La aprobación de la modificación de la relación de puestos de trabajo de la Consellería de Sanidad y del Servicio Gallego de Salud se justifica por las razones indicadas en el apartado primero del acuerdo.
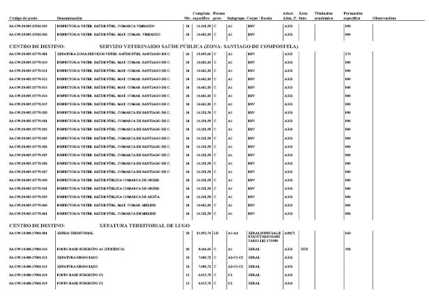
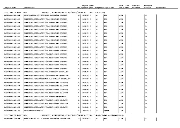
Esta modificación de la relación de puestos de trabajo de la Consellería de Sanidad y del Servicio Gallego de Salud es una modificación parcial que contiene cambios de diversa naturaleza, por lo que, por razones de eficacia y operatividad, se estima más adecuada la publicación completa, y no parcial, de la misma, de tal manera que figuran puestos cuyas características fueron aprobadas en modificaciones anteriores.
En esta publicación figuran también puestos cuyas excepcionalidades de cobertura por el sistema de libre designación fueron clasificadas en el Acuerdo del Consello de la Xunta de Galicia, de 15 de septiembre de 2016, por el que se aprueba la relación de puestos de trabajo de la Consellería de Sanidad y del Servicio Gallego de Salud (DOG núm. 185, de 28 de septiembre).
En consecuencia, a propuesta de la Consellería de Sanidad y del Servicio Gallego de Salud, y una vez consultadas las organizaciones sindicales presentes en la Mesa de Negociación y en la Comisión de Personal, el Consello de la Xunta de Galicia, en su reunión de 27 de abril de 2023, adoptó el siguiente
ACUERDO:
Primero. Aprobar la modificación de la relación de puestos de trabajo de la Consellería de Sanidad y del Servicio Gallego de Salud, en los términos que se señalan en el anexo a este acuerdo, como consecuencia de sus necesidades funcionales y organizativas actuales.
Segundo. Ordenar su publicación en el Diario Oficial de Galicia a efectos de la entrada en vigor a partir del día siguiente al de su publicación.
Visto el Acuerdo adoptado por el Consello de la Xunta de Galicia en su reunión de 27 de abril de 2023, relativo a la aprobación de la relación de puestos de trabajo de la Consellería de Sanidad y del Servicio Gallego de Salud, con la finalidad de cumplir dicho acuerdo, de conformidad con la Orden de la Consellería de Hacienda, de 8 de enero de 2020, sobre delegación de competencias en la Dirección General de la Función Pública (DOG núm. 16, de 24 de enero), dispongo que se publique en el Diario Oficial de Galicia como anexo a esta resolución.
Santiago de Compostela, 27 de abril de 2023
El conselleiro de Hacienda y Administración Pública
P.D. (Orden de 8.1.2020)
José María Barreiro Díaz
Director general de la Función Pública


