I
No que ao monte galego se refire, a fragmentación da propiedade forestal, aínda que sexa un factor que permite unha ampla distribución entre a poboación dos ingresos procedentes dos aproveitamentos forestais, dificulta a xestión e o aproveitamento dos montes de particulares. Isto provoca que as materias primas que producen estes montes sexan de peor calidade e máis caras do que poderían ser, o cal lastra a competitividade do sector forestal galego nunha economía globalizada.
Por outra banda, a teor das previsións do Instituto Galego de Estatística e dos datos observados da evolución da poboación de Galicia, esta comunidade autónoma podería perder medio millón de habitantes da súa poboación no que vén sendo unha quenda de corta de Pinus pinaster. Seremos menos, máis vellos e estaremos concentrados en áreas urbanas. Estes procesos penalizarán aínda máis o desenvolvemento do sector forestal.
II
De acordo co artigo 121 da Lei 7/2012, do 28 de xuño, de montes de Galicia, a reordenación e promoción da xestión conxunta da propiedade particular forestal debe ser unha das prioridades que a Administración forestal adopte para fomentar o sector forestal. Con este fin, a Lei 7/2012 recolle no seu artigo 122 as sociedades de fomento forestal, que define (segundo a modificación realizada pola Lei 9/2017, do 26 de decembro, de medidas fiscais e administrativas) como «aquelas agrupacións que asocian propietarios de predios forestais ou, se é o caso, persoas titulares de dereitos de uso de parcelas susceptibles de aproveitamento forestal, que ceden estes dereitos á sociedade para a súa explotación e xestión forestal conxunta por un prazo non inferior a vinte anos ou que realizan as facultades propias do uso e ordenado aproveitamento das superficies forestais da súa propiedade».
Esta figura foi desenvolvida anteriormente mediante o Decreto 45/2011, do 10 de marzo, polo que se regula o fomento das agrupacións de propietarios forestais, os requisitos e cualificación das sociedades de fomento forestal e a creación do seu rexistro.
Esta fórmula é apoiada pola Lei 43/2003, do 21 de novembro, de montes, a través da nova redacción dada á súa disposición adicional quinta pola Lei 21/2015, do 20 de xullo.
III
A Xunta de Galicia, de acordo co establecido no artigo 27.10 da Lei orgánica 1/1981, do 6 de abril, do Estatuto de autonomía de Galicia, ten competencia exclusiva en materia de montes e aproveitamentos forestais, sen prexuízo do disposto no artigo 149.1.23 da Constitución.
O Decreto 166/2015, do 13 de novembro, polo que se aproba a estrutura orgánica da Consellería do Medio Rural, establece que é o órgano da Administración galega competente en materia de montes.
A Lei 9/2007, do 13 de xuño, de subvencións de Galicia, ten por obxecto regular o réxime xurídico propio das subvencións cuxo establecemento e xestión lle corresponde á Administración da Comunidade Autónoma de Galicia, organismos e demais entidades vinculadas ou dependentes desta.
Estas axudas están sometidas ao réxime de minimis, nos termos establecidos no Regulamento (UE) n.º 1407/2013 da Comisión do 18 de decembro de 2013 relativo á aplicación dos artigos 107 e 108 do Tratado de Funcionamento da Unión Europea ás axudas de minimis.
En consecuencia, de conformidade co previsto no artigo 30.1.3 do Estatuto de autonomía de Galicia e no uso das facultades que me confiren os artigos 7, 14 e 20 da Lei 9/2007,
DISPOÑO:
Artigo 1. Obxecto da orde
Esta orde ten por obxecto:
a) Establecer unhas novas bases reguladoras das subvencións dirixidas a constituír sociedades de fomento forestal (Sofor) mediante convocatoria aberta en réxime de concorrencia competitiva (código de procedemento MR635A).
b) Proceder á convocatoria destas subvencións para o ano 2018.
CAPÍTULO I
Bases reguladoras
Artigo 2. Solicitantes
1. As subvencións só poderán ser solicitadas polas asociacións de propietarios forestais a través dos representantes que designen.
2. Cada asociación só poderá presentar unha solicitude en cada convocatoria. No suposto de presentarse varias, admitirase a trámite a última, resolvendo por desistencia as demais.
Artigo 3. Investimentos subvencionables
1. A través desta liña de subvencións poderanse financiar os seguintes custos:
a) O custo de identificación dos predios e clasificación dos terreos situados dentro da superficie de actuación, nos cales se aplique un sistema acreditado e obxectivo de valoración dos dereitos de aproveitamento forestal.
Inclúense os traballos necesarios para comprobar se a cartografía catastral se corresponde coa realidade; alí onde se detecten erros, o traballo incluirá a elaboración dunha representación gráfica alternativa validada polo Catastro.
Trasladaranse os límites reais sobre plano e efectuarase unha valoración do voo.
b) Os custos de impulso á Sofor que se pretende constituír.
Abarca os gastos derivados da localización dos propietarios, comprobación das súas propiedades e os labores de información necesarios para lograr que cedan os seus predios á sociedade.
c) Os gastos de constitución da Sofor.
Comprenden os gastos de redacción de estatutos, elaboración da escritura de constitución da sociedade, de notaría e de inscrición no Rexistro Mercantil.
d) A instalación obrigatoria dun cartel informativo (modelo do anexo B2) nun lugar visible nos terreos obxecto da subvención.
2. O IVE non é subvencionable.
Artigo 4. Requisitos das solicitantes
1. Poderán solicitar estas subvencións as asociacións de propietarios forestais que reúnan as seguintes condicións:
a) Estar legalmente constituídas e inscritas no Rexistro de Asociacións da Xunta de Galicia.
b) Ter entre os seus fins sociais lograr unha xestión forestal sustentable dos terreos que pertenzan aos seus asociados.
c) Todos os seus socios son titulares de dereitos de aproveitamento forestal sobre terreos situados dentro da superficie de actuación sobre a que se pretende constituír a Sofor.
d) Ningún dos socios é titular, pleno ou parcial, de máis dun terzo da superficie de actuación.
e) O conxunto de parcelas que pertencen en pro indiviso a un determinado grupo de coopropietarios non suma máis dun terzo da superficie de actuación.
