Galego | Castellano| Português

DOG - Xunta de Galicia -

Diario Oficial de Galicia
DOG Núm. 134 Quinta-feira, 15 de julho de 2021 Páx. 36150

III. Outras disposições

Conselharia de Fazenda e Administração Pública

RESOLUÇÃO de 29 de junho de 2021 pela que se ordena a publicação do Acordo do Conselho da Xunta da Galiza de 17 de junho de 2021 pelo que se aprova a modificação da relação de postos de trabalho da Conselharia do Meio Rural, com a incorporação das modificações introduzidas pelo Acordo do Conselho da Xunta de 24 de junho de 2021.

A aprovação da modificação da relação de postos de trabalho da Conselharia do Meio Rural justifica pelas necessidades funcional e organizativo da Conselharia.

Ainda que se trata de uma modificação parcial que contém mudanças de diversa natureza, porém, por razões de eficácia e operatividade consideram-se mais adequada a publicação completa, e não parcial, dela.

Nesta relação de postos de trabalho figuram postos classificados de livre designação em aplicação do critério de excepcionalidade, de conformidade com o previsto na Lei 2/2015, de 29 de abril, do emprego público da Galiza, e com o disposto na Resolução de 25 de fevereiro de 2016, da Direcção-Geral da Função Pública, pela que se ditam instruções para a tramitação de relações de postos de trabalho e a determinação dos critérios de excepcionalidade e funções que definem as características que motivam a especial responsabilidade ou qualificação profissional dos postos de trabalho de livre designação, de nível 28 ou inferior, da Administração da Comunidade Autónoma da Galiza. A correspondente justificação para estes postos já se recolhia na relação de postos de trabalho da Conselharia do Meio Rural que foi aprovada pelo Acordo do Conselho da Xunta da Galiza de 13 de junho de 2019, e publicado mediante a Resolução de 14 de junho de 2019 (DOG nº 114, de 18 de junho).

Por proposta da Conselharia do Meio Rural, e uma vez consultadas as organizações sindicais presentes na Mesa de Negociação da Comunidade Autónoma e a Comissão de Pessoal, o Conselho da Xunta da Galiza, na sua reunião de 17 de junho de 2021, adoptou o Acordo pelo que se aprova a modificação da relação de postos de trabalho da Conselharia do Meio Rural e se ordena a sua publicação no Diário Oficial da Galiza para os efeitos da entrada em vigor a partir do dia seguinte ao da sua publicação.

Por outra parte, o Acordo do Conselho da Xunta da Galiza de 24 de junho de 2021 aprova a modificação da relação de postos de trabalho da Administração geral da Comunidade Autónoma da Galiza referente ao processo de funcionarización de postos de trabalho de pessoal laboral da Xunta de Galicia, segundo o disposto na Lei 2/2015, de 29 de abril, do emprego público da Galiza; no Real decreto legislativo 5/2015, de 30 de outubro, pelo que se aprova o texto refundido da Lei do estatuto básico do empregado público e no Decreto 165/2019, de 26 de dezembro, pelo que se estabelece o procedimento para a aquisição da condição de pessoal funcionário de carreira pelo pessoal laboral fixo do convénio colectivo único do pessoal laboral da Xunta de Galicia.

A relação de postos de trabalho da Conselharia do Meio Rural inclui postos afectados por este processo de funcionarización.

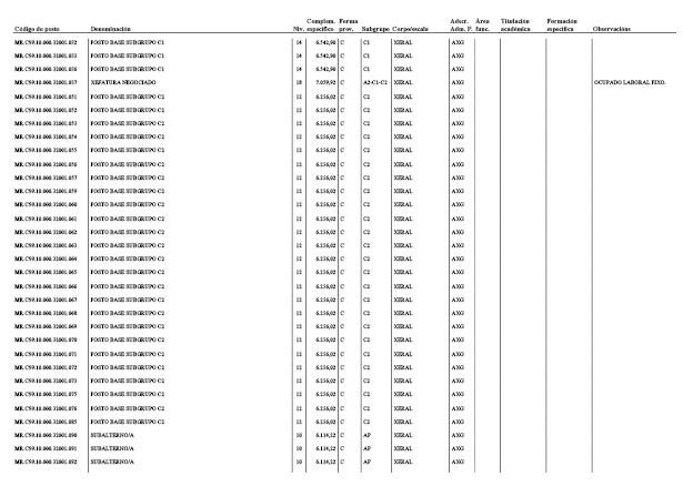
Em consequência, vistos os citados acordos do Conselho da Xunta da Galiza de 17 de junho de 2021 e de 24 de junho de 2021, e com a finalidade de cumprir o disposto neles, de conformidade com a Ordem da Conselharia de Fazenda de 8 de janeiro de 2020 sobre delegação de competências na Direcção-Geral da Função Pública (DOG núm. 16, de 24 de janeiro), disponho que se publique no Diário Oficial da Galiza, como anexo a esta resolução, a relação de postos de trabalho da Conselharia do Meio Rural, nos termos aprovados em ambos os acordos pelo Conselho da Xunta da Galiza.

