Gestión comercial y marketing |
|
|
Primer curso |
13.605,27 |
|
Segundo curso |
2.606,59 |
|
Grupo 3. Ciclos formativos de: |
|
|
Industrias de proceso de pasta y papel |
|
|
Operaciones de ennoblecimiento textil |
|
|
Operaciones de fabricación de productos farmacéuticos |
|
|
Operaciones de transformación de plásticos y caucho |
|
|
Plástico y caucho |
|
|
Transformación de madera y corcho |
|
|
Primer curso |
16.181,87 |
|
Segundo curso |
2.606,59 |
|
Grupo 4. Ciclos formativos de: |
|
|
Calzado y marroquinería |
|
|
Encuadernados y manipulados de papel y cartón |
|
|
Fabricación y transformación de productos de vidrio |
|
|
Fundición |
|
|
Impresión en artes gráficas |
|
|
Operaciones de fabricación de vidrio y transformados |
|
|
Procesos textiles de hilatura y tejeduría de calada |
|
|
Procesos textiles de tejeduría de punto |
|
|
Producción de hilatura y tejeduría de calada |
|
|
Producción de tejidos de punto |
|
|
Tratamientos superficiales y térmicos |
|
|
Primer curso |
18.713,45 |
|
Segundo curso |
2.606,59 |
|
Grupo 5. Ciclos formativos de: |
|
|
Animación sociocultural |
|
|
Asesoría de imagen personal |
|
|
Integración social (plan antiguo) |
|
|
Radioterapia |
|
|
Realización y planes de obra |
|
|
Primer curso |
11.199,39 |
|
Segundo curso |
4.215,16 |
|
Grupo 6. Ciclos formativos de: |
|
|
Aceite de oliva y vinos |
|
|
Actividades comerciales |
|
|
Administración de aplicaciones multiplataforma |
|
|
Administración de sistemas informáticos en red |
|
|
Administración de sistemas informáticos |
|
|
Administración y finanzas |
|
|
Anatomía patológica y citodiagnóstico |
|
|
Anatomía patológica y citología |
|
|
Animación sociocultural y turística |
|
|
Aprovechamiento y conservación del medio natural |
|
|
Asesoría de imagen personal y corporativa |
|
|
Asistencia a la dirección |
|
|
Atención a personas en situación de dependencia |
|
|
Atención sociosanitaria |
|
|
Audiología protésica |
|
|
Agencias de viajes y gestión de eventos |
|
|
Calzado y complementos de moda |
|
|
Caracterización y maquillaje profesional |
|
|
Caracterización |
|
|
Comercio internacional |
|
|
Conducción de vehículos de transporte por carretera |
|
|
Construcción |
|
|
Coordinación de emergencias y protección civil |
|
|
Desarrollo de aplicaciones multiplataforma |
|
|
Desarrollo de aplicaciones web |
|
|
Desarrollo de productos de carpintería y mueble |
|
|
Desarrollo de proyectos urbanísticos y operaciones topográficas |
|
|
Diseño y producción de calzado y complementos |
|
|
Diseño técnico en textil y piel |
|
|
Dietética |
|
|
Dirección de cocina |
|
|
Dirección de servicios de restauración |
|
|
Documentación y administración sanitarias |
|
|
Educación infantil |
|
|
Elaboración de productos alimenticios |
|
|
Electromedicina clínica |
|
|
Emergencias y protección civil |
|
|
Emergencias sanitarias |
|
|
Estética y belleza |
|
|
Estética integral y bienestar |
|
|
Estética |
|
|
Estilismo y dirección de peluquería |
|
|
Fabricación de productos farmacéuticos, biotecnológicos y afines |
|
|
Fabricación y ennoblecimiento de productos textiles |
|
|
Farmacia y parafarmacia |
|
|
Ganadería y asistencia en sanidad animal |
|
|
Guía de información y asistencia turísticas |
|
|
Higiene bucodental |
|
|
Imagen para el diagnóstico y medicina nuclear |
|
|
Imagen para el diagnóstico |
|
|
Integración social |
|
|
Interpretación de la lengua de signos |
|
|
Laboratorio de diagnóstico clínico y biomédico |
|
|
Laboratorio de diagnóstico clínico |
|
|
Laboratorios de análisis y de control de calidad |
|
|
Marketing y publicidad |
|
|
Mediación comunicativa |
|
|
Navegación y pesca del litoral |
|
|
Navegación, pesca y transporte marítimo |
|
|
Obras de albañilería |
|
|
Obras de hormigón |
|
|
Operación y mantenimiento de maquinaria de construcción |
|
|
Operaciones de laboratorio |
|
|
Óptica de anteojos |
|
|
Organización y control de obras de construcción |
|
|
Ortoprotésica |
|
|
Ortoprótesis y productos de apoyo |
|
|
Paisajismo y medio rural |
|
|
Panadería, repostería y confitería |
|
|
Peluquería estética y capilar |
|
|
Peluquería |
|
|
Pesca y transporte marítimo |
|
|
Planta química |
|
|
Prevención de riesgos profesionales |
|
|
Producción de audiovisuales y espectáculos |
|
|
Producción de audiovisuales, radio y espectáculos |
|
|
Promoción de igualdad de género |
|
|
Proyectos de edificación |
|
|
Proyectos de obra civil |
|
|
Química y salud ambiental |
|
|
Química industrial |
|
|
Radiodiagnóstico y densitometría |
|
|
Salud ambiental |
|
|
Servicios en restauración |
|
|
Termalismo y bienestar |
|
|
Trabajos forestales y de conservación del medio natural |
|
|
Transporte y logística |
|
|
Transporte marítimo y pesca de altura |
|
|
Vestuario a medida y de espectáculos |
|
|
Jardinería y floristería |
|
|
Gestión administrativa |
|
|
Gestión de alojamientos turísticos |
|
|
Gestión de ventas y espacios comerciales |
|
|
Gestión del transporte |
|
|
Gestión y organización de empresas agropecuarias |
|
|
Gestión y organización de recursos naturales y paisajísticos |
|
|
Gestión forestal y del medio natural |
|
|
Primer curso |
10.091,81 |
|
Segundo curso |
12.179,73 |
|
Grupo 7. Ciclos formativos de |
|
|
Acabados de construcción |
|
|
Automatización y robótica industrial |
|
|
Centrales eléctricas |
|
|
Cocina y gastronomía |
|
|
Confección y moda |
|
|
Desarrollo de productos electrónicos |
|
|
Educación y control medioambiental |
|
|
Energías renovables |
|
|
Equipos electrónicos de consumo |
|
|
Instalaciones de telecomunicaciones |
|
|
Instalaciones eléctricas y automáticas |
|
|
Mantenimiento aeromecánico de aviones con motor de pistón |
|
|
Mantenimiento aeromecánico de aviones con motor de turbina |
|
|
Mantenimiento aeromecánico de helicópteros con motor de pistón |
|
|