2. As beneficiarias non estarán incursas en ningunha das prohibicións sinaladas nos puntos 2 e 3 do artigo 10 da Lei 9/2007, nin en ningunha das circunstancias previstas no artigo 13 da Lei 38/2003, do 17 de novembro, xeneral de subvencións.
Artigo 5. Superficie de actuación
1. Nas solicitudes definirase con precisión a superficie de actuación, dentro da cal se pretenden realizar os traballos subvencionados e constituír a Sofor.
2. Non se admitirán solicitudes en cuxa superficie de actuación se inclúan:
a) Parcelas que non sexan solo rústico nin parcelas de solo rústico sen terreos forestais. Poderanse incluír parcelas destes tipos se fose imprescindible para poder facer a representación gráfica alternativa.
b) Montes veciñais en man común.
c) Zonas cun procedemento de concentración parcelaria en execución sen toma de posesión definitiva.
d) Terreos cun proceso iniciado de expropiación forzosa.
e) Terreos para os que xa se concedeu unha subvención para a constitución de Sofor.
f) Terreos que xa estean incluídos nunha Sofor.
3. Cando os mesmos terreos se inclúan en máis dunha solicitude, as solicitantes deberán deslindar a superficie de actuación de cada unha. En caso de non chegar a un acordo, excluiranse das subvencións as superficies coincidentes.
4. A superficie de actuación reunirá os requisitos mínimos establecidos na norma reguladora do Rexistro de Sociedades de Fomento Forestal (RSofor).
5. Aquelas parcelas que sexan o resultado dunha concentración parcelaria ou que se atopen coordinadas entre o Rexistro da Propiedade e o Catastro non poderán recibir subvención para a identificación dos predios e clasificación dos terreos.
Artigo 6. Prazo para acreditar os requisitos dos beneficiarios
Todos os requisitos se deberán cumprir dentro do prazo de solicitude de cada convocatoria de axudas. No trámite de corrección de solicitudes non se admitirán documentos que deriven dun cumprimento dos requisitos posterior ao termo do prazo de presentación de solicitudes.
Artigo 7. Solicitudes
1. As solicitantes presentarán a solicitude do anexo A1.
2. A solicitude dirixirase á Dirección Xeral de Ordenación Forestal.
3. Os datos que non figuren na solicitude e que sexan esenciais para a súa puntuación non serán considerados ao aplicar o baremo de puntos.
4. Cando se detecte que unha solicitude contén datos inexactos ou falsos que sexan esenciais para a súa puntuación ou admisión determinarán a imposibilidade de continuar coa súa tramitación e dará lugar á inadmisión da solicitude, sen prexuízo das responsabilidades penais, civís ou administrativas que procedan.
5. Na solicitude inclúense os datos e declaracións seguintes:
a) Nome completo da asociación e número de inscrición no rexistro correspondente.
b) Superficies:
1º. Superficie de actuación sobre a que se pretende constituír a Sofor (Ssofor).
2º. Suma das superficies situadas dentro da superficie de actuación sobre a que se pretende constituír a Sofor, cuxa titularidade corresponde aos socios da asociación solicitante.
3º. Superficie achegada polo socio ou conxunto de copropietarios que maior titularidade posúe dentro da superficie de actuación sobre a que se pretende constituír a Sofor.
4º. Superficie forestal mínima que se pretende xestionar conxuntamente (Smínima), en función das posibilidades que ofrece o artigo 4 do Decreto 45/2011.
5º. Superficie das parcelas que proceden dunha concentración parcelaria.
6º. Superficie das parcelas que se atopan coordinadas entre o Rexistro da Propiedade e o Catastro.
c) Declaración de que a asociación non está incursa en ningunha das prohibicións sinaladas nos puntos 2 e 3 do artigo 10 da Lei 9/2007, nin en ningunha das circunstancias previstas no artigo 13 da Lei 38/2003, do 17 de novembro, xeral de subvencións.
d) Declaración de que os terreos situados dentro da superficie de actuación sobre a que se pretende constituír a Sofor:
1º. Non inclúen parcelas que non sexan rústicas nin parcelas rústicas sen terreos forestais, salvo aquelas que son imprescindibles para poder facer a representación gráfica alternativa.
2º. Non inclúen montes veciñais en man común nin terreos doutra Sofor xa constituída.
3º. Non se atopan en zonas cun procedemento de concentración parcelaria en execución sen toma de posesión definitiva.
4º. Non inclúen terreos cun proceso iniciado de expropiación forzosa.
e) Declaración das circunstancias baremables.
f) Declaración da solicitante da subvención do conxunto de todas as solicitudes percibidas, solicitadas ou autorizadas para o mesmo proxecto ou actividade que a axuda solicitada ao abeiro desta orde, ante as administracións públicas competentes ou doutros entes. No modelo tamén se inclúe a declaración expresa doutras axudas sometidas ao réxime de minimis.
Artigo 8. Forma e lugar de presentación de solicitudes
As solicitudes presentaranse obrigatoriamente por medios electrónicos a través do formulario normalizado dispoñible na sede electrónica da Xunta de Galicia, https://sede.xunta.gal.
Se algunha das persoas interesadas presenta a súa solicitude presencialmente, requiriráselle para que a enmiende a través da súa presentación electrónica. Para estes efectos, considerarase como data de presentación da solicitude aquela en que fose realizada a emenda.
Para a presentación das solicitudes poderá empregarse calquera dos mecanismos de identificación e firma admitidos pola sede electrónica da Xunta de Galicia, incluído o sistema de usuario e clave Chave365 (https://sede.xunta.gal/chave365).
Artigo 9. Prazos de solicitude das subvencións
O prazo de solicitude establecerase en cada convocatoria e non será inferior a 1 mes.
Artigo 10. Documentación complementaria necesaria para a tramitación do procedemento
1. A solicitude, asinada por un representante legal da asociación, presentarase utilizando o modelo que figura no anexo A1 desta orde.