Santiago de Compostela, 29 de junho de 2021

O conselheiro de Fazenda e Administração Pública
P.D. (Ordem do 8.1.2020)
José María Barreiro Díaz
Director geral da Função Pública

missing image file
missing image file
missing image file
missing image file
missing image file
missing image file
missing image file
missing image file
missing image file
missing image file
missing image file
missing image file
missing image file
missing image file
missing image file
missing image file
missing image file
missing image file
missing image file
missing image file
missing image file
missing image file
missing image file
missing image file
missing image file
missing image file
missing image file
missing image file
missing image file
missing image file
missing image file
missing image file
missing image file
missing image file
missing image file
missing image file
missing image file
missing image file
missing image file
missing image file
missing image file
missing image file
missing image file
missing image file
missing image file
missing image file
missing image file
missing image file
missing image file
missing image file
missing image file
missing image file
missing image file
missing image file
missing image file
missing image file
missing image file
missing image file
missing image file
missing image file
missing image file
missing image file
missing image file
missing image file
missing image file
missing image file
missing image file
missing image file
missing image file
missing image file
missing image file
missing image file
missing image file
missing image file
missing image file
missing image file
missing image file
missing image file
missing image file
missing image file
missing image file
missing image file
missing image file
missing image file
missing image file
missing image file
missing image file
missing image file
missing image file
missing image file
missing image file
missing image file
missing image file
missing image file
missing image file
missing image file
missing image file
missing image file
missing image file
missing image file
missing image file
missing image file
missing image file
missing image file
missing image file
missing image file
missing image file
missing image file
missing image file
missing image file
missing image file
missing image file
missing image file
missing image file
missing image file
missing image file
missing image file
missing image file
missing image file
missing image file
missing image file
missing image file
missing image file
missing image file
missing image file
missing image file
missing image file
missing image file
missing image file
missing image file
missing image file
missing image file
missing image file
missing image file
missing image file
missing image file
missing image file
missing image file
missing image file
missing image file
missing image file
missing image file
missing image file
missing image file
missing image file
missing image file
missing image file
missing image file
missing image file
missing image file
missing image file
missing image file
missing image file
missing image file
missing image file
missing image file
missing image file
missing image file
missing image file
missing image file
missing image file
missing image file
missing image file
missing image file
missing image file
missing image file
missing image file
missing image file
missing image file
missing image file
missing image file
missing image file
missing image file
missing image file
missing image file
missing image file
missing image file
missing image file
missing image file
missing image file
missing image file
missing image file
missing image file
missing image file
missing image file
missing image file
missing image file
missing image file
missing image file
missing image file
missing image file
missing image file
missing image file
missing image file
missing image file
missing image file
missing image file
missing image file
missing image file
missing image file
missing image file
missing image file
missing image file
missing image file

Âmbito territorial dos postos de trabalho dos serviços veterinários
oficiais de Sanidade e Producción Animal

Província: A Corunha

Áreas

Câmaras municipais

Ferrol-Betanzos

Betanzos, Cesuras, Coirós, Irixoa, Oza dos Ríos, Paderne, Miño, Vilarmaior.

Ferrol, Narón, Neda, San Sadurniño, Valdoviño, Fene, Ares, Mugardos, Moeche.

Cariño, Cedeira, Cerdido, Mañón, Ortigueira.

Cabanas, Monfero, Pontedeume.

A Capela, As Pontes, As Somozas.

Curtis, Aranga, Vilasantar, Sobrado.

Arzúa

Arzúa, Boimorto, O Pino, Touro.

Melide, Santiso, Toques.

Cerceda, Frades, Mesía, Ordes, Oroso, Tordoia, Traço.

Carballo

Carballo, Coristanco, A Laracha, Malpica, Ponteceso.

Cabana de Bergantiños, Camariñas, Laxe, Vimianzo, Zas.

Cee, Corcubión, Dumbría, Fisterra, Muxía.

Arteixo, Cambre, Carral, A Corunha, Culleredo, Oleiros, Abegondo, Bergondo, Sada.