Mantenimiento aeromecánico de helicópteros con motor de turbina |
|
|
Mantenimiento de aviónica |
|
|
Mantenimiento de embarcaciones de recreo |
|
|
Mantenimiento de estructuras de madera y mobiliario de embarcaciones de recreo |
|
|
Mantenimiento de sistemas electrónicos y aviónicos de aeronaves |
|
|
Mantenimiento y control de la maquinaria de buques y embarcaciones |
|
|
Mantenimiento electrónico |
|
|
Montaje de estructuras e instalaciones de sistemas aeronáuticos |
|
|
Obras de interior, decoración y rehabilitación |
|
|
Operación, control y mantenimiento de maquinaria e instalaciones del buque |
|
|
Operaciones subacuáticas e hiperbáricas |
|
|
Organización y mantenimiento de maquinaria de buques y embarcaciones |
|
|
Patronaje y moda |
|
|
Producción agroecológica |
|
|
Producción agropecuaria |
|
|
Prótesis dentales |
|
|
Sistemas de regulación y control automáticos |
|
|
Sistemas electrotécnicos y automatizados |
|
|
Sistemas microinformáticos y redes |
|
|
Supervisión y control de máquinas e instalaciones del buque |
|
|
Primer curso |
12.416,89 |
|
Segundo curso |
14.165,72 |
|
Grupo 8. Ciclos formativos de: |
|
|
Acondicionamiento físico |
|
|
Actividades ecuestres |
|
|
Animación de actividades físicas y deportivas |
|
|
Animaciones 3D, juegos y entornos interactivos |
|
|
Artista fallero y construcción de escenografías |
|
|
Automoción |
|
|
Carpintería y mueble |
|
|
Carrocería |
|
|
Conformado por moldeo de metales y polímeros |
|
|
Desarrollo de proyectos de instalaciones térmicas y fluidos |
|
|
Diseño y amueblamiento |
|
|
Diseño y edición de publicaciones impresas y multimedia |
|
|
Diseño y producción editorial |
|
|
Diseño y gestión de la producción gráfica |
|
|
Diseño en fabricación mecánica |
|
|
Eficiencia energética y energía solar térmica |
|
|
Electromecánica de maquinaria |
|
|
Electromecánica de vehículos automóviles |
|
|
Enseñanza y animación sociodeportiva |
|
|
Excavaciones y sondeos |
|
|
Fabricación a medida e instalación de madera y mueble |
|
|
Guía en el medio natural y tiempo libre |
|
|
Iluminación, captación y tratamiento de la imagen |
|
|
Imagen |
|
|
Instalación y amueblamiento |
|
|
Instalaciones de producción de calor |
|
|
Instalaciones frigoríficas y de climatización |
|
|
Mantenimiento aeromecánico |
|
|
Mantenimiento de instalaciones térmicas y de fluidos |
|
|
Piedra natural |
|
|
Producción de madera y mueble |
|
|
Producción en industrias de artes gráficas |
|
|
Producción por fundición y pulvimetalurgia |
|
|
Programación de la producción en fabricación mecánica |
|
|
Programación de la producción en moldeo de metales y polímeros |
|
|
Realización de audiovisuales y espectáculos |
|
|
Realización de proyectos de audiovisuales y espectáculos |
|
|
Redes y estaciones de tratamiento de aguas |
|
|
Sistemas de telecomunicación e informáticos |
|
|
Sonido en audiovisuales y espectáculos |
|
|
Sonido |
|
|
Vídeo, disc jockey y sonido |
|
|
Gestión de aguas |
|
|
Primer curso |
14.594,93 |
|
Segundo curso |
16.186,87 |
|
Grupo 9. Ciclos formativos de: |
|
|
Acuicultura |
|
|
Construcciones metálicas |
|
|
Cultivos acuícolas |
|
|
Desarrollo y fabricación de productos cerámicos |
|
|
Fabricación de productos cerámicos |
|
|
Impresión gráfica |
|
|
Instalación y mantenimiento electromecánico de maquinaria y conducción de líneas |
|
|
Mantenimiento de equipo industrial |
|
|
Mantenimiento de material rodante ferroviario |
|
|
Mantenimiento electromecánico |
|
|
Mantenimiento ferroviario |
|
|
Mecanizado |
|
|
Mecatrónica industrial |
|
|
Postimpresión y acabados gráficos |
|
|
Preimpresión digital |
|
|
Preimpresión en artes gráficas |
|
|
Procesos de calidad en la industria alimentaria |
|
|
Producción acuícola |
|
|
Soldadura y calderería |
|
|
Vitivinicultura |
|
|
Joyería |
|
|
Primer curso |
16.873,79 |
|
Segundo curso |
18.089,85 |
Formación profesional básica:
(Ratio profesor/a/unidad: 1,44:1)
|
I. Salarios de personal docente, incluidas cargas sociales |
52.284,88 |
|
II. Gastos variables |
6.707,44 |
|
III. Complemento retributivo de la Comunidad Autónoma, incluidas cargas sociales |
10.578,87 |
|
IV. Otros gastos (primero y segundo cursos): |
|
|
Acceso y conservación de instalaciones deportivas |
9.473,54 |
|
Actividades agropecuarias |
10.643,87 |
|
Actividades de panadería y pastelería |
10.643,87 |
|
Actividades domésticas y limpieza de edificios |
10.643,87 |
|
Actividades pesqueras |
13.124,91 |
|
Agrojardinería y composiciones florales |
10.643,87 |
|
Alojamiento y lavandería |
9.982,03 |
|
Aprovechamientos forestales |
10.643,87 |
|
Arreglo y reparación de artículos textiles y de piel |
9.473,54 |
|
Artes gráficas |
12.253,54 |
|
Carpintería y mueble |
11.556,72 |
|
Cocina y restauración |
10.643,87 |
|
Electricidad y electrónica |
10.643,87 |
|
Fabricación de elementos metálicos |
11.556,72 |
|
Fabricación y montaje |
13.124,91 |
|
Industrias alimentarias |
9.473,54 |
|
Informática de oficinas |
11.967,59 |
|
Informática y comunicaciones |
11.967,59 |
|
Instalaciones electrotécnicas y mecánicas |
10.643,87 |
|
Mantenimiento de embarcaciones deportivas y de recreo |
11.556,72 |
|
Mantenimiento de vehículos |
11.556,72 |
|
Mantenimiento de viviendas |
10.643,87 |
|
Peluquería y estética |
9.473,54 |
|
Reforma y mantenimiento de edificios |
10.643,87 |
|
Servicios administrativos |
10.027,62 |
|
Servicios comerciales |
10.027,62 |
|
Tapicería y cortinaje |
9.473,54 |
|
Vidriería y alfarería |
13.124,91 |
(*) El importe del complemento retributivo de la Comunidad Autónoma del profesorado licenciado de primero y segundo cursos de educación secundaria obligatoria se ajustará, de forma que la suma del salario, complemento de equiparación de licenciados y CRCA sea igual al salario y CRCA del profesorado de tercero y cuarto de ESO.