2. Xunto á solicitude, as interesadas deberán achegar a seguinte documentación:
a) Acreditación da persoa física que a representa.
b) Copia dos estatutos da asociación onde conste que entre os seus fins sociais figura lograr unha xestión forestal sustentable dos terreos que pertenzan aos seus asociados. A Administración comprobará, de oficio, a súa inscrición no Rexistro de Asociacións da Xunta de Galicia.
c) Listaxe completa de socios, asinado polo presidente ou secretario da asociación, indicando para cada un deles:
1º. NIF.
2º. Nome e apelidos ou razón social.
3º. A referencia catastral dunha parcela situada dentro da superficie de actuación sobre a que se pretende constituír a Sofor, da cal sexa titular de dereitos de aproveitamento forestal.
d) Información xeográfica que comprenda:
1º. Capa dixital en formato shape coa superficie de actuación sobre a que se pretende constituír a Sofor, diferenciando tres clases: as que proceden dunha concentración parcelaria, as que se atopan coordinadas entre o Rexistro da Propiedade e o Catastro e o resto.
2º. Planos (en formato pdf) a escala 1:5.000 ou superior que represente a superficie de actuación sobre a que se pretende constituír a Sofor sobre ortofoto actual e parcelario catastral, diferenciando as tres clases indicadas.
3º. Capa dixital en formato shape coas parcelas sinaladas no artigo 10.2. c).3º.
4º. Planos (en formato pdf), a igual escala que o anterior, representando a superficie de actuación sobre a que se pretende constituír a Sofor e as parcelas sinaladas no artigo 10.2. c).3º.
5º. Capa dixital en formato shape coas superficies que teñen a consideración de monte ou terreo forestal de acordo coa definición do artigo 2 da Lei 7/2012, do 28 de xuño, de montes de Galicia.
6º. Planos (en formato pdf), a igual escala que os anteriores, representando a superficie de actuación sobre a que se pretende constituír a Sofor e as superficies que teñen a consideración de monte ou terreo forestal.
As capas dixitais axustaranse ás especificacións técnicas establecidas no anexo B1 (capas B1.2, B1.3 e B1.4, respectivamente).
e) Cando o custo de identificación dos predios e clasificación dos terreos máis os custos de impulso á Sofor estimados polo método establecido no artigo 16 sexa igual ou superior a 15.000 euros sen IVE deberá presentarse contrato, factura pro forma ou similar de 3 provedores distintos e non vinculados. O provedor elixirase conforme a criterios de eficiencia e economía, e deberá xustificarse expresamente nunha memoria a elección cando non recaia na proposta máis económica.
3. Non será necesario presentar os documentos que xa fosen presentados anteriormente. Para estes efectos, a persoa interesada deberá indicar en que momento e ante que órgano administrativo presentou os citados documentos. Presumirase que esta consulta é autorizada polas persoas interesadas, salvo que conste no procedemento a súa oposición expresa.
Nos supostos de imposibilidade material de obter o documento, o órgano competente poderá requirirlle á persoa interesada a súa presentación, ou, na súa falta, a acreditación por outros medios dos requisitos a que se refire o documento, con anterioridade á formulación da proposta de resolución.
4. A documentación complementaria deberá presentarse electronicamente. As persoas interesadas responsabilizaranse da veracidade dos documentos que presenten. Excepcionalmente, a Administración poderá requirir a exhibición do documento orixinal para comparalo coa copia electrónica presentada.
Se algunha das persoas interesadas presenta a documentación complementaria presencialmente, requiriráselle para que a enmiende a través da súa presentación electrónica. Para estes efectos, considerarase como data de presentación aquela en que fose realizada a emenda.
5. Sempre que se realice a presentación de documentos separadamente da solicitude deberase indicar o código e o órgano responsable do procedemento, o número de rexistro de entrada da solicitude e o número de expediente, se se dispón del.
6. No caso de que algún dos documentos que se van presentar de forma electrónica supere os tamaños máximos establecidos ou teña un formato non admitido pola sede electrónica da Xunta de Galicia, permitirase a presentación deste de forma presencial dentro dos prazos previstos e na forma indicada no parágrafo anterior. A información actualizada sobre o tamaño máximo e os formatos admitidos pode consultarse na sede electrónica da Xunta de Galicia.
Artigo 11. Comprobación de datos
1. Para a tramitación deste procedemento consultaranse automaticamente os datos incluídos nos seguintes documentos elaborados polas administracións públicas:
a) Os documentos de identificación das asociacións solicitantes e, se é o caso, da asociación beneficiaria (NIF).
b) O documento de identificación da persoa representante (DNI ou NIE).
c) As certificacións que deban emitir a Axencia Estatal da Administración Tributaria, a Tesouraría Xeral da Seguridade Social e a consellería competente en materia de facenda da Xunta de Galicia segundo o establecido no artigo 20.3 da Lei 9/2007.
2. No caso de que as persoas interesadas se opoñan a esta consulta, deberán indicalo no cadro correspondente habilitado no formulario de inicio (anexo A1) e/ou no formulario de solicitude de pagamentos (anexo A2) e achegar os documentos.
3. Excepcionalmente, no caso de que algunha circunstancia imposibilite a obtención dos citados datos poderase solicitar ás persoas interesadas a presentación dos documentos correspondentes.
Artigo 12. Trámites administrativos posteriores á presentación de solicitudes
Todos os trámites administrativos que as persoas interesadas deban realizar durante a tramitación deste procedemento deberán ser realizados electronicamente accedendo á Carpeta do cidadán da persoa interesada dispoñible na sede electrónica da Xunta de Galicia.
Artigo 13. Transparencia e bo goberno
1. De conformidade co artigo 17 da Lei 1/2016, do 18 de xaneiro, de transparencia e bo goberno, e co artigo 15 da Lei 9/2007, do 13 de xuño, de subvencións de Galicia, a consellería responsable da iniciativa publicará na súa páxina web oficial a relación das persoas beneficiarias e o importe das axudas concedidas. Incluirá, igualmente, as referidas axudas e as sancións que, como consecuencia delas, puideren impoñerse nos correspondentes rexistros públicos, polo que a presentación da solicitude leva implícita a autorización para o tratamento necesario dos datos das persoas beneficiarias e a referida publicidade.