Noia

Santiago de Compostela, Boqueixón, Val do Dubra, Vedra.

Lousame, Noia, Outes, Porto do Son.

Padrón, Dodro, Rois, A Pobra do Caramiñal, Rianxo, Boiro, Ribeira, Teo.

Santa Comba, Mazaricos, Muros, Carnota.

Ames, A Baña, Brión, Negreira.

Província: Lugo

Áreas

Câmaras municipais

Lugo

Lugo, Guntín, Castroverde, O Corgo, Friol, Outeiro de Rei.

Monterroso, Antas de Ulla, Palas de Rei, Portomarín.

O Incio, Láncara, Samos, Sarria, O Páramo, Paradela, Triacastela.

Becerreá

Baralha, Becerreá, As Nogais, Pedrafita do Cebreiro, Cervantes,

Navia de Suarna.

A Fonsagrada, Vazia, Negueira de Muñiz.

Mondoñedo

Alfoz, Burela, Foz, O Valadouro, Lourenzá, Mondoñedo.

Barreiros, Ribadeo, Trabada.

Cervo, Ourol, O Vicedo, Viveiro, Xove.

Monforte

Monforte de Lemos, A Pobra de Brollón, Sober, Folgoso do Courel, Quiroga,

Ribas de Sil, Bóveda, Pantón, O Saviñao.

Chantada, Carballedo, Taboada.

Vilalba

Vilalba, Begonte, Guitiriz, Rábade, Xermade, Muras, Abadín, Pastoriza, Castro de Rei, Cospeito.

Meira, A Pontenova, Pol, Ribeira de Piquín, Riotorto.

Província: Ourense

Áreas

Câmaras municipais

Ourense

Amoeiro, Barbadás, Coles, Nogueira de Ramuín, Ourense, O Pereiro de Aguiar, A Peroxa, San Cibrao das Viñas, Toén, Vilamarín, Esgos, Taboadela.

Arnoia, Beade, Carballeda de Avia, Castrelo de Miño, Cenlle, Cortegada, Leiro, Melón, Avión, Ribadavia.

Beariz, Boborás, O Carballiño, O Irixo, Maside, Piñor, Punxín,

San Amaro, San Cristovo de Cea.

A Bola, Cartelle, Celanova, Gomesende, A Merca, Quintela de Leirado, Ramirás, Verea, Padrenda, Pontedeva.

Bande, Entrimo, Lobeira, Lobios, Muíños.

O Barco-Trives

Montederramo, Parada de Sil, A Teixeira, Castro Caldelas.

Maceda, Baños de Molgas, Paderne de Allariz, Xunqueira de Espadanedo.

Chandrexa de Queixa, Manzaneda, A Pobra de Trives, San Xoán de Río.

O Barco de Valdeorras, Carballeda de Valdeorras, Larouco, Petín, A Rúa, O Bolo, Rubiá, Vilamartín de Valdeorras.

Verín

Castrelo do Val, Cualedro, Laza, Monterrei, Oimbra, Verín, Riós, Vilardevós.

Baltar, Os Blancos, Porqueira, Rairiz de Veiga, Sandiás, Sarreaus, Trasmiras, Vilar de Santos, Xinzo de Limia, Calvos de Randín, Vilar de Barrio.

A Gudiña, Viana do Bolo, A Mezquita, Vilariño de Conso, A Veiga.

Allariz, Xunqueira de Ambía.

Província: Pontevedra

Áreas

Câmaras municipais

Lalín

A Estrada, Cerdedo, Forcarei.

Agolada, Dozón, Lalín, Rodeiro, Silleda, Vila de Cruces.

O Porriño

Arbo, A Cañiza, O Covelo, Crescente.

Mondariz, Mondariz-Balnear, As Neves, Ponteareas, Salvaterra de Miño

Fornelos de Montes, Pazos de Borbén, Salceda de Caselas, Soutomaior, Redondela, Baiona, Gondomar, Mos, Nigrán, O Porriño, Vigo, A Guarda, Ouça, O Rosal, Tomiño, Tui.

Pontevedra

Caldas de Reis, Campolameiro, Cuntis, Moraña, Portas, Pontecesures, Valga, Catoira, Vilagarcía de Arousa

Cambados, O Grove, A Illa de Arousa, Meaño, Meis, Ribadumia, Sanxenxo, Vilanova de Arousa

A Lama, Ponte Caldelas, Bueu, Cangas, Cotobade, Marín, Moaña, Poio, Pontevedra, Barro, Vilaboa.