ANEXO V
Artículo 56
|
Créditos asignados a las corporaciones locales |
||
|
12 |
Administración general |
591.736 |
|
13 |
Justicia |
815.908 |
|
14 |
Administración local |
13.490.174 |
|
15 |
Normalización lingüística |
350.000 |
|
21 |
Protección civil y seguridad |
300.000 |
|
31 |
Acción social y promoción social |
115.711.158 |
|
32 |
Promoción del empleo e instituciones del mercado de trabajo |
56.814.108 |
|
41 |
Sanidad |
5.017.621 |
|
42 |
Educación |
900.178 |
|
43 |
Cultura |
7.145.213 |
|
44 |
Deportes |
2.207.480 |
|
45 |
Vivienda |
2.592.800 |
|
51 |
Infraestructuras |
3.037.539 |
|
52 |
Ordenación del territorio |
4.786.668 |
|
53 |
Promoción de suelo para actividades económicas |
100.000 |
|
54 |
Actuaciones ambientales |
8.107.032 |
|
55 |
Actuaciones y valoración del medio rural |
20.007.042 |
|
56 |
Investigación, desarrollo e innovación |
308.000 |
|
57 |
Sociedad de la información y del conocimiento |
995.250 |
|
71 |
Dinamización económica del medio rural |
18.269.827 |
|
73 |
Industria, energía y minería |
9.561.630 |
|
75 |
Comercio |
1.390.500 |
|
76 |
Turismo |
5.914.058 |
|
81 |
Transferencias a entidades locales |
129.450.335 |
|
Total |
407.864.257 |
|
ANEXO VI
Artículo 57. Coeficientes fondo base
|
Municipio |
Coeficiente |
Municipio |
Coeficiente |
|
|
Abadín |
0,2067100 |
|
Cabana de Bergantiños |
0,2383138 |
|
Abegondo |
0,2479098 |
|
Cabanas |
0,1517693 |
|
Agolada |
0,2207326 |
|
Caldas de Reis |
0,3230698 |
|
Alfoz |
0,1469580 |
|
Calvos de Randín |
0,1331193 |
|
Allariz |
0,2919105 |
|
Camariñas |
0,2218404 |
|
Ames |
0,7217843 |
|
Cambados |
0,4482263 |
|
Amoeiro |
0,1426595 |
|
Cambre |
0,6719665 |
|
Antas de Ulla |
0,1606026 |
|
Campo Lameiro |
0,1229686 |
|
Aranga |
0,1629145 |
|
Cangas |
0,6634023 |
|
Arbo |
0,1957850 |
|
Cañiza (A) |
0,2508672 |
|
Ares |
0,2114099 |
|
Capela (A) |
0,1257712 |
|
Arnoia (A) |
0,1310605 |
|
Carballeda de Avia |
0,1288474 |
|
Arteixo |
0,8392101 |
|
Carballeda de Valdeorras |
0,2004554 |
|
Arzúa |
0,2792102 |
|
Carballedo |
0,1919363 |
|
Avión |
0,1853746 |
|
Carballiño (O) |
0,4213130 |
|
Baiona |
0,3736793 |
|
Carballo |
1,0189948 |
|
Baleira |
0,1686745 |
|
Cariño |
0,1979143 |
|
Baltar |
0,1301123 |
|
Carnota |
0,2179250 |
|
Bande |
0,1694552 |
|
Carral |
0,2350158 |
|
Baña (A) |
0,2529409 |
|
Cartelle |
0,2028462 |
|
Baños de Molgas |
0,1590171 |
|
Castrelo de Miño |
0,1507406 |
|
Baralla |
0,1922172 |
|
Castrelo do Val |
0,1423348 |
|
Barbadás |
0,2828940 |
|
Castro Caldelas |
0,1581306 |
|
Barco de Valdeorras (O) |
0,4301403 |
|
Castro de Rei |
0,2526847 |
|
Barreiros |
0,1684317 |
|
Castroverde |
0,2111839 |
|
Barro |
0,1506496 |
|
Catoira |
0,1627668 |
|
Beade |
0,0786331 |
|
Cedeira |
0,2937099 |
|
Beariz |
0,1252191 |
|
Cee |
0,2849336 |
|
Becerreá |
0,2118851 |
|
Celanova |
0,2824090 |
|
Begonte |
0,1901471 |
|
Cenlle |
0,1205109 |
|
Bergondo |
0,2648589 |
|
Cerceda |
0,2839626 |
|
Betanzos |
0,3707458 |
|
Cerdedo-Cotobade |
0,3932569 |
|
Blancos (Os) |
0,1139576 |
|
Cerdido |
0,1217594 |
|
Boborás |
0,2002334 |
|
Cervantes |
0,2205991 |
|
Boimorto |
0,1754150 |
Cervo |
0,1849849 |
|
|
Boiro |
0,6212726 |
|
Chandrexa de Queixa |
0,1597812 |
|
Bola (A) |
0,1312506 |
|
Chantada |
0,3446127 |
|
Bolo (O) |
0,1406423 |
Coirós |
0,1277721 |
|
|
Boqueixón |
0,1991911 |
|
Coles |
0,1710474 |
|
Bóveda |
0,1631081 |
Corcubión |
0,1055991 |
|
|
Brión |
0,3149912 |
|
Corgo (O) |
0,2202468 |
|
Bueu |
0,3480399 |
|
Coristanco |
0,3444762 |
|
Burela |
0,2791427 |
|
Cortegada |
0,1236633 |
|
Municipio |
Coeficiente |
Municipio |
Coeficiente |
|
|
Coruña (A) |
5,7223532 |
|
Lobeira |
0,1288513 |
|
Cospeito |
0,2266415 |
|
Lobios |
0,1865623 |
|
Covelo |
0,1836211 |
|
Lourenzá |
0,1376373 |
|
Crecente |
0,1518362 |
|
Lousame |
0,1987286 |
|
Cualedro |
0,1536004 |
|
Lugo |
2,5333955 |
|
Culleredo |
0,7511051 |
|
Maceda |
0,1907220 |
|
Cuntis |
0,2313623 |
|
Malpica de Bergantiños |
0,2395000 |
|
Curtis |
0,2110332 |
|
Manzaneda |
0,1534856 |
|
Dodro |
0,1478049 |
|
Mañón |
0,1393901 |
|
Dozón |
0,1461331 |
|
Marín |
0,6390407 |
|
Dumbría |
0,2163445 |
|
Maside |
0,1783268 |
|
Entrimo |
0,1343366 |
|