2. En virtude do disposto no artigo 4 da Lei 1/2016, do 18 de xaneiro, de transparencia e bo goberno, as persoas físicas e xurídicas beneficiarias de subvencións están obrigadas a fornecer á Administración, ao organismo ou á entidade das previstas no artigo 3.1 da Lei 1/2016 á que se atopen vinculadas, logo de requirimento, toda a información necesaria para o cumprimento por aquela das obrigacións previstas no título I da citada lei.
3. Por outra banda, de conformidade co previsto nos artigos 17.3.b) e 20.8.a) da Lei 38/2003, do 17 de novembro, xeral de subvencións, transmitirase á Base de datos nacional de subvencións a información requirida por esta, o texto da convocatoria para a súa publicación na citada base e o seu extracto no Diario Oficial de Galicia.
Artigo 14. Baremo
1. Para axustar a concesión das subvencións aos principios de publicidade, transparencia, concorrencia, obxectividade, igualdade e non discriminación establecidos no artigo 5.2.a) da Lei 9/2007, establécese o seguinte baremo de puntos:
a) En función do número de socios (Nsocios) da asociación solicitante:
| 
 | 
O valor de P1 non será menor de 0 nin maior de 50.
b) En función da superficie media (Smedia) das parcelas catastrais situadas dentro da superficie de actuación sobre a que se pretende constituír a Sofor (superficie en hectáreas):
| 
 | 
O valor de P2 redondearase á unidade máis próxima (as 5 décimas á alza). En todo caso, non será menor de 0 nin maior de 50.
c) En función do cociente da superficie que foi obxecto de concentración parcelaria con toma de posesión definitiva (Sconcentración) entre a superficie de actuación sobre a que se pretende constituír a Sofor (Ssofor):
| 
 | 
O valor de P3 redondearase á unidade máis próxima (as 5 décimas á alza). En todo caso, non será menor de 0 nin maior de 50.
d) Superficie de actuación sobre a que se pretende constituír a Sofor, se está integramente incluída en zonas de alto risco de incendio:
| 
 | 
e) Superficie de actuación sobre a que se pretende constituír a Sofor, se está integramente incluída nas zonas pouco poboadas recollidas no anexo B3:
| 
 | 
2. A puntuación será o resultado de sumar os puntos obtidos de acordo co baremo anterior, sendo o valor máximo de 170 puntos.
Artigo 15. Criterios de adxudicación das subvencións
1. As solicitudes ordenaranse de maior a menor puntuación de acordo co baremo establecido no anterior artigo. En caso de empate na puntuación, ordenaranse conforme os seguintes criterios:
a) Primeiro, as solicitudes con maior número de socios.
b) A continuación, de menor a maior superficie media das parcelas catastrais.
c) En caso de persistir o empate, de anterior a posterior data de solicitude.
2. A dispoñibilidade orzamentaria limitará o número de expedientes que se aprobarán. Iranse concedendo as axudas seguindo a orde establecida ata esgotar a contía económica asignada en cada convocatoria.
Artigo 16. Contía máxima das subvencións
1. O importe da subvención calcularase en función dos seguintes conceptos:
a) O custo de identificación dos predios e clasificación dos terreos situados dentro da superficie de actuación, nos que se aplique un sistema acreditado e obxectivo de valoración dos dereitos de aproveitamento forestal.
Para calcular a aprobación do importe da subvención ao custo de identificación dos predios e clasificación dos terreos, así como a efectos de xustificar o pagamento, empregarase a seguinte fórmula:
| 
 | 
Onde,
– Cidentificación é o custo estimado do investimento en euros.
– Ssofor é a superficie de actuación sobre a que se pretende constituír a Sofor, en hectáreas.
– Sconcentración é a superficie que foi obxecto de concentración parcelaria con toma de posesión definitiva dentro da superficie de actuación sobre a que se pretende constituír a Sofor, en hectáreas.
– SRC é a superficie das parcelas que se atopan coordinadas entre o Rexistro da Propiedade e o Catastro dentro da superficie de actuación sobre a que se pretende constituír a Sofor, en hectáreas.
b) Os custos de impulso á Sofor que se pretende constituír.
Para calcular a aprobación do importe da subvención ao custo de impulso á Sofor, así como para os efectos de xustificar o pagamento, empregarase a seguinte fórmula:
| 
 | 
Onde,
– Cimpulso é o custo estimado do investimento en euros.
– Ssofor é a superficie de actuación sobre a que se pretende constituír a Sofor, en hectáreas.
– Nparcelas é o número de parcelas catastrais incluídas dentro a superficie de actuación sobre a que se pretende constituír a Sofor.
c) O valor máximo do custo de identificación dos predios e clasificación dos terreos máis os custos de impulso á Sofor (Cid+im) será o menor dos seguintes valores:
1º. O custo estimado pola fórmula (Cidentificación + Cimpulso).
2º. No caso de que este sexa maior de 15.000 €, o valor da oferta do provedor elixido segundo o establecido no artigo 10.2.e).
3º. 45.000 €.
d) Para os gastos de redacción de estatutos, elaboración da escritura de constitución da sociedade, de notaría e de inscrición no Rexistro Mercantil, o valor máximo do custo non poderá superar os 15.000 €.
e) Para a instalación obrigatoria dun cartel informativo, o valor máximo do custo será de 255 €.
2. Todos os prezos indicados son sen IVE.
3. A intensidade da subvención é do 100 % sobre cada un dos custos.
4. A axuda total de minimis concedida a unha empresa determinada, en virtude da aplicación do artigo 3.2 do Regulamento (UE) nº 1407/2013, non pode ser superior a 200.000 € durante calquera período de tres exercicios fiscais.
Artigo 17. Instrución das solicitudes
1. O procedemento de concesión tramitarase en réxime de concorrencia competitiva.
2. O órgano instrutor revisará as solicitudes ordenándoas por asociación solicitante. No caso de que algunha asociación presente varias solicitudes, admitirase a trámite a última, propoñendo a resolución por desistencia das demais.
3. A continuación comprobará o cumprimento dos requisitos das solicitantes e dos requisitos en canto a superficie de actuación, os prazos, forma e documentación presentada. Ao tempo, efectuaranse as consultas automáticas que sexan necesarias; en particular, comprobarase que as solicitantes cumpren coas súas obrigacións tributarias e coa Seguridade Social.
4. Se a solicitude non reúne os requisitos establecidos nas bases reguladoras e na correspondente convocatoria, requirirase o interesado para que a emende no prazo máximo de 10 días, indicándolle que, se non o fixer, se terá por desistido da súa solicitude, logo de resolución que deberá ser ditada nos termos previstos no artigo 68 da Lei 39/2015, do 1 de outubro, do procedemento administrativo común das administracións públicas.
5. Superado este prazo, o órgano instrutor emitirá un informe en que se clasifiquen as solicitudes en dous grupos:
a) Solicitudes correctamente presentadas.
b) Solicitudes con defectos non emendados, indicando para cada unha delas as causas polas que non se axustan á convocatoria.
6. Para o grupo de solicitudes correctamente presentadas, o informe indicará para cada solicitude:
a) Os seguintes datos necesarios para a baremación, ordenación e cálculo da contía da subvención:
1º. O número de socios da asociación solicitante.
2º. O número de parcelas catastrais incluídas dentro a superficie de actuación sobre a que se pretende constituír a Sofor.
3º. Se a superficie de actuación sobre a que se pretende constituír a Sofor se atopa ou non integramente incluída en zonas de alto risco de incendio.
4º. Se a superficie de actuación sobre a que se pretende constituír a Sofor se atopa ou non integramente incluída nas zonas pouco poboadas recollidas no anexo B3.
5º. A superficie de actuación sobre a que se pretende constituír a Sofor.
6º. A superficie que foi obxecto de concentración parcelaria con toma de posesión definitiva dentro da superficie de actuación sobre a que se pretende constituír a Sofor.
7º. A superficie das parcelas que se atopan coordinadas entre o Rexistro da Propiedade e o Catastro dentro a superficie de actuación sobre a que se pretende constituír a Sofor.
8º. A superficie media das parcelas catastrais situadas dentro da superficie de actuación sobre a que se pretende constituír a Sofor.
9º. A data de solicitude.
b) A puntuación alcanzada de conformidade con cada punto do baremo.
c) A contía máxima da subvención en cada un dos conceptos subvencionables e a súa suma.
d) O prazo máximo de xustificación.
7. O expediente de concesión conterá o informe do órgano instrutor en que conste que, da información que consta no seu poder, se desprende que os beneficiarios cumpren todos os requisitos necesarios para acceder a elas.
8. Emitido o informe, constituirase un órgano colexiado composto polas persoas que dirixen a Subdirección Xeral de Recursos Forestais, o Servizo de Fomento Forestal e o Servizo de Montes Veciñais en Man Común e Estruturas Forestais.
En aplicación dos artigos 17.3 e 12.1 da Lei 16/2010, do 17 de decembro, de organización e funcionamento da Administración xeral e do sector público autonómico de Galicia, nos casos de ausencia, enfermidade ou vacante dalgún dos membros do órgano colexiado, a persoa titular da Dirección Xeral de Ordenación Forestal designará os suplentes que foren necesarios dentro dos respectivos órganos.
Este órgano colexiado ordenará o conxunto de solicitudes correctamente presentadas seguindo os criterios de adxudicación establecidos, determinará as solicitudes para as que existe crédito suficiente e formulará a proposta de resolución de concesión da subvención que elevará ao órgano competente para resolver.
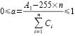
Iranse concedendo as subvencións seguindo a orde mentres se cumpran as seguintes condicións:
| 
 | 
onde:
– A1 é a contía da primeira anualidade da convocatoria.
– A2 é a contía da segunda anualidade da convocatoria.
– AT é a contía total da convocatoria, suma das dous anteriores.
– 255 é o custo do cartel establecido no artigo 16.1.e).
– 15.000 son os gastos previstos no artigo 16.1.d).
– 15.255 é a suma de ambos.
– Ci é o custo de identificación dos predios e clasificación dos terreos máis os custos de impulso á Sofor (Cid+im) establecido no artigo 16.1.c) para cada unha das solicitudes ás que se concede a subvención.
– n é o número de solicitudes que se poden conceder baixo estas condicións.
9. A continuación calcularase un coeficiente α para distribuír o custo de investigación e clasificación entre as anualidades, aplicando a seguinte ecuación:
| 
 | 
10. Feito isto pasarase a distribuír a contía máxima de cada subvención do seguinte modo:
a) Na primeira anualidade incluirase o custo do cartel e unha parte do custo de identificación dos predios e clasificación dos terreos máis os custos de impulso á Sofor:
| 
 | 
b) Na segunda anualidade incluiranse os gastos previstos no artigo 16.1.d) e o resto do custo de identificación dos predios e clasificación dos terreos máis os custos de impulso á Sofor:
| 
 | 
Artigo 18. Resolución
1. A persoa titular da Consellería do Medio Rural ou, de ser o caso, a persoa en quen delegue esta función resolverá o procedemento de concesión no prazo de quince días desde a data de elevación da proposta de resolución, de acordo co previsto no artigo 88 da Lei 39/2015.
2. A resolución motivarase de conformidade co que dispoñan as bases reguladoras da subvención e deberán, todo caso, quedar acreditados no procedemento os fundamentos da resolución que se adopte.
3. A resolución conterá a relación de solicitantes ás cales se concede a subvención, a desestimación do resto de solicitudes correctamente presentadas e a non concesión das demais por desistencia, renuncia ao dereito ou imposibilidade material sobrevinda.