Mazaricos |
0,2667398 |
|
Esgos |
0,1264033 |
|
Meaño |
0,2107086 |
|
Estrada (A) |
0,9562726 |
|
Meira |
0,1250533 |
|
Fene |
0,4883731 |
|
Meis |
0,1878341 |
|
Ferrol |
1,4033745 |
|
Melide |
0,3006759 |
|
Fisterra |
0,1932941 |
|
Melón |
0,1342874 |
|
Folgoso do Courel |
0,1775662 |
|
Merca (A) |
0,1512802 |
|
Fonsagrada (A) |
0,3394342 |
|
Mesía |
0,1744095 |
|
Forcarei |
0,2473005 |
|
Mezquita (A) |
0,1360767 |
|
Fornelos de Montes |
0,1459411 |
|
Miño |
0,2151889 |
|
Foz |
0,3709426 |
|
Moaña |
0,4842483 |
|
Frades |
0,1727013 |
|
Moeche |
0,1231947 |
|
Friol |
0,2882335 |
|
Mondariz |
0,2156130 |
|
Gomesende |
0,1079040 |
|
Mondariz-Balneario |
0,0796895 |
|
Gondomar |
0,3970006 |
|
Mondoñedo |
0,2125114 |
|
Grove (O) |
0,3569587 |
|
Monfero |
0,1813243 |
|
Guarda (A) |
0,2949532 |
|
Monforte de Lemos |
0,6520722 |
|
Gudiña (A) |
0,1633406 |
|
Montederramo |
0,1569510 |
|
Guitiriz |
0,3119907 |
|
Monterrei |
0,1783445 |
|
Guntín |
0,1943199 |
|
Monterroso |
0,2084054 |
|
Illa de Arousa |
0,1693188 |
|
Moraña |
0,1916877 |
|
Incio (O) |
0,1833191 |
|
Mos |
0,4022970 |
|
Irixo (O) |
0,2078820 |
|
Mugardos |
0,1947774 |
|
Irixoa |
0,1396301 |
|
Muíños |
0,1680190 |
|
Lalín |
0,9982437 |
|
Muras |
0,1772240 |
|
Lama (A) |
0,1983302 |
|
Muros |
0,3453491 |
|
Láncara |
0,1758728 |
|
Muxía |
0,2706001 |
|
Laracha (A) |
0,4560195 |
|
Narón |
0,9974763 |
|
Larouco |
0,0845254 |
|
Navia de Suarna |
0,2212575 |
|
Laxe |
0,1581089 |
|
Neda |
0,2321002 |
|
Laza |
0,1930750 |
|
Negreira |
0,2813109 |
|
Leiro |
0,1383458 |
|
Negueira de Muñiz |
0,1197787 |
|
Municipio |
Coeficiente |
Municipio |
Coeficiente |
|
|
Neves (As) |
0,2542056 |
|
Pontenova (A) |
0,1822977 |
|
Nigrán |
0,5058670 |
|
Pontes de García Rodríguez (As) |
0,4372170 |
|
Nogais (As) |
0,1356073 |
|
Pontevedra |
1,8681825 |
|
Nogueira de Ramuín |
0,1630665 |
|
Porqueira |
0,1116060 |
|
Noia |
0,4612592 |
|
Porriño (O) |
0,4597799 |
|
Oia |
0,1657653 |
|
Portas |
0,1305640 |
|
Oímbra |
0,1379582 |
|
Porto do Son |
0,3665155 |
|
Oleiros |
0,9481761 |
|
Portomarín |
0,1577170 |
|
Ordes |
0,4395715 |
|
Punxín |
0,1010716 |
|
Oroso |
0,2453703 |
|
Quintela de Leirado |
0,0993316 |
|
Ortigueira |
0,4264662 |
|
Quiroga |
0,2921735 |
|
Ourense |
2,3097628 |
|
Rábade |
0,1055933 |
|
Ourol |
0,1769400 |
|
Rairiz de Veiga |
0,1471563 |
|
Outeiro de Rei |
0,2399189 |
|
Ramirás |
0,1624678 |
|
Outes |
0,2940857 |
|
Redondela |
0,7225794 |
|
Oza-Cesuras |
0,3195057 |
|
Rianxo |
0,4083984 |
|
Paderne |
0,1487551 |
|
Ribadavia |
0,2011900 |
|
Paderne de Allariz |
0,1371535 |
|
Ribadeo |
0,3782688 |
|
Padrenda |
0,1513969 |
|
Ribadumia |
0,1766549 |
|
Padrón |
0,3296071 |
|
Ribas de Sil |
0,1254150 |
|
Palas de Rei |
0,2459084 |
|
Ribeira |
0,7736127 |
|
Pantón |
0,2128593 |
|
Ribeira de Piquín |
0,1232201 |
|
Parada de Sil |
0,1172362 |
|
Riós |
0,1745836 |
|
Paradela |
0,1531719 |
|
Riotorto |
0,1293748 |
|
Páramo (O) |
0,1358236 |
|
Rodeiro |
0,2182113 |
|
Pastoriza (A) |
0,2194690 |
|
Rois |
0,2334656 |
|
Pazos de Borbén |
0,1428540 |
|
Rosal (O) |
0,2516182 |
|
Pedrafita do Cebreiro |
0,1410910 |
|
Rúa (A) |
0,1860883 |
|
Pereiro de Aguiar (O) |
0,2566432 |
|
Rubiá |
0,1480093 |
|
Peroxa (A) |
0,1567819 |
|
Sada |
0,5214888 |
|
Petín |
0,1003707 |
|
Salceda de Caselas |
0,2820813 |
|
Pino (O) |
0,2582749 |
|
Salvaterra de Miño |
0,3643964 |
|
Piñor |
0,1451013 |
|
Samos |
0,1684774 |
|
Pobra de Trives (A) |
0,1629020 |
|
San Amaro |
0,1293733 |
|
Pobra do Brollón (A) |
0,1865164 |
|
San Cibrao das Viñas |
0,1953176 |
|
Pobra do Caramiñal (A) |
0,3261184 |
|
San Cristovo de Cea |
0,1943198 |
|
Poio |
0,4483062 |
|
San Sadurniño |
0,1788866 |
|
Pol |
0,1541515 |
|
San Xoán de Río |
0,1338677 |
|
Ponte Caldelas |
0,2526736 |
|
Sandiás |
0,1283188 |
|
Ponteareas |
0,6334176 |
|
Santa Comba |
0,4360316 |
|
Ponteceso |
0,2787591 |
|
Santiago de Compostela |
3,1499361 |
|
Pontecesures |
0,1277450 |
|
Santiso |
0,1255453 |
|
Pontedeume |
0,2807872 |
|
Sanxenxo |
0,6310835 |
|
Pontedeva |
0,0820633 |
|
Sarreaus |
0,1405659 |
|
Municipio |
Coeficiente |
Municipio |
Coeficiente |
|
|
Sarria |
0,4774302 |
Verea |
0,1514325 |
|
|