En todo caso, deberán quedar claramente identificados os elementos sinalados no artigo 34.4 do Decreto 11/2009, do 8 de xaneiro, polo que se aproba o Regulamento da Lei 9/2007, do 13 de xuño, de subvencións de Galicia.
Na resolución informarase a beneficiaria sobre o importe da axuda e sobre o seu carácter de minimis, facendo unha referencia expresa ao Regulamento (UE) n.º 1407/2013 da Comisión do 18 de decembro de 2013 relativo á aplicación dos artigos 107 e 108 do Tratado de Funcionamento da Unión Europea ás axudas de minimis.
4. O prazo máximo para resolver e notificar a resolución do procedemento non poderá exceder dos cinco meses. O prazo computarase a partir da publicación da correspondente convocatoria, salvo que esta pospoña os seus efectos a unha data posterior.
5. O vencemento do prazo máximo sen notificarse a resolución lexitima ás interesadas para entender desestimada por silencio administrativo a solicitude de concesión da subvención.
Artigo 19. Recursos contra a resolución
As resolucións de subvención ditadas ao abeiro desta orde, así como a desestimación presunta de solicitudes, poñerán fin á vía administrativa e contra elas poderán interpoñerse os seguintes recursos, sen prexuízo de que as entidades interesadas poidan exercer calquera outro que consideren procedente:
a) Recurso potestativo de reposición ante o mesmo órgano que ditou a resolución, no prazo dun mes contado a partir do día seguinte ao da notificación da resolución, se esta for expresa, ou en calquera momento a partir do día seguinte a aquel en que venza o prazo para resolver.
b) Recurso contencioso-administrativo ante a Sala do Contencioso-Administrativo do Tribunal Superior de Xustiza de Galicia, no prazo de dous meses contados desde o día seguinte ao da notificación da resolución, se esta for expresa, ou de seis meses contados a partir do día seguinte a aquel en que se produza o acto presunto.
Artigo 20. Notificacións
1. As notificacións de resolucións e actos administrativos practicaranse só por medios electrónicos, nos termos previstos na normativa reguladora do procedemento administrativo común.
2. As notificacións electrónicas realizaranse mediante o Sistema de notificación electrónica de Galicia-Notifica.gal (https://notifica.xunta.gal/), dispoñible a través da sede electrónica da Xunta de Galicia (https://sede.xunta.gal). Este sistema remitirá ás persoas interesadas avisos da posta á disposición das notificacións á conta de correo e/ou teléfono móbil que consten na solicitude. Estes avisos non terán, en ningún caso, efectos de notificación practicada e a súa falta non impedirá que a notificación sexa considerada plenamente válida.
3. Neste caso, as persoas interesadas deberán crear e manter o seu enderezo electrónico habilitado único a través do Sistema de notificación electrónica de Galicia-Notifica.gal, para todos os procedementos administrativos tramitados pola Administración xeral e do sector público autonómico. En todo caso, a Administración xeral poderá, de oficio, crear o indicado enderezo, para os efectos de asegurar o cumprimento polas persoas interesadas da súa obrigación de relacionarse por medios electrónicos.
4. As notificacións e entenderanse practicadas no momento en que se produza o acceso ao seu contido, entendéndose rexeitadas cando transcorresen dez días naturais desde a posta á disposición da notificación sen que se acceda ao seu contido.
5. Se o envío da notificación electrónica non for posible por problemas técnicos, a Administración xeral e do sector público autonómico practicará a notificación polos medios previstos na normativa reguladora do procedemento administrativo común.
Artigo 21. Modificación da resolución
1. Toda alteración das condicións iniciais tidas en conta para a concesión da subvención e, en todo caso, para a obtención concorrente de subvencións ou axudas outorgadas por outras administracións ou entes públicos ou persoais, nacionais ou internacionais poderá dar lugar á modificación da resolución de concesión.
2. Para a modificación da resolución non poderán ser tidos en conta requisitos ou circunstancias que, debendo concorrer no momento en que se ditou a resolución, tiveron lugar con posterioridade a ela.
3. Poderase rectificar a resolución, de oficio ou por instancia das interesadas, cando dos elementos que figuren nela se deduza a existencia dun erro material, de feito ou aritmético.
Artigo 22. Prazos de xustificación
1. O prazo total de xustificación concretarase en cada unha das convocatorias, e será, como mínimo, o 1 de outubro do ano seguinte á concesión da subvención.
2. O prazo de xustificación da primeira anualidade concretarase en cada unha das convocatorias, e será, como mínimo, o 1 de outubro do primeiro ano.
3. Sen prexuízo do anterior e en aplicación do artigo 45.3 do Decreto 11/2009, o órgano concedente da subvención poderá outorgar unha ampliación do prazo establecido para a presentación da xustificación, sempre que non exceda da metade do prazo concedido inicialmente, que con iso non se prexudiquen dereitos de terceiros e que se conceda antes do vencemento do prazo.
Artigo 23. Documentación que hai que presentar para solicitar os pagamentos
1. As beneficiarias deberán presentar para solicitar os pagamentos a seguinte documentación:
a) Solicitude de pagamento, asinada por un representante legal da asociación, segundo o modelo que figura no anexo A2 desta orde.
b) Acreditación da persoa física que a representa.
c) Facturas e as súas correspondentes probas de terse feito efectivo o pagamento (mediante xustificantes bancarios).
2. Cando se trate do pagamento da primeira anualidade presentarase tamén:
a) A xustificación da instalación do cartel, achegando fotografías do cartel colocado e as coordenadas ETRS-TM da súa situación.
b) A xustificación da identificación dos predios e clasificación dos terreos máis os custos de impulso á Sofor, polo menos nunha parte equivalente á cantidade concedida para a primeira anualidade, que se fará achegando para ela:
1º. Capa dixital en formato shape co parcelario real da parte identificada e clasificada, seguindo as especificacións técnicas establecidas no anexo B1 (capa B1.5).
2º. Planos (en formato pdf), a escala 1:5.000 ou superior que represente a dita capa sobre ortofoto actual e parcelario real.
3º. Listaxe de propietarios identificados ata o momento.
3. Para solicitar os pagamentos finais a seguinte documentación:
a) A xustificación da identificación dos predios e clasificación dos terreos máis os custos de impulso á Sofor, completa, que se fará achegando:
1º. A representación gráfica alternativa validada previamente polo Catastro, xunto co código seguro de verificación do informe positivo de validación para o envío dos datos gráficos ao Catastro, alí onde a descrición catastral non coincidía coa realidade.
2º. Capa dixital en formato shape co parcelario real da superficie de actuación e as parcelas cedidas á Sofor, seguindo as especificacións técnicas establecidas no anexo B1 (capa B1.5).
3º. Planos (en formato pdf), a escala 1:5.000 ou superior que represente a superficie de actuación e as parcelas cedidas á Sofor sobre ortofoto actual e parcelario real. No plano constará claramente a suma das superficies cedidas polos propietarios á Sofor, en hectáreas.
4º. Listaxe de propietarios.
b) A xustificación dos gastos de constitución da Sofor, achegando:
1º. As escrituras públicas de constitución da Sofor.
2º. A alta da sociedade limitada no Rexistro Mercantil.
4. Na solicitude de pagamento inclúense os datos e declaracións seguintes:
a) Declaración da solicitante da subvención do conxunto de todas as solicitudes percibidas, solicitadas ou autorizadas para o mesmo proxecto ou actividade que a axuda solicitada ao abeiro desta orde, ante as administracións públicas competentes ou doutros entes. No modelo tamén se inclúe a declaración expresa doutras axudas sometidas ao réxime de minimis.
b) Superficie total cedida á Sofor, cando se trate dun pagamento final.
c) Superficie mínima exixida para constituír a Sofor segundo o artigo 4 do Decreto 45/2011, cando se trate dun pagamento final.
d) Relación ordenada dos investimentos e os pagamentos efectuados.
5. Para o pagamento final da subvención exixirase a inscrición no Rexistro de Sociedades de Fomento Forestal da sociedad limitada constituída dentro da superficie de actuación.
Unha vez solicitado o pagamento final da subvención, o órgano instrutor solicitará unha certificación ao Rexistro de Sociedades de Fomento Forestal.
Será suficiente un certificado do devandito rexistro en que conste a data de inscrición, se esta é anterior á terminación do prazo de xustificación. Tamén se considerará válido con data de inscrición posterior, sempre que antes da terminación do prazo de xustificación a sociedade limitada se atope constituída e se solicitase a súa inscrición no Rexistro de Sofor.
6. Nas solicitudes de pagamento (anexo A2) consultaranse automaticamente os documentos de identificación das beneficiarias e os seus respectivos representantes (DNI ou NIE no caso de persoas físicas e NIF no caso de persoas xurídicas, segundo corresponda).
Tamén se comprobará que as beneficiarias cumpren coas súas obrigacións tributarias e coa Seguridade Social.
No caso de que as persoas interesadas se opoñan a esta consulta, deberán indicalo no cadro habilitado no formulario e presentar os devanditos documentos.
Artigo 24. Pagamento
1. Non poderá realizarse pagamentos da subvención en canto a asociación non se atope ao día no cumprimento das súas obrigacións tributarias e fronte á Seguridade Social e non teña pendente de pagamento ningunha outra débeda coa Administración pública da Comunidade Autónoma ou sexa debedor por resolución de procedencia de reintegro.
2. Non procederá o pagamento da subvención cando se incumpra a obrigación de xustificación ou a xustificación insuficiente, nos termos establecidos no artigo 28 da Lei 9/2007, do 13 de xuño, de subvencións de Galicia.
3. Os custos de identificación dos predios e clasificación dos terreos máis os custos de impulso á Sofor recalcularanse aplicando as fórmulas do artigo 16.1, letras a) e b). O valor máximo do pagamento por estes dous conceptos será o menor dos seguintes valores:
a) A suma dos custos estimados polas fórmulas (Cidentificación + Cimpulso) cos datos finais resultantes da identificación e impulso, ao cal se aplicará a porcentaxe de intensidade da axuda.
b) O custo xustificado.
Este valor multiplicarase pola porcentaxe de intensidade da subvención. O pagamento por este concepto non poderá superar o resultado desta operación.
4. Cando a Sofor non reúna os requisitos legais para a súa inscrición definitiva, solicitará a súa inscrición previa. Neste caso, a intensidade da subvención sobre os gastos de constitución da Sofor calcularase multiplicándoa polo seguinte coeficiente redutor:
| 
 | 
Onde,
– Ireducida é o coeficiente redutor que se aplica aos gastos de constitución da Sofor con inscrición previa.
– Scedida é a superficie cedida polos propietarios á Sofor, en hectáreas.
– Smínima é a superficie mínima exixida no artigo 4 do Decreto 45/2011, en hectáreas.
5. O pagamento final será satisfeito unha vez inscrita a sociedade no Rexistro de Sociedades de Fomento Forestal.
Artigo 25. Compromisos de execución asumidos polas beneficiarias
1. As beneficiarias tramitarán a correspondente corrección en Catastro dos predios investigados cuxa descrición catastral non coincida coa realidade.
2. Tamén se comprometen a dar publicidade das subvencións percibidas nos termos e condicións establecidos na Lei 19/2013, do 9 de decembro, de transparencia, acceso á información pública e bo goberno. No caso de que se faga uso da previsión contida no artigo 5.4 da citada lei, a Base de datos nacional de subvencións servirá de medio electrónico para o cumprimento das obrigacións de publicidade.
3. Cada beneficiaria está obrigada a manter a actividade da sociedade constituída durante un prazo de 15 anos.
Artigo 26. Controis
1. A Consellería do Medio Rural realizará os controis sobre o terreo, as comprobacións e inspeccións que considere oportunas co fin de comprobar a veracidade dos datos e da documentación presentada, xunto co seguimento e control das axudas concedidas.
2. A beneficiaria está obrigada a facilitar toda a información que lle sexa requirida pola Intervención xeral da Comunidade Autónoma, o Tribunal de Contas, o Consello de Contas e a Consellería do Medio Rural no exercicio das súas funcións de fiscalización e control do destino das subvencións.