Saviñao (O) |
0,2543443 |
|
Verín |
0,4558821 |
|
Silleda |
0,3386039 |
|
Viana do Bolo |
0,2706319 |
|
Sober |
0,1822770 |
|
Vicedo (O) |
0,1482499 |
|
Sobrado |
0,1592228 |
|
Vigo |
5,5167858 |
|
Somozas (As) |
0,1481358 |
|
Vila de Cruces |
0,3158629 |
|
Soutomaior |
0,2145708 |
|
Vilaboa |
0,1987554 |
|
Taboada |
0,2127435 |
|
Vilagarcía de Arousa |
1,0356627 |
|
Taboadela |
0,1331254 |
|
Vilalba |
0,8180374 |
|
Teixeira (A) |
0,0940781 |
|
Vilamarín |
0,1412373 |
|
Teo |
0,5681940 |
|
Vilamartín de Valdeorras |
0,1403873 |
|
Toén |
0,1459673 |
|
Vilanova de Arousa |
0,2946715 |
|
Tomiño |
0,4233385 |
|
Vilar de Barrio |
0,1546345 |
|
Toques |
0,1333309 |
|
Vilar de Santos |
0,0957600 |
|
Tordoia |
0,2273073 |
|
Vilardevós |
0,1824825 |
|
Touro |
0,2510451 |
|
Vilariño de Conso |
0,1573604 |
|
Trabada |
0,1389962 |
|
Vilarmaior |
0,1144978 |
|
Trasmiras |
0,1311433 |
|
Vilasantar |
0,1344608 |
|
Trazo |
0,2010742 |
|
Vimianzo |
0,3596027 |
|
Triacastela |
0,1181743 |
|
Viveiro |
0,4734862 |
|
Tui |
0,4561952 |
|
Xermade |
0,1864818 |
|
Val do Dubra |
0,1944456 |
|
Xinzo de Limia |
0,3506220 |
|
Valadouro (O) |
0,1725363 |
|
Xove |
0,2105751 |
|
Valdoviño |
0,2572379 |
|
Xunqueira de Ambía |
0,1506371 |
|
Valga |
0,2063086 |
|
Xunqueira de Espadanedo |
0,1042797 |
|
Vedra |
0,2422174 |
|
Zas |
0,2614845 |
|
Veiga (A) |
0,2162933 |
|
||
|
|
Total |
100,00 |
||
ANEXO VII
Artículo 58
|
CONVENIOS Y SUBVENCIONES CON ENTIDADES LOCALES |
|||
|
121A-DIRECCIÓN Y SERVICIOS GENERALES DE LA ADMINISTRACIÓN GENERAL |
146.200 |
||
|
05.21.121A.760.0 |
PROYECTOS DE DESARROLLO DE LOS ENTES LOCALES |
146.200 |
|
|
122B-FORMACIÓN Y PERFECCIONAMIENTO DEL PERSONAL DE LA ADMINISTRACIÓN DE LA COMUNIDAD AUTÓNOMA |
445.536 |
||
|
07.81.122B.460.1 |
SUBVENCIONES A CORPORACIONES LOCALES PARA FORMACIÓN |
445.536 |
|
|
131A-ADMINISTRACIÓN DE JUSTICIA |
815.908 |
||
|
05.22.131A.461.0 |
SUBVENCIÓN GASTOS DE FUNCIONAMIENTO DE LOS JUZGADOS DE PAZ |
565.908 |
|
|
05.22.131A.461.1 |
AYUDAS A CORPORACIONES LOCALES. SECRETARÍAS JUZGADOS DE PAZ |
250.000 |
|
|
141A-ADMINISTRACIÓN LOCAL |
13.490.174 |
||
|
05.23.141A.460.0 |
AYUDAS PARA LA CONTRATACIÓN DE AUXILIARES DE POLICÍA LOCAL |
70.000 |
|
|
05.23.141A.460.1 |
SUBVENCIONES A ENTIDADES DE CARÁCTER SUPRAMUNICIPAL Y ENTIDADES LOCALES MENORES |
75.000 |
|
|
05.23.141A.461.0 |
ACTUACIONES GLOBALES DESTINADAS A LA CONSERVACIÓN, REPOSICIÓN Y RESTAURACIÓN DEL MEDIO AMBIENTE |
3.782.587 |
|
|
05.23.141A.461.1 |
FONDO DE COMPENSACIÓN AMBIENTAL. CONVENIOS GRUPOS EMERGENCIA |
1.030.000 |
|
|
05.23.141A.760.2 |
CREACIÓN, MEJORA Y AMPLIACIÓN DE SERVICIOS LOCALES BÁSICOS |
4.000.000 |
|
|
05.23.141A.761.0 |
ACTUACIONES GLOBALES DESTINADAS A LA CONSERVACIÓN, REPOSICIÓN Y RESTAURACIÓN DEL MEDIO AMBIENTE |
3.932.587 |
|
|
05.23.141A.761.1 |
OTRAS ACTUACIONES ESPECÍFICAS DE PROTECCIÓN DEL MEDIO AMBIENTE |
600.000 |
|
|
151A-FOMENTO DE LA LENGUA GALLEGA |
350.000 |
||
|
10.50.151A.460.0 |
TRANSFERENCIAS CORRIENTES A CORPORACIONES LOCALES |
350.000 |
|
|
212A-PROTECCIÓN CIVIL Y SEGURIDAD DE LA COMUNIDAD AUTÓNOMA |
300.000 |
||
|
05.25.212A.460.1 |
SUBVENCIONES A LA FEGAMP PARA FUNCIONAMIENTO DE LOS GES |
300.000 |
|
|
312La-PROTECCIÓN E INSERCIÓN SOCIAL |
36.000 |
||
|
13.03.312A.460.0 |
AYUDAS EXTRAORDINARIAS Y DE INCLUSIÓN. PLAN SOCIAL CONTRA LA DESIGUALDAD ECONÓMICA |
36.000 |
|
|
312B-PROGRAMAS DE PRESTACIONES A LAS FAMILIAS Y A LA INFANCIA |
3.812.000 |
||
|
13.02.312B.460.01 |
GASTOS EXTRAORDINARIOS COVID-19 |
2.700.000 |
|
|
13.02.312B.760.0 |
ACTUACIONES EN CENTROS DE ATENCIÓN A 1ª INFANCIA 0-3 Y CASAS NIDO |
1.112.000 |
|
|
312C-SERVICIOS SOCIALES RELATIVOS A LAS MIGRACIONES |
345.000 |
||
|
13.03.312C.460.0 |
ACCIONES ESPECÍFICAS DE INCLUSIÓN SOCIAL |
345.000 |
|
|
312D-PROGRAMA DE ATENCIÓN A LA DEPENDENCIA |
83.649.595 |
||
|
13.05.312D.460.0 |
PROGRAMA DE ATENCIÓN A LA DEPENDENCIA |
83.649.595 |
|
|
312E-PROMOCIÓN DE LA AUTONOMÍA PERSONAL Y PREVENCION DE LA DEPENDENCIA PARA PERSONAS CON DISCAPACIDAD Y LAS PERSONAS MAYORES |
3.714.904 |
||
|
13.04.312Y.460.0 |
TRANSFERENCIAS EN MATERIA DE SERVICIOS SOCIALES |
645.567 |
|
|
13.04.312Y.460.1 |
FSE PO 2014-2020, SERVICIOS Y RECURSOS DE LA RED GALLEGA DE ATENCIÓN TEMPRANA |
1.755.868 |
|
|
13.04.312Y.460.1 |
GASTOS EXTRAORDINARIOS COVID-19 |
1.313.469 |
|
|
312F-PROGRAMAS DE SOLIDARIDAD |
165.000 |
||
|
13.06.312F.460.0 |
ACTUACIONES DE FOMENTO DEL VOLUNTARIADO |
165.000 |
|
|
312G-APOYO A LA CONCILIACIÓN DE LA VIDA LABORAL Y PERSONAL Y OTROS SERVICIOS DE PROTECCIÓN SOCIAL |
1.517.240 |
||
|
11.02.312G.460.1 |
RECURSOS Y PROGRAMAS DE CONCILIACIÓN Y CORRESPONSABILIDAD |
42.240 |
|
|
11.02.312G.460.1 |
FOMENTO DE LA CONCILIACIÓN Y DE LA CORRESPONSABILIDAD |
1.475.000 |
|
|
313A-SERVICIOS A LA JUVENTUD |
404.973 |
||
|
13.06.313A.460.0 |
PROGRAMA GALEUROPA. CONVOCATORIA COORDINA DE MOVILIDAD TRASNACIONAL JUVENIL |
404.973 |
|
|
313B-ACCIONES PARA LA IGUALDAD, PROTECCIÓN Y PROMOCIÓN DE LA MUJER |
4.110.973 |
||
|
11.02.313B.460.0 |
ACCIONES DE PROMOCIÓN DE LA IGUALDAD Y PREVENCIÓN DE LA VIOLENCIA A DESARROLLAR POR LAS ENTIDADES LOCALES |
3.610.973 |
|
|
11.02.313B.460.0 |
ACCIONES DE PREVENCIÓN Y LUCHA CONTRA LA VIOLENCIA DE GÉNERO A DESARROLLAR POR LAS ENTIDADES LOCALES |
500.000 |
|
|
313C-SERVICIOS SOCIALES COMUNITARIOS |
15.499.457 |
||
|
13.03.313C.460.0 |
SERVICIOS SOCIOCOMUNITARIOS |
663.112 |
|
|
13.03.313C.460.0 |
PROGRAMA MUNICIPAL DE ATENCIÓN A LA PRIMERA INFANCIA PARA CONCILIACIÓN |
758.065 |
|
|
13.03.313C.460.1 |
ACCIONES ESPECÍFICAS DE INCLUSIÓN SOCIAL |
500.000 |
|
|
13.03.313C.460.1 |
PLAN DESARROLLO GITANO |
28.412 |
|
|
13.03.313C.460.2 |
ACCIONES ESPECÍFICAS DE INCLUSIÓN SOCIAL |
2.549.959 |
|
|
13.03.313C.460.2 |
PLAN CONCERTADO DE PRESTACIONES SOCIALES BÁSICAS |
10.999.909 |
|
|
313D-PROTECCIÓN Y APOYO A LAS MUJERES QUE SUFREN VIOLENCIA DE GÉNERO |
2.456.016 |
||
|
11.02.313D.460.0 |
DESARROLLO LEY INTEGRAL CONTRA LA VIOLENCIA DE GÉNERO - CENTROS DE ACOGIDA |
232.000 |
|
|
11.02.313D.460.1 |
PACTO DE ESTADO CONTRA LA VIOLENCIA DE GÉNERO |
2.224.016 |
|
|
322A- MEJORA Y FOMENTO DE LA EMPLEGABILIDAD |
35.459.045 |
||
|
11.05.322A.460.1 |
ESCUELAS TALLER, TALLERES DE EMPLEO Y UPD |
547.500 |
|
|
11.05.322A.460.2 |
ESCUELAS TALLER, TALLERES DE EMPLEO Y UPD |
22.820.161 |
|
|
11.05.322A.460.2 |
PROGRAMAS MIXTOS DE FORMACIÓN PARA EL EMPLEO DE JÓVENES MENORES, EJE 1 |
6.957.947 |
|
|
11.05.322A.460.3 |
PROGRAMAS INTEGRADOS PARA EL EMPLEO |
2.433.437 |
|
|
11.05.322A.460.4 |
INFORMACIÓN, ORIENTACIÓN Y BÚSQUEDA DE EMPLEO |
2.700.000 |
|
|
322C-PROMOCIÓN DEL EMPLEO, DEL EMPLEO AUTÓNOMO Y DEL MERCADO DE TRABAJO INCLUSIVO |
18.398.398 |
||
|
11.04.322C.460.1 |
AGENTES DE EMPLEO Y DESARROLLO LOCAL |
2.200.000 |
|
|
11.04.322C.460.2 |
PROGRAMAS ADQUISICIÓN EXPERIENCIA DESEMPLEADOS |
1.500.000 |
|
|
11.04.322C.460.3 |
PROGRAMAS ADQUISICIÓN EXPERIENCIA RISGA |
7.698.398 |
|
|
11.04.322C.460.5 |
FOMENTO DEL EMPLEO EN EL MEDIO RURAL (APROL RURAL) |
7.000.000 |
|
|
323A-FORMACIÓN PROFESIONAL DE LOS DESEMPLEADOS |
2.876.665 |
||
|
11.05.323A.460.1 |
FORMACIÓN PRIORITARIA DESEMPLEADOS |
2.876.665 |
|
|
324C-PROMOCIÓN DE LA ECONOMÍA SOCIAL |
80.000 |
||
|
11.04.324C.460.0 |
RED EUSUMO |
80.000 |
|
|
412B-ATENCIÓN PRIMARIA |
300.000 |
||
|
12.80.412B.760.0 |
REFORMA DE CENTROS DE SALUD DE TITULARIDAD MUNICIPAL |
300.000 |
|
|
413A-PROTECCIÓN Y PROMOCIÓN DE LA SALUD PÚBLICA |
4.717.621 |
||
|
12.02.413A.460.1 |
PROGRAMA PREVENCIÓN DROGAS |
737.821 |
|
|
12.80.413A.460.0 |
CONVENIO CON LA FEGAMP PARA LA ATENCIÓN EN DROGODEPENDENCIAS |
3.979.800 |
|
|
423A-SERVICIOS Y AYUDAS COMPLEMENTARIAS DE LA ENSEÑANZA |
900.178 |
||
|
10.10.423A.460.0 |
TRANSPORTE Y COMEDORES ESCOLARES |
640.054 |
|
|
10.10.423A.460.1 |
CONVENIO AYUNTAMIENTOS CPIS Y SERVICIO LIMPIEZA PROPIO |
260.124 |
|
|
432A-BIBLIOTECAS, ARCHIVOS, MUSEOS Y EQUIPACIONES CULTURALES |
873.000 |
||
|
10.40.432A.760.0 |
ACTUACIONES DE PROMOCIÓN, GESTIÓN, ADQUISICIÓN Y DIRECCIÓN DE ARCHIVOS |
110.000 |
|
|
10.40.432A.760.1 |
LOTES FUNDACIONALES Y ADQUISICIONES DE FONDOS BIBLIOGRÁFICOS - RED BIBLIOTECAS DE GALICIA |
12.000 |
|
|
10.40.432A.760.1 |
GASTOS EXTRAORDINARIOS COVID-19 |
350.000 |
|
|
10.40.432A.760.2 |
GASTOS EXTRAORDINARIOS COVID-19 |
200.000 |
|
|
10.40.432A.760.3 |
ACTIVIDADES CULTURALES Y DE PROMOCIÓN DEL LIBRO Y DE LA LECTURA |