Artigo 27. Infraccións e sancións
En materia de infraccións e sancións será de aplicación o título IV da Lei 9/2007, do 13 de xuño, de subvencións de Galicia.
Artigo 28. Obrigación do reintegro
Procederá o reintegro das cantidades percibidas e a exixencia do xuro de demora correspondente desde o momento do pagamento da subvención ata a data en que se acorde a procedencia do reintegro, nos seguintes casos:
a) Cando se incorra nalgunha das causas establecidas no artigo 33 da Lei 9/2007.
b) Cando non se lograse a inscrición da sociedade constituída no Rexistro de Sociedades de Fomento Forestal.
c) Cando non se lograse a inscrición definitiva da sociedade constituída no Rexistro de Sociedades de Fomento Forestal e pagamentouse de máis na primeira anualidade como consecuencia da redución establecida no artigo 24.4.
Artigo 29. Marco financeiro
O financiamento das subvencións efectuarase con cargo a fondos propios da Xunta de Galicia.
Artigo 30. Contía da convocatoria
1. A convocatoria poderá prever, ademais da contía total máxima dentro dos créditos dispoñibles, a posibilidade de ampliar o crédito nos termos do artigo 30.2 do Decreto 11/2009.
2. Os créditos asignados a unha convocatoria e non comprometidos tras a súa resolución poderán destinarse á convocatoria seguinte.
3. Tratándose dunha liña de axudas plurianuais, cada convocatoria indicará a distribución por anualidades da contía total máxima.
CAPÍTULO II
Convocatoria 2018
Artigo 31. Solicitudes
O prazo de presentación de solicitudes de subvencións será de 1 mes, que comezará o día seguinte ao da entrada en vigor desta orde.
Artigo 32. Financiamento
1. Esta convocatoria tramítase ao abeiro dos orzamentos xerais da Comunidade Autónoma de Galicia para o ano 2018, onde existe crédito adecuado e suficiente para a súa resolución con cargo á aplicación orzamentaria 13.02.713B.770.0, código de proxecto 2016 240.
Estas axudas financiaranse con cargo a fondos propios libres da Xunta de Galicia.
2. A contía total ascende a 850.000 €, coa seguinte distribución:
– Anualidade 2018: 250.000 €.
– Anualidade 2019: 600.000 €.
3. Poderán incrementarse os créditos asignados á convocatoria como consecuencia de xeracións, incorporacións ou ampliaciones das partidas orzamentarias que a financian, nos termos do artigo 30.2 do Decreto 11/2009.
En todo caso, as concesións limitaranse á dispoñibilidade orzamentaria. No suposto de procederse á devandita ampliación, terase en conta o disposto no artigo 31 da Lei 9/2007.
Artigo 33. Prazo de justificación
Para os efectos do disposto no artigo 22 das bases reguladoras, o prazo de xustificación terminará:
a) O día 31 de outubro de 2018 para a primeira anualidade.
b) O día 1 de outubro de 2019 para o pagamento final.
Artigo 34. Órgano instrutor
A instrución do procedemento de concesión das axudas correspondentes a esta convocatoria será realizada pola Subdirección xeral de Recursos Forestais.
Disposición adicional primeira. Información básica sobre protección de datos persoais
Os datos persoais solicitidos neste procedemento serán tratados na súa condición de responsable pola Xunta de Galicia, Consellería do Medio Rural, coa finalidade de levar a cabo a tramitación administrativa que derive da xestión deste procedemento e a actualización da información e contidos da Carpeta cidadá.
O tratamento dos datos baséase no cumprimento dunha misión de interese público ou no exercicio de poderes públicos, conforme a normativa recollida na ficha do procedemento incluída na Guía de procedementos e servizos, no propio formulario anexo e nas referencias recollidas en https://www.xunta.gal/informacion-xeral-proteccion-datos. Con todo, determinados tratamentos poderán fundamentarse no consentimento das persoas interesadas, reflectíndose esta circunstancia no devandito formulario.
Os datos serán comunicados ás administracións públicas no exercicio das súas competencias, cando sexa necesario para a tramitación e resolución dos seus procedementos ou para que os cidadáns poidan acceder de forma integral á información relativa a unha materia.
Co fin de darlle a publicidade exixida ao procedemento, os datos identificativos das persoas interesadas serán publicados conforme o descrito na presente norma reguladora a través dos distintos medios de comunicación institucionais de que dispón a Xunta de Galicia como diarios oficiais, páxinas web ou taboleiros de anuncios.
As persoas interesadas poderán acceder, rectificar e suprimir os seus datos, así como exercer outros dereitos ou retirar o seu consentimento, a través da sede electrónica da Xunta de Galicia ou presencialmente nos lugares e rexistros establecidos na normativa reguladora do procedemento administrativo común, segundo se explicita na información adicional recollida en https://www.xunta.gal/proteccion-datos-persoais.
Disposición adicional segunda. Facultade de desenvolvemento
1. Facúltase o director xeral de Ordenación Forestal para ditar as instrucións ou actos de aplicación que considere oportunas para executar esta orde.
2. Poderá modificar mediante resolución a estrutura das táboas de atributos incluídas no anexo B1 naqueles aspectos que sexan necesarios para a adecuada aplicación desta liña de axudas. A dita modificación implicará a correspondente publicación no Diario Oficial de Galicia.
Disposición derradeira. Entrada en vigor
A presente orde entrará en vigor o día seguinte ao da súa publicación no Diario Oficial de Galicia.
Santiago de Compostela, 11 de xullo de 2018
Ángeles Vázquez Mejuto
Conselleira do Medio Rural

 
					%20g_fmt.jpeg)
_fmt.jpeg)
_fmt.jpeg)
_fmt.jpeg)
_fmt.jpeg)
_fmt.jpeg)
_fmt.jpeg)


_fmt.jpeg)
_fmt.jpeg)

 
			 
			 
			 
			 
			