201.000 |
|
|
432B-FOMENTO DE LAS ACTIVIDADES CULTURALES |
6.172.213 |
||
|
10.40.432B.460.0 |
ACTIVIDADES DE PROMOCIÓN Y DIFUSIÓN CULTURAL |
75.000 |
|
|
10.40.432B.460.1 |
TRANSFERENCIAS CORRIENTES AL CONSORCIO PARA LA PROMOCIÓN DE LA MÚSICA |
2.700.000 |
|
|
10.40.432B.760.0 |
ACTIVIDADES DE PROMOCIÓN Y DIFUSIÓN CULTURAL |
2.753.499 |
|
|
10.40.432B.760.1 |
ACTIVIDADES DE PROMOCIÓN Y DIFUSIÓN CULTURAL |
205.000 |
|
|
10.La1.432B.460.0 |
AYUDAS EN MATERIA CULTURAL |
238.714 |
|
|
10.La1.432B.760.0 |
AYUDAS EN MATERIA CULTURAL |
200.000 |
|
|
433A-PROTECCIÓN Y PROMOCIÓN DEL PATRIMONIO HISTÓRICO, ARTÍSTICO Y CULTURAL |
100.000 |
||
|
10.41.433A.760.0 |
AYUDAS Y CONVENIOS PARA CONSERVACIÓN DEL PATRIMONIO CULTURAL |
100.000 |
|
|
441A-PROMOCIÓN DE LA ACTIVIDAD DEPORTIVA |
2.207.480 |
||
|
04.40.441A.760.0 |
SUBVENCIONES PARA INFRAESTRUCTURAS DEPORTIVAS |
2.207.480 |
|
|
451A-FOMENTO DE LA REHABILITACIÓN Y DE LA CALIDAD DE LA VIVIENDA |
2.570.000 |
||
|
08.81.451A.460.0 |
PROGRAMA REXURBE |
100.000 |
|
|
08.81.451A.760.0 |
INFRAVIVIENDA |
370.000 |
|
|
08.81.451A.760.1 |
REHABILITACIÓN ANTIGUAS VIVIENDAS DE MAESTROS Y OTROS COLECTIVOS |
2.100.000 |
|
|
451B-ACCESO A LA VIVIENDA |
22.800 |
||
|
08.81.451B.760.0 |
PROGRAMA DE FOMENTO DEL PARQUE DE VIVIENDAS EN ALQUILER. PXE |
22.800 |
|
|
512A-ORDENACIÓN E INSPECCIÓN DEL TRANSPORTE |
663.117 |
||
|
09.02.512A.760.0 |
ESTACIÓN INTERMODAL EN VIGO (INTEGRACIÓN ESTACIÓN AUTOBUSES) |
663.117 |
|
|
512B-CONSTRUCCIÓN, CONSERVACIÓN Y EXPLOTACIÓN DE CARRETERAS |
2.374.422 |
||
|
09.A1.512B.760.0 |
CONVENIOS CON CORPORACIONES LOCALES |
1.805.087 |
|
|
09.A1.512B.760.0 |
CONVENIO AYUNTAMIENTO CERDEDO/COTOBADE, VIAL CERDEDO-CAROI |
75.585 |
|
|
09.A1.512B.760.0 |
CONVENIO AYUNTAMIENTO A PEROXA, VARIANTE DE LA PEROXA |
150.000 |
|
|
09.A1.512B.760.0 |
CONVENIO AYUNTAMIENTOS CERDEDO/COTOBADE, TRAVESÍA DE TENORIO |
343.750 |
|
|
521A-URBANISMO |
4.786.668 |
||
|
08.04.521A.760.0 |
AYUDAS PARA LA REDACCIÓN DEL PLANEAMENTO URBANÍSTICO |
3.223.998 |
|
|
08.04.521A.762.0 |
AYUDAS A AYUNTAMIENTOS PARA ACTUACIONES EN ENTORNOS URBANOS –PLAN HURBE |
1.562.670 |
|
|
531A-PROMOCIÓN DE SUELO PARA ACTIVIDADES ECONÓMICAS |
100.000 |
||
|
08.81.531A.760.0 |
AYUDAS PARQUES EMPRESARIALES LOCALES |
100.000 |
|
|
541B-CONSERVACIÓN DE LA BIODIVERSIDAD Y PUESTA EN VALOR DEL MEDIO NATURAL |
3.229.530 |
||
|
08.03.541B.460.0 |
ACTUACIONES VINCULADAS CON LA PROTECCIÓN DE ANIMALES DE COMPAÑÍA ABANDONADOS |
400.000 |
|
|
08.03.541B.760.0 |
AYUDAS PARA LA CONSERVACIÓN DE LOS ÁRBOLES SINGULARES |
40.000 |
|
|
08.03.541B.760.0 |
INFRAESTRUCTURAS DE SANEAMIENTO, PROTECCIÓN Y MEJORA DEL MEDIO AMBIENTE |
150.000 |
|
|
08.03.541B.760.0 |
AYUDAS NATURA 2000 Y ESPACIOS NATURALES |
1.688.000 |
|
|
08.03.541B.760.0 |
CONSERVACIÓN Y SENSIBILIZACIÓN VINCULADAS AL DESARROLLO RURAL |
923.546 |
|
|
08.03.541B.760.2 |
AYUDAS PARQUE NATURAL ISLAS ATLÁNTICAS |
27.984 |
|
|
541D-CONTROL MEDIOAMBIENTAL Y GESTIÓN DE RESIDUOS |
2.281.119 |
||
|
08.02.541D.760.1 |
AYUDAS A ENTIDADES LOCALES PARA EL FOMENTO DE LA RECOGIDA SEPARADA DE RESIDUOS |
2.281.119 |
|
|
541E-CONOCIMIENTO DEL MEDIO AMBIENTE Y FOMENTO DE LA SOSTENIBILIDAD |
2.596.383 |
||
|
08.02.541Y.760.1 |
ADAPTACIÓN AL CAMBIO CLIMÁTICO EN LOS INSTRUMENTOS DE GESTIÓN Y PLANIFICACIÓN MEDIOAMBIENTAL |
2.249.883 |
|
|
08.80.541Y.760.00 |
DESARROLLO Y GESTIÓN DE LA ESTRATEGIA DEL PAISAJE GALLEGO |
346.500 |
|
|
551A-INFRAESTRUCTURAS Y EQUIPACIONES EN EL MEDIO RURAL |
42.500 |
||
|
14.05.551A.760.0 |
CONVENIO CON AYUNTAMIENTOS EN MATERIA DE INFRAESTRUCTURA RURAL |
42.500 |
|
|
551B-ACCIONES PREVENTIVAS E INFRAESTRUCTURA FORESTAL |
19.964.542 |
||
|
14.02.551B.760.0 |
CONVENIOS CON LOS AYUNTAMIENTOS EN MATERIA DE DEFENSA CONTRA INCENDIOS FORESTALES |
11.572.445 |
|
|
14.02.551B.760.0 |
PREVENCIÓN DE DAÑOS CAUSADOS POR INCENDIOS, DESASTRES NATURALES Y CATÁSTROFES |
8.392.097 |
|
|
561A-PLAN GALLEGO DE INVESTIGACIÓN, DESARROLLO E INNOVACIÓN TECNOLÓGICA |
308.000 |
||
|
06.A2.561La.760.0 |
GALICIA TRANSFIERE |
308.000 |
|
|
571A-FOMENTO DE LA SOCIEDAD DE LA INFORMACIÓN Y DEL CONOCIMIENTO |
995.250 |
||
|
04.A1.571A.460.0 |
DESARROLLO DE LA SOCIEDAD DE LA INFORMACIÓN |
813.000 |
|
|
04.A1.571A.760.0 |
AYUDAS PARA LA DIGITALIZACIÓN DEL PATRIMONIO CULTURAL DE GALICIA |
182.250 |
|
|
712A-FIJACIÓN DE POBLACIÓN EN EL MEDIO RURAL |
18.103.827 |
||
|
14.A1.712A.760.0 |
IMPLEMENTACIONES DE OPERACIONES LEADER |
2.224.100 |
|
|
14.A1.712A.760.0 |
MEJORA DE CAMINOS |
13.619.727 |
|
|
14.A1.712A.760.0 |
ACTUACIONES SINGULARES DE MEJORA DEL PATRIMONIO RURAL |
800.000 |
|
|
14.A1.712A.760.0 |
INFRAESTRUCTURAS DE SERVICIOS A LA POBLACIÓN RURAL |
860.000 |
|
|
14.A1.712A.760.0 |
APOYO A LA COMERCIALIZACIÓN DE LOS PRODUCTOS GALLEGOS: MERCADOS SINGULARES Y PLATAFORMAS DIGITALES DE VENTA |
600.000 |
|
|
713B-ORDENACIÓN DE LAS PRODUCCIONES FORESTALES |
100.000 |
||
|
14.03.713B.760.0 |
ESTABLECIMIENTO Y MANTENIMIENTO DE SISTEMAS AGROFORESTALES |
50.000 |
|
|
14.03.713B.760.0 |
INVERSIONES EN TRABAJOS SILVÍCOLAS PARA AUMENTAR LA RESILIENCIA Y EL VALOR MEDIOAMBIENTAL DE LOS ECOSISTEMAS FORESTALES |
20.000 |
|
|
14.03.713B.760.0 |
SILVICULTURA PREVENTIVA PARA PREVENCIÓN DE DAÑOS CAUSADOS POR INCENDIOS, DESASTRES NATURALES Y CATÁSTROFES |
30.000 |
|
|
713D-MEJORA DE LA CALIDAD EN LA PRODUCCIÓN AGROALIMENTARIA |
48.000 |
||
|
14.A2.713D.760.0 |
CONTROL DE LA CALIDAD |
48.000 |
|
|
713E-BIENESTAR ANIMAL Y SANIDAD VEGETAL |
18.000 |
||
|
14.04.713Y.460.1 |
DEFENSA SANITARIA GANADERA |
18.000 |
|
|
731A-DIRECCIÓN Y SERVICIOS GENERALES DE INDUSTRIA |
12.000 |
||
|
06.01.731A.460.1 |
SUBVENCIONES EN MATERIA DE INNOVACIÓN, INDUSTRIA Y COMERCIO |
12.000 |
|
|
732A-REGULACIÓN Y SOPORTE DE LA ACTIVIDAD INDUSTRIAL |
6.840.000 |
||
|
06.02.732A.760.0 |
MEJORA DE INFRAESTRUCTURAS EN PARQUES EMPRESARIALES DE TITULARIDAD MUNICIPAL |
2.683.161 |
|
|
06.02.732A.760.0 |
REFUERZO DE LÍNEAS ELÉCTRICAS DE ALIMENTACIÓN EN POLÍGONOS INDUSTRIALES |
3.373.161 |
|
|
06.02.732A.760.1 |
CREACIÓN DE VIVEROS INDUSTRIALES DE EMPRESAS EN PARQUES EMPRESARIALES DE LA COMUNIDAD AUTÓNOMA |
1.000.000 |
|
|
06.02.732A.760.2 |
CONVENIO DIPUTACIÓN DE A CORUÑA, OFICINAS REINDUSTRIALIZACIÓN |
150.000 |
|
|
733A-EFICIENCIA ENERGÉTICA Y ENERGÍAS RENOVABLES |
2.526.469 |
||
|
06.A3.733A.760.1 |
MEJORA DEL ALUMBRADO DE EDIFICIOS HISTÓRICOS |
500.000 |
|
|
06.A3.733A.760.2 |
ECOBARRIO DE ELVIÑA - AYUNTAMIENTO DE A CORUÑA |
510.000 |
|
|
06.A3.733A.760.3 |
ECOBARRIO DE ELVIÑA - AYUNTAMIENTO DE A CORUÑA |
60.000 |
|
|
06.A3.733A.760.5 |
AYUDAS A PROYECTOS DE BIOMASA - FEDER 2014-2020 |
740.000 |
|
|
06.A3.733A.760.8 |
AYUDAS A ENERGÍAS RENOVABLES DE GENERACIÓN ELÉCTRICA - FEDER 2014-2020 |
200.000 |
|
|
06.A3.733A.760.9 |
CONVENIOS EN MATERIA DE AHORRO Y EFICIENCIA ENERGÉTICA Y DE LAS ENERGÍAS RENOVABLES |
516.469 |
|
|
751A-ORDENACIÓN, REGULACIÓN Y PROMOCIÓN DEL COMERCIO INTERIOR DE GALICIA |
1.390.500 |
||
|
06.03.751A.761.2 |
EQUIPACIONES COMERCIALES MUNICIPALES, RED GALLEGA DE MERCADOS Y PLAZAS DE ABASTOS |
10.500 |
|
|
06.03.751A.761.3 |
EQUIPACIONES COMERCIALES MUNICIPALES, RED GALLEGA DE MERCADOS Y PLAZAS DE ABASTOS |
1.000.000 |
|
|
06.03.751A.761.5 |
ACTUACIONES EN ARTESANÍA Y PROMOCIÓN DE LA MARCA «ARTESANÍA DE GALICIA» |
80.000 |
|
|
06.03.751A.761.6 |
EQUIPACIONES COMERCIALES MUNICIPALES RED GALLEGA DE MERCADOS Y PLAZAS DE ABASTOS |
300.000 |
|
|
761A-POTENCIACIÓN Y PROMOCIÓN DEL TURISMO |
5.914.058 |
||
|
05.A2.761A.460.0 |
PROMOCIÓN Y POTENCIACIÓN DEL TURISMO |
603.600 |
|
|
05.A2.761A.460.0 |
XACOBEO 2021 |
36.400 |
|
|
05.A2.761A.760.0 |
PROMOCIÓN Y POTENCIACIÓN DEL TURISMO |
573.058 |
|
|
05.A2.761A.760.0 |
MEJORA Y FOMENTO TURISMO EN LAS ZONAS RURALES |
1.500.000 |
|
|
05.A2.761A.760.0 |
AYUDAS PARA ACCIONES DE EMBELLECIMIENTO: GALICIA PARABÉNS |
600.000 |
|
|
05.A2.761A.760.0 |
XACOBEO 2021 |
1.150.000 |
|
|
05.A2.761A.760.1 |
AYUDAS PARA FIESTAS DE INTERÉS TURÍSTICO Y OTRAS ACCIONES PROMOCIONALES |
851.000 |
|
|
05.A2.761A.760.3 |
PROMOCIÓN Y POTENCIACIÓN DEL TURISMO |
600.000 |
|
|
811C-OTROS SOPORTES FINANCIEROS A LAS ENTIDADES LOCALES |
2.392.425 |
||
|
23.01.811C.460.0 |
TRANSFERENCIAS PARA SUFRAGAR LOS GASTOS OCASIONADOS POR LA CONDICIÓN DE CAPITALIDAD DE LA CIUDAD DE SANTIAGO DE COMPOSTELA |
2.392.425 |
|
|
TOTAL |
280.806.347 |
||